Alcaloide

Fórmula de la cafeína, un alcaloide estimulante.

Se llama alcaloides (de álcali y -oide, "parecido a", "en forma de") a aquellos metabolitos secundarios de las plantas sintetizados, generalmente, a partir de aminoácidos, que tienen en común su hidrosolubilidad a pH ácido y su solubilidad en solventes orgánicos a pH alcalino. Los alcaloides verdaderos derivan de un aminoácido; por lo tanto son nitrogenados. Todos los que presentan el grupo funcional amina o imina son básicos. La mayoría de los alcaloides poseen acción fisiológica intensa en los animales incluso a bajas dosis con efectos psicoactivos, por lo que se suelen emplear para tratar problemas de la mente y/o calmar el dolor. Ejemplos conocidos son la cocaína, la morfina, la atropina, la colchicina, la quinina, la cafeína o la nicotina.

Sus estructuras químicas son variadas.[1]​ Se considera que un alcaloide es, por definición, un compuesto químico que posee un nitrógeno heterocíclico procedente del metabolismo de aminoácidos; de proceder de otra vía, se define como pseudoalcaloide.[2]

Historia y evolución del término

El nombre alcaloide fue acuñado por el químico alemán Carl Meissner en 1819 para referirse a productos naturales de origen vegetal que mostraban propiedades básicas similares a los álcalis. Dada la información estructural limitada en aquellos tiempos, la definición de Meissner resultaba vaga. Königs reservaba el nombre “alcaloide” a compuestos básicos relacionados con la piridina, y Guereschi consideraba el término como sinónimo de “base vegetal”. Winterstein y Trier (1910) consideraban alcaloides en sentido amplio a todos los compuestos provenientes de cualquier ser vivo que contienen nitrógeno básico. Estos autores distinguían entre un alcaloide verdadero y una base relacionada con los alcaloides. Un compuesto, de acuerdo con esta definición, debía cumplir los siguientes requisitos:

  • Presentar un nitrógeno básico
  • El nitrógeno debe estar incluido en un sistema heterocíclico
  • Tener una estructura compleja
  • Presentar actividad farmacológica potente
  • Tener una distribución restringida a las plantas

A medida que avanzaron los estudios en productos naturales, se han ido descubriendo compuestos que son considerados alcaloides, pero no cumplen con alguno de estos requisitos: muchos alcaloides no presentan sistemas heterocíclicos, su nitrógeno no es básico (como los grupos nitro), pueden presentar estructuras simples (como el caso de la efedrina, muchas amidas —como la capsaicina—), pueden ser inertes farmacológicamente y muchos alcaloides han sido aislados de animales.

Hegnauer (1960) clasificó los alcaloides en tres tipos: alcaloides verdaderos, pseudoalcaloides y protoalcaloides. El término secoalcaloide se infiere de la nomenclatura de productos naturales y se considera aquí como una cuarta categoría:

  • a) Alcaloides verdaderos: Metabolitos secundarios que poseen un nitrógeno heterocíclico, y su esqueleto de carbono proviene, parcial o totalmente, de un aminoácido proteínico.
  • b) Pseudoalcaloides: Metabolitos secundarios que poseen un nitrógeno, pero que no han sido biosintetizados a partir de aminoácidos, sino que se forman por transferencia de nitrógeno en forma de amoniaco a un compuesto de origen terpénico, esteroide, policétido, monosacárido o a un ácido graso.
La aconitina, un pseudoalcaloide producido por especies de Aconitum y Delphinium.
  • c) Protoalcaloides: Metabolitos secundarios que no forman un sistema heterocíclico y se forman a partir de un aminoácido proteínico. Muchos de estos compuestos contienen un grupo amino, amida, etc.[3]
  • d) Secoalcaloides: Alcaloides que provienen de un alcaloide verdadero, pero en los que por escisión del anillo heterocíclico se forma un grupo nitrogenado de cadena abierta.
  • e) Genalcaloides: —u óxidos aminados de alcaloide— son derivados por oxidación de los alcaloides que contienen el grupo R=(NO)-R, donde el nitrógeno tiene número de oxidación +5, en contraposición a los alcaloides normales, donde es trivalente (R=N-R). Su acción es la misma que la del alcaloide del cual provienen, pero es más pausada. Se nombran añadiendo el prefijo gen- al nombre del alcaloide. Algunos genoalcaloides se encuentran en la naturaleza, como la geneserina (derivado del alcaloide eserina (fisostigmina)) presente en el haba de Calabar.[4]

Existen productos naturales cuya consideración como alcaloides se encuentra en debate:

  • Las bases nitrogenadas (Adenina, timina, guanina, uracilo y citosina debido a su papel primario como componentes de nucleótidos y ácidos nucleicos.
  • Los aminoácidos no proteínicos debido a que su actividad biológica no es por unión a un sitio receptor celular, sino porque reemplazan a los aminoácidos proteínicos y en consecuencia forman proteínas defectuosas.
  • Los esfingolípidos, debido a que son componentes de membranas celulares.
  • Las vitaminas (sobre todo las del complejo B) por ser consideradas metabolitos primarios con actividad catalítica.
  • Los glucósidos cianogénicos debido a que su actividad biológica no es por unión a un sitio receptor celular, sino porque al hidrolizarse producen ácido cianhídrico, el cual es el que tiene la actividad biológica.
  • Los glucosinolatos debido a que su actividad biológica no es por unión a un sitio receptor celular, sino porque al hidrolizarse producen isotiocianatos, los cuales son los que presentan la actividad biológica.
  • Los aminoazúcares, tales como la glucosamina, por ser considerados más bien como glúcidos.
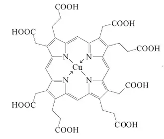
  • Los tetrapirroles, tales como la porfirina y la corrina siguen en debate, ya que algunos de ellos son metabolitos secundarios (Como la turacina) y otros se consideran como primarios debido a que los metales como el hierro (Hemo) magnesio (Clorofilas) o cobre (Citocrominas) y funcionan como transportadores de oxígeno o electrones.
  • Los péptidos no ribosomales, los anhidropéptidos y los antibióticos betalactámicos, siguen en debate, ya que se pueden referir como alcaloides o no. Se les considerará en este artículo solo como prototipos estructurales.

El aislamiento de los primeros alcaloides en el siglo XIX coincidió más o menos con la introducción del proceso de percolación para la extracción de las drogas. El farmacéutico francés Charles Derosne probablemente aisló en 1803 el alcaloide denominado después narcotina, y el farmacéutico Friedrich Sertürner investigó sobre el opio y aisló la morfina. A ello siguió rápidamente el aislamiento de otros alcaloides como la estricnina, cafeína, entre otros.

La cocaína es el alcaloide más antiguo en cuanto al establecimiento de su estructura y de su síntesis, pero otros, como la colchicina, necesitaron más de un siglo para que se definieran sus estructuras.

En el área mesoamericana, desde tiempos muy antiguos se ha utilizado gran variedad de alcaloides en la medicina tradicional maya. Las substancias psicotrópicas tanto alcaloides como alcoholes, se han utilizado por más de dos mil años con fines medicinales y en rituales ceremoniales. Su uso lo regulan las mujeres mayores de 39 años (3 x 13 ciclos de evolución biológica según su propia aproximación científica), y normalmente se administran de una forma ceremonial en que la persona que los ingiere está rodeada de otros miembros especializados de la comunidad.

Actividad biológica

Sus actividades biológicas son importantes por su mimetismo hormonal y su intervención en las reacciones principales del metabolismo celular. A pesar de ser sustancias poco similares entre ellas desde el punto de vista estructural, poseen propiedades fisiológicas análogas. Muchos alcaloides son la causa de intoxicaciones en humanos y animales. La forma más común es la intoxicación por infusiones con hierbas con fines medicinales, siendo esta una causa importante de muerte sobre todo en niños. Su presencia en vegetales hace posible su incorporación accidental en alimentos, creando una vía fácil de intoxicación.

Generalmente actúan sobre el sistema nervioso central, si bien algunos afectan al sistema nervioso parasimpático y otras al sistema nervioso simpático, por ejemplo, la cocaína actúa impidiendo la recaptación de dopamina de la terminal sináptica, lo que produce un mayor efecto de los receptores dopaminérgicos.

La actividad biológica de los alcaloides es muy diversa; la más estudiada es la acción euforizante que presentan algunos como la cocaína, si bien también existen alcaloides con efectos depresores del sistema nervioso central como la morfina.

Los alcaloides pirrolidínicos están asociados con estructuras de pirrolizidinas; son metabolitos secundarios de una gran variedad de plantas, que incluye especies que se encuentran en todo el mundo. Estas plantas son la causa de numerosos casos de envenenamiento de ganado, y ha causado grandes pérdidas económicas. También son causa de muerte en humanos, especialmente en países poco desarrollados, como consecuencia de la contaminación de cereales y semillas por lo que son de gran importancia en el campo de los alimentos. Se cree que la ingestión de hierbas y vegetales que contienen estos alcaloides, son causa de dolencias. La estructura de estos alcaloides consiste en dos anillos de 5 átomos unidos que comparten un átomo de nitrógeno. En la naturaleza por lo general los anillos tienen como sustituyentes grupos hidroximetileno en la posición c-1 y grupos hidroxilos en c-7; esta estructura se conoce como necina. Ejemplos típicos de esta base son la heliotridina y la retronecina.

Fitoquímica

Los métodos de extracción son muy variados, pero últimamente está adquiriendo fuerza la purificación por medio de fluidos supercríticos, concretamente con dióxido de carbono. Para obtener los alcaloides de los vegetales, se extraen de las partes de la planta que los contienen, con agua si están en forma de sales (solubles) o con ácido clorhídrico diluido si están en forma insoluble.

En cuanto a su detección, existen multitud de métodos: procedimientos cromatográficos, reacciones coloreadas (reacción de Mayer, de Dragendorff, de Bouchardat... si bien no son específicas de los alcaloides: puede obtenerse un resultado positivo en presencia, por ejemplo, de péptidos). Actualmente se utilizan métodos espectroscópicos tales como espectrometría de masas, resonancia magnética nuclear y espectroscopia infrarroja.

Clasificación por estructura química

Compuestos no heterocíclicos

Dado que los pseudoalcaloides no heterocíclicos, los protoalcaloides y secoalcaloides no tienen una estructura heterocíclica, se puede considerar que presentan una estructura hidrocarbonada muy diversa. En esta sección se clasificarán estos compuestos por su grupo funcional:

Grupo funcional Estructura Ejemplos
Amina primaria
aminas biógenas, ácido antranílico, ácido p-aminobenzoico, bleniona.
Amina secundaria (R1 = H) o terciaria
Espermina, espermidina, sarcosina, peshawarina, narceína, joubertiamina, cordiformamida, lilacinona, lepiotaquinona, tetraciclinas, taspina.
Sal de amonio cuaternaria
Betaínas, muscarinas.
Amida primaria
Anandamida, nicotinamida, cerulenina, agrocibina.
Amida secundaria y terciaria
Péptidos no ribosomales. Ceramidas. Bufotoxinas, capsaicina, herclavina, boletocrocinas, fagaramida, dasiclamida, turtschamida, subafilina, ocratoxinas, norbeladina, secopiriferina, secoodorina, secopirrolotenina, grandiamidas, paucina, subafilina, haplamidina, gloquidiatusamida, colchicina, jerusalemina, salimina, arnotianamida, curvulárido E, xilariamidas, fisariginas, escaurinas, boletocrocinas, melanocrocinas, lipstatina, antimicinas, zwittermicina, salicihalamidas, apicularenos.
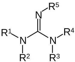
Guanidina
Galegina, creatina, hirudonina, esferofisinas, fontaineína
Nitrilo
glucósidos cianogénicos
Diazo
Kinamicinas, agaritina, giromitrina, rubroflavina, craniformina, estefanosporina.
Azoxi
Cicasina, azoxibacilina
Nitro
Ácido β-nitropropiónico y sus ésteres, cloranfenicol, ácido aristolóquico, ácido 1-amino-2-nitrociclopentanocarboxílico, ácido 3-nitro-4-hidroxifenilacético, aureotina, miserotoxina, ascoclavina
Hidroxilamina y oxima
Desferrioxaminas B, deferoxaminas, hadacidina, lobatamidas

Estructuras heterocíclicas

A continuación se clasificarán los alcaloides y pseudoalcaloides de acuerdo con sus estructuras heterocíclicas.

Nombre Esqueleto Ejemplos
Aziridina
Ácido 2,3-aziridindicarboxílico, disidazirina.
Azetidina
Ácido azetidin-2-carboxílico, Ácido mugineico, 3-azetidinona, 3,3-azetidinodiol, SQ 26,180, nicotianamina, penaresidinas, penazetidinas, calidafninona, antibióticos betalactámicos.
Pirrol
Pirrolidinas: Cuscohigrina, higrina, higrolina, estaquidrina, ficina, vochisina, eleocarpina, dendrocrisaninas, agaricona, pirrociclinas, chabamida F, equisetina, fomasetina, salinosporamidas, pseurotinas, ácido kainico, ruspolinona, gerrardina, ácidos aminopirrolodincarboxílicos, anfiasterina C1 y C2, anisomicinas, antibiótico GKK 1032A2, barmumicina, brousonetinas, codonopsina, anisomicina, cucubalactama, detoxinina, hidroxipirrolidinas, divaricataéster A, donaxaridina; disibetaína, fulvanina A, involucratina, irniina, lanopilinas, ácido morusímico, ácido neoselaginélico, piperciclamida, radicamina A, rafanusanina, sarmentamida B, escalusamida A, sesilina, escuamolona, traquinona, uncinina, villatamina A, peripentadenina.

Pirroles, pirrolonas y succinimidas: Ácidos pirrolocarboxílicos, ácido tenuazónico, porfirinas, porfibilinógeno, prodigiosinas, ryanodina, pirrolezantinas, ácido 3-pirrolacrílico, 2-cianopirrol, cistamidinas, farinomaleína, showdomicina, ácido pirrolo-2,3-dicarboxílico, ácido pirrolo-2,5-dicarboxílico, 5-(23-Ciano-23-hidroxi-6-tricosenil)-1H-pirrol-2-carboxaldehído, curvupálidos, batraciotoxina, himanimidas, paquidermina, policefalinas, ácido fisorubínico, variotina, pencólido, pirrolostatina, gliciapirroles, sarcotrinas, palinurinas, ircinamina, tambjaminas, kikumicinas, rumbrina, auxarconjugatinas, indanomicina, stawamicina, cafamicina, dioaxapirrolomicina.

Imidazol
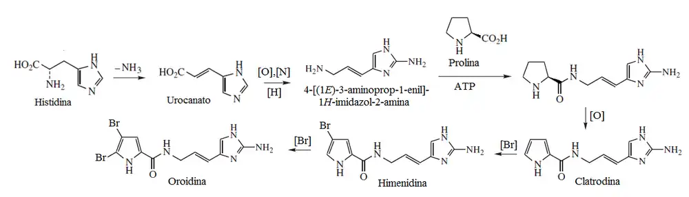
Ácido urocánico, histamina, murexina, diftamida, ergotionina, pilocarpina, dolicotelina, pilosina, nagelamidas, esceptrinas, clatrodina, oroidina, himenidina, keramadina, creatinina, policarpina, esteletazoles, crisofisarinas, lepidinas.
Pirazol
β-pirazol-1-il alanina, pirazofurina
Oxazol
Oxazolidinas: Goitrina, lipoxazolidinonas

Oxazoles: Muscazona, hennoxazoles, rizoxina, forboxazol, anulolina, halfordinol, texalina, texamina, vibriobactina, curromicina A, martefraginas, almazolona, clavosinas, quivosazoles.

Isoxazol
Isoxazolidinas: Cicloserina

Isoxazoles: Ácido iboténico, ácido tricolómico, muscimol.

Tiazol
Epotilonas, tiamina, micrococcina, mixotiazoles, nostociclamidas, tiostreptona, raocilamidas, dendroamidas, tenuacilamidas, yersiniabactina, curacinas, venturamidas.
1,2,4-oxadiazol
Ácido quisquálico
Piridina
Piperidinas: Coniina, coniceína, pinidina, lobelanina, ácido pipecólico, glutanimina, indigoidina, sedamina, lobelina, anaferina, piperina, nufamina, nufaramina, carpaína, estenusina, ácido evonínico, ácido wilfórdico, ácido edulínico, evonina, rohitukina, crotacuminas, capitavina, cassina, himbacina, astrofilina, arenosclerina, haliclonaciclaminas, batzelásidos, lactidomicinas, estreptimidina, adenocarpina, amnodendrina, prosopinina, criptoforina.

Piridinas: 4-Hidroxi-2-metilpiridina, Ácido nicotínico, ácido quinolínico, ácido picolínico, nicotina, miosmina, mimosina.hachijodinas, orellanina, anabasina, anabatina, trigonelina, ricinina, arecolina, homarina, guvacina, hermidina, ácido betalámico, betalaínas, gentianina, evonina, hipocrateína, wilfortrina, triptoninas, ácido fusárico, caripirina, nigrifactina, desmosina, xilopiridinas, euonimina, wilfordsina, cangorininas, maytenina, ebenifolina, wilfordconina, aspertinas, piericidinas, ácido evonínico, baikiaína.

Pirimidina
Ectoína, capreomicidina, timina, citosina, uracilo, vicina, convicina, latirina, ácido barbitúrico
Pirazina
Ácido pulcherrímico, ácido aspergílico, ligustrazina, riterazinas, anhidropéptidos, crotonina, dragmacidinas, sarcodoninas, sarcoviolinas, albornousina, picroroccelina, ácido rodotorúlico, equinulina, flavacol, micelianamida, barrenazinas.
Piridazina
Piridazomicina, Piridazocidina
Tiomorfolina
Condrina, ácido tiomorfolino-3-carboxílico, cicloaliina
Azepina
Azepanos': Bengamidas, isobengamidas, muscaflavina, Ciliatamidas, ofiocordina, balanol, chalciporona, peritoxina A, ustalimida, amamistatina A, antibiótico A 500359A, balanol, calpinactama, capuramicina, carboximicobactinas, ciliatamida A, circinatina, drazepinona, formobactina, 4,8-difenil-5H-1,3-dioxolo[4,5-d]azepino-5,7(6H)-diona, montiporina E, nocardimicinas, peritoxina A, pestalactama A, solacina C.
Azocina
Otonecina
Azacicloalcanos
Motuporaminas, macrociclolactamas, Keramafidina C
7-azabiciclo[2.2.1]heptano
Epibatidina
Tropano
Atropina, escopolamina, hiosciamina, cocaína, ecgonina, calisteginas
9-Azabiciclo[3.3.1]nonano
Pseudopeletierina, eufococcinina
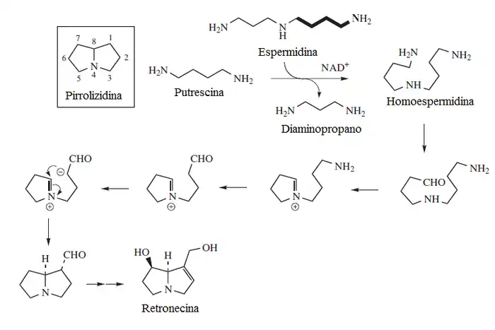
Pirrolizidina
Necinas: Retronecina, heliotridina, laburnina, indicina, lindelofina, sarracina, platifilina, tricodesmina, falenopsina, licopsamina, creatonotinas, calimorfina, supidina, rosmarinecina, danaiona, traquelantamidina, hastanecina, crotanecina, platinecina, turneforcidina, ipangulinas, minalobinas, pirrolamas,
Indolizidina
Swainsonina, castanospermina, pumiliotoxinas, la lentiginosina, las poligonatinas, monomorina, eslaframina, serratinina.
Indol
Ciclo-DOPA, oleraceínas, auxinas, glucobrassinina, escatol, triptamina, serotonina, aeruginascina, indol, indoxilo, isatina, camalexina, 5-(3’-metilbuten-2’-il)isatina, ascorbígenos, melosatinas, hipaforina, bufotenina, beocistina, plakohipaforinas, bromoindoles, indolmicina, Sinalexina, Convolutindol A, Petromindol, Brasilidinas, Dilemaonas, 5-MeO-DMT, 5,6-hidroxiindol, mesembrina, ésteres del triptofol, 1-(2-metilbut-3-en-2-il)-1H-indol-3-carboxilato de metilo, 1-(3,4-dihidroxi-2-metilbutan-2-il)-1H-indol-3-carboxilato de metilo, homolicorina, birnbauminas, cinereapirroles, fragilamida, martensinas, urdamicina D, violaceína, Convolutindol A.
Isoindol
Citocalasinas, quetoglobosinas, cespitulactamas, hericerina, estereninas, clitocibinas.
Benzotiazol
Luciferina
Benzoxazol
Nakijinol, pseudopteroxazoles
Indazol
Nigelidina, nigelicina, nigeglanina
Pirrolo[3,2-b]piridina
Laccarina, agrocibenina, cortamidinas
Pirrolo[1,2-a]pirazina
Vercapamida A
Imidazo[1,2-a]pirazina
Coelenteracina, vargulina
Quinolina
'Hidroquinolinas: Mirionina, tortuosamina

'Quinolinas: Ácido xanturénico, ácido quinurénico, 2-quinolinamina, quinolina, ácido quináldico, ácido cinconínico, lepidina, 4,8-Quinolinodiol, 2-quinolinametanotiol, 2-quinolinametanol, 4-quinolinametanol, 2,3,4,7,8-quinolinapentol, 2,3,4,7-quinolinatetrol, 2,3,4,8-quinolinatetrol, 2,4,6,8-quinolinatetrol, 2,4,7,8-quinolinatetrol, 3,4,5,8-quinolinatetrol, 2,3,4-quinolinatriol, 2,4,6-quinolinatriol, 2,4,8-quinolinatriol, 4,7,8-quinolinotriol, 2-quinolinol, 3-quinolinol, 4-quinolinol, 2(1H)-quinolinona, 4(1H)-quinolinona, viridicatina, cusparina, evocarpina, equinopsina, crispina E, dictamnina, fagarina, esterculinina.

Isoquinolina
Tetrahidroisoquinolinas: canadalina, filocriptina, filocriptonina, velucriptina, ceratonicina, Policarpina (Isoquinolina), anocherinas, macrostomina, arenina, compostelina, sarcocapninas, la gouregina, aristoyagonina, aristocularinas, cularina, secocularinas, noyaína, quetaminas, hidrastina, autumnalina, pisopowetina, pisopowiaridina, dauricina, vanuatina, malekulatina, ambrinina, neferina, rodiasina, tiliacorina, berbamina, oxiacantina, talicberanos, talidasanos, talmanos, tubocuraranos trilobina, repandulina, auroramina, pennsylpavina, baluchistanamina, epiberbivaldina, cancentrina, punjabina, gilgitina, talcamina, jhelumina, chenabina, karakoramina, ipecósido, korupensaminas, michelamina, habropetalinas, dioncofilina, liensinina, bicuculinina, talifarapina, pakistanamina.

Isoquinolinas: Isoquinolina, salsolina, lofocerina, coridaldina, oxihidrastinina, ancistrocladinas, papaverina, laudanosina, sendaverina, papaveraldina, carcrisina B, fusarimida, cassiarinas, monascorubramina, fredericamicinas A y B, lagunamicina.

Quinolizidina
Lupinina, nufaridina, nufarolutina, nufacristina, nufarpumilaminas.
quinazolina
Febrifuguina, glicorina, arborina, glicosminina, glicoscimina, glicofimolina, glomerina, homoglomerina, equinozolinona, tetrodotoxina, 2-acetilquinazolin-4(3H)-ona, 7-bromoquinazolino-2,4-diona, 7-hidroxiequinozolinona, dictioquinazoles.
Quinoxalina
Baimantuoluoamida B
3H-Pirrolo[1,2-a]azepina
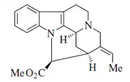
Estemoadina
3H-3-benzazepina
Roeadina, papaverrubinas
2,7-Naftiridina
Lofocladinas
Purina
Xantosina, adenina, guanina, cordicepina, eritadeninas, nebularina, citoquininas, cafeína, teofilina, teobromina.
Pteridina
Biopterinas, leucopterina, xantopterina
Pirimido[5,4-e][1,2,4]triazina
Reumitsina, toxoflavina.
Pirazolo[4,3-e][1,2,4]triazina
Fluvioles
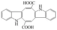
Carbazol
3-Metilcarbazol, 3-Formilcarbazol, Ácido 3-carbazolcarboxílico, 1-Hidroxi-3-metilcarbazol, clausinas, murrayafolinas, koenolina, murrayanina, ácido mukoénico, mukonina, 2-hidroxi-3-metilcarbazol, mukonal, mukonidina, 2-metoxi-3-metilcarbazol, glicosinina, heptafilina., currayanina, exozolina, carquinostatinas
Acridina
Rutacridona, melicopidina, Xantevodina, eskimianina.
Fenazina
Piocianina, aeruginosinas.
Fenoxazina
Cinabarina, ácido cinabarínico, tramesanguina, polistictina, fenoxazona, α-aminofenoxazona, orceínas, picnoporina.
Benzo[g]isoquinolina
Tolipocladina
Benzo[g]quinolina
Cleistofolina
4H-1,4-benzoxazina
DIMBOA
Quinuclidina
Quinina quinidina cinconina, cinchonidina.
1,2-Dihidroespiro[indol-3,3'-pirrolidina]
Coerulescina, Horsfilina
β-Carbolina
Harmano, harmina, harmalina, eleagnina, cecilina, tripargimina, bruneínas, flazina, flazinamida.
Benzo[g]pteridina
Lumazina, Limicromo, isoaloxazinas, roseoflavina
7H-dibenzo[d,f]azonina
Protostefanina
Benzo[h]isoquinolina
Chiloenina, santiagonamina
Fenantridina
Crinina
Benzo[c]cinolina
Necatorina
Pirido[1,2-a]indol
Gliotoxina, dioxopirazinoindoles
Pirido[2,1,6-de]quinolizina
Coccinelina, mirrina, precoccinelina, hipodamina, convergina, poranterina, porantelidina, porantericina, propileína
11bH-pirido[2,1-a]isoquinolina
Emetina
Pirrolo [2,1-a]isoquinolina
Lamelarinas
Pirrolo[4,3,2-de]quinolina
Micearubinas, makaluvaminas, damirona C, hematopodinas.
2H-1,8,8b-Triazaacenaftileno
Cilindrospermopsina y sus derivados.
5H-5,6,8b-Triazaacenaftileno
Ptilomicalinas, batzeladinas, cambrescidinas.
9aH-5,8-diazabenzo[cd]azuleno
Aaptosamina
4H-benzo[de][1,6]-naftiridina
Aaptaminas, isoaaptaminas
Pirido[2,1-j]quinolina
Cilindricina B, fasicularina, policitorol A
1H-pirrolo[2,1-j]quinolina
Cilindricinas A, K, D, E, J, I; Lepadiforminas A y B.
1,8-dihidropirrolo[2,3-b]indol
Fisostigmina (eserina), eteramina, fisovenina, eptastigmina, flustraminas.
5H,10H-Dipirrolo[1,2-a:1',2'-d]pirazina
Vercapamida C, pirocol, aranotina.
2-oxa-6-azatriciclo[4.2.1.03,7]nonano.
Lolinas, temulina
Dibenzo[c,g]azecina
Protopina, coricavamina, coricavidina.
Dibenzo[b,i]quinolizina
Cohirsina, shaheenina, cohirsinina, cohirsitinina.
Pirrolo 2,1,5-cdindolizina
Mirmicarinas
1H,10H-pirrolo[1,2-c]purina
Saxitoxinas
Indolo[2,1-a]isoquinolina
Criptowolidina, criptowolinol, criptowolina.
9H-Indeno[2,1-b]piridina
Haouamina
Azepino[3,2,1-hi]indol
Estenina, tuberostemonina, estemoamida, estemonina, neostemonina, croomina, estemonidina.
6,10-Metano-4,6-dihidropirido[1,2-a]azepina
Securiniaminas, sufruticodina, securinoles, filocrisina
2,5-Metano-9H-pirido[1,2-b][1,2]oxazepina
Filantidina, secuamamida D
4H-dibenzo[de,g]quinolina
Alcaloides aporfinoides: Glaucina, boldina, bulbocapnina, nanteína, hernandialina, nuciferina, liriodenina, pukateína, laurotetamina, lauroscolzina, escolina, magnoflorina, duguenaína y pancoridina, talifaberina, urabaína, dehatrifina
7H-dibenzo[de,h]quinolina
Menisporfina
Indeno[1,2,3-ij]isoquinolina
Rufescina, imeluteína
1,2-Epimino-3H-pirrolo[1,2-a]indol
Mitomicinas
Eupolauridina
Eupolauridina y sus derivados
Pirrolo[3,2,1-de]fenantridina
Licorina
7H-Nafto[1,2,3-ij][2,7]naftiridina
Sampangina, eupomatidinas
Espiro[2,5-ciclohexadieno-1,7'(1'H)-ciclopenta[ij]isoquinolina]
Orientalinona, glaziovina, estefarina, mecambrina, pronuciferina.

Dímero: Roehibridina

1,2-dihidrospiro[2-H-indeno-2,1'-isoquinolina]
Lahorina
Benzo[d]-[4,5-g]pirido[4,3,2-jk][2]benzazepina
Dragabina
Esparteína
Esparteína
1H,4H,9H-Dipirido[2,1-b:3',2',1'-ij]quinazolina
Sibiridina, schoberina
Morfinano
Codeína, tebaína, salutarina, morfina, oripavina
Hasubanano
Hasubanonina, cefaramina, cefasamina
(1S,9R)-7,11-diazatriciclo[7.3.1.02,7]tridecano
Citisina, angustifolina
Dibenzo[f,h]pirrolo[1,2-b]isoquinolina
Ficuseptinas, la criptopleurina y la tiloforina.
(6S,11bS)-6,11b-Metano-3a,6,11a,11b-tetrahidrofuro[2,3-c]pirido[1,2-a]azepina
Securiniaminas, sufruticodina y los securinoles A-D
Dibenzo[a,g]-9aH-quinolizina
Protoberberina, anisociclina, palmatina, coripalmina, discretamina, berlambina, lambertina, coreximina, talifaurina, coptisina, escoulerina, estilopina.
6,15-epimino-4H-isoquino[3,2-b][3]benzazocina.
Saframicina, renieramicina, jorunamicinas
(1R,2R,7S,12R,13S,15S)-14-Oxa-6,8-diazapentaciclo[10.6.0.02,7.02,15.08,13]octadecano

(Nitraramida)

Nitraramida, nitrabirina
3,5-o-fenilen-2,3,4,5-tetrahidro-1H-2-benzazepina
Amurensina
3,6-Dihidropirrolo[3,2-e]indol
Duocarmicinas, yatakemicina.
5,11-Epiminodibenzo[a,e][8]anuleno
Pavinas, isopavinas
10H-azuleno[1,2,3-ij]isoquinolina
Imerubrina
5H-Indeno[1,2-b]piridina
Oniquina
Dibenzo[6,5,4-cd:f]indol
Cefaronas
5H-Isoindolo[1,2-b][3]benzazepina
Lennoxamina
Benzo[6,7]ciclohept[1,2,3-ij]isoquinolina
Kreysigina,
9H-azuleno[1,2,3-ij]isoquinolina
Grandirubrina
Homoeritrinano ([4,5-h]indolo[7a,1-a][2]benzazepina)
Schelhameridina, erimelantina, erisopinoforina.
Eritrinano
β-Erytroidina, Erisotramidina.
3H-ciclopenta[b]pirrolo[1,2-a][3]benzazepina
Cefalotaxina, harringtonina, isoharringtonina, cefalezominas
Dibenzo[5,6-a:4',5'-g]-4H-quinolizina
Cavidina, Talictrifolina, apocavidina, isoapocavidina.
Quinolino[2',3':3,4]pirrolo[2,1-b]quinazolina
Luotoninas
Benzo[c]fenantridina
Quelidonina, sanguinarina, palmatina, queleritrina
Benzo[j,k]acridina
Necatarona
Indolo[3,2-c]quinolina
Isocriptolepina
Quindolidina
Quindolidina, Criptolepina
Quinindolina
Neocriptolepina
7H-Indolo[2',3':3,4]pirido[2,1-b]quinazolina
Evodiamina
5H-indolo[2,3-a]pirrolo[3,4-c]carbazol
Arciriaflavinas, estaurosporina
9H-Quino[4,3,2-de][1,10]fenantrolina
Ascididemina
11,22-Diazatetraciclo[11.11.2.12,22.02,12]heptacosane
Ircinales
  • Alcaloides de núcleo pirídico: a este grupo pertenecen la nicotina, la pilocarpina y la esparteína. La nicotina se encuentra en el jugo del tabaco acompañada de otros alcaloides. Es un líquido incoloro, de olor semejante al tabaco y sabor ardiente y picante. Es muy tóxica en dosis altas.
  • Alcaloides de núcleo isoquinoleico: se encuentran en las plantas papaveráceas y ranunculáceas. El más importante es la papaverina, que tiene propiedades hipnóticas (aunque no tan acentuadas como las de la morfina).
  • Alcaloides de núcleo fenantrénico: el más importante es la morfina. Se encuentra en el opio en forma de sal. Se emplea en medicina en forma de clorhidrato y sulfato, como sedantes, analgésicos, anestésicos y calmantes.
  • Alcaloides de núcleo tropánico: pertenecen a este grupo la atropina y la cocaína. La atropina se encuentra en el jugo de varias plantas como la belladona, la brugmansia, el floripondio, el toloache y el estramonio. La cocaína se extrae de las hojas de coca o Erytroxylium Coca, es de sabor amargo, insensibiliza la lengua, y se usa en medicina en forma de clorhidrato como anestésico local para curar el dolor y la epistaxis severa.
  • Alcaloides de núcleo indólico: los más importantes son la estricnina y la brucina. La estricnina es uno de los alcaloides más enérgicos y tóxicos, se extrae de diversas plantas del género Strychnos, entre ellas el haba de San Ignacio y de la nuez vómica o Nux Vomica. Es de sabor amargo muy intenso y es una sustancia extremadamente tóxica. su ingestión produce convulsiones tetánicas.
  • Alcaloides de núcleo no definido: son todos aquellos alcaloides cuya constitución aún no se ha establecido con claridad. Entre ellos se encuentra la aconitina (veneno muy violento, utilizado en terapéutica para combatir ciertas dolencias) y la ergotinina (uno de los principios activos del cornezuelo de centeno, que ejerce una acción específica sobre el útero).

Clasificación por biosíntesis

Los alcaloides se encuentran formando sales con los ácidos acético, oxálico, láctico, málico, tartárico y cítrico. A continuación se mostrará un resumen de la diversidad biosintética de los alcaloides.

Protoalcaloides

Muchos compuestos considerados pseudoalcaloides podrían incluirse en la categoría de protoalcaloides si se consideran todos aquellos que no forman sistemas heterocíclicos. Los más importantes que considerar son las aminas y las amidas.

Aminas

Cuando un aminoácido se descarboxila, se forman las aminas biógenas. La histidina y el triptófano, por poseer de por sí un anillo heterocíclico, serán contemplados en secciones aparte.

Aminoácido precursor Amina biógena Estructura
Glicina Metilamina
Alanina Etilamina
Serina Etanolamina
Cisteína Cisteamina
Ácido aspártico β-Alanina
Metionina 4-Metilsulfuro-1-propanoamina
Treonina 1-Amino-2-propanol
Ácido glutámico Ácido γ-aminobutírico (GABA)
Ornitina Putrescina
Arginina Agmatina
Lisina Cadaverina
Fenilalanina Fenetilamina
Tirosina Tiramina
DOPA Dopamina
Valina Isobutilamina
Leucina Isoamilamina

Muchas de estas aminas forman derivados posteriores, tales como las catecolaminas. Las efedrinas se forman a partir del ácido benzoico y el piruvato por acción de pirofostato de tiamina.

Muchas aminas pueden aceptar un segundo o hasta tercer grupo alquilo para formar aminas secundarias o terciarias. Cuando un aminoácido forma una sal de trimetilamonio se denomina betaína. Ejemplos de betaínas son la betaína glicínica, la trimetilserina (precursor de la colina) y la hipaforina. La muscarina es una sal de amonio de Amanita muscaria.

Amidas

Las amidas se forman por la conexión heteroatómica de una amina o el amoniaco con una acil-coenzima A.

Guanidinas

Existen aminas que reciben un grupo carbimino de la arginina, tales como la galegina y la creatina.

Alcaloides verdaderos

Poseen siempre un nitrógeno que forma parte de un heterociclo, tienen naturaleza básica, se encuentran normalmente en estado de sal y biogenéticamente proceden de aminoácidos.

Alcaloides derivados de la serina, la cisteína y la glicina

Serina
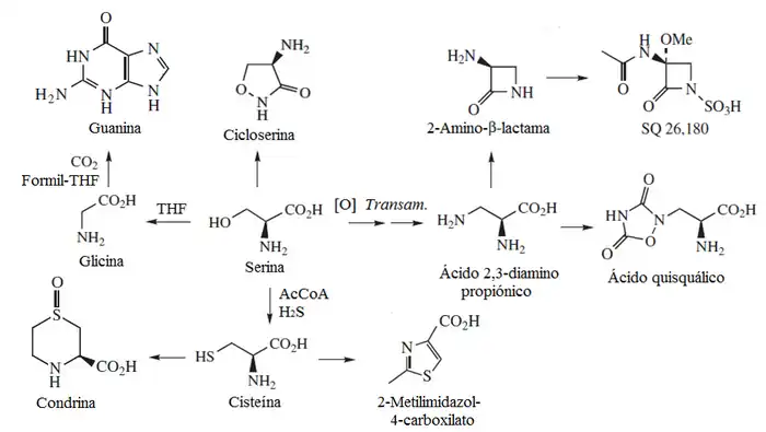
  • La serina forma la cicloserina, una isoxazolidin-5-ona por oxidación intramolecular del nitrógeno.
  • La serina puede formar el ácido 2,3-diaminopropiónico (DAP), que a su vez puede formar el ácido quisquálico, un aminoácido no proteínico con un anillo de 1,2,4-oxadiazolidina, aislado de la piscuala. El DAP también forma β-lactamas, las cuales son constituyentes de los antibióticos SP 26.
  • La serina puede incorporarse como etanolamina al alcaloide azamacrólido epilacneno.
  • En varios péptidos no ribosomales, la serina puede formar oxazoles y estos pueden ser referidos como péptidos alcaloidales. Los oxazoles son el resultado de la ciclación y oxidación de péptidos no ribosómicos de serina o treonina
En donde X = H, Met para serina o treonina respectivamente, B = base.
(1) Ciclización enzimática. (2) Eliminación. (3) [O] = Oxidación enzimática.
Cisteína

La cisteína puede formar diversos tiazoles:

  • Un ejemplo es el ácido 2-metil-1,3-tiazol-4-carboxílico. Este ácido tiazólico es la unidad de iniciación de policétidos como las epotilonas.
Epotilona C
  • Otro ejemplo de tiazoles de la cisteína son los mixotiazoles, los cuales fueron aislados por Höfle y sus colaboradores en los años 1970. El mixotiazol A fue descrito primero en 1978 en una patente y posteriormente fue descrito en los 80's. Los mixotiazoles son 2,4'-bi-1,3-tiazoles aislados de hongos que se forman a partir de un policétido con una unidad de iniciación de cisteína y otra molécula de cisteína.[5]
Glicina
  • La glicina puede formar anillos de imidazol, tales como el AIR y la creatinina.
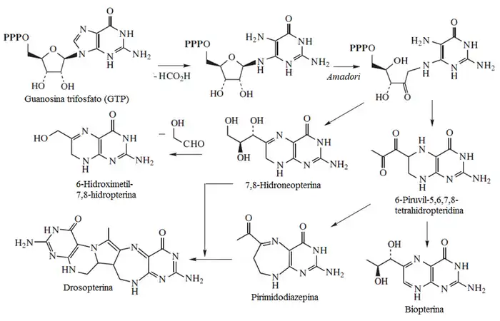
  • A partir de la guanina se pueden sistetizar anillos de isoaloxazina y pteridinas. Muchos insectos pueden producir pigmentos a partir de pteridinas (p. ejemplo Drosofilina, Leucopterina, Drosopterina) u otros anillos derivados:
  • La reumitsina y la toxoflavina son compuestos que presentan como esqueleto base la pirimido[5,4-e]-1,2,4-triazina (referidos también como Azapteridinas). Estos compuestos fueron aislados de bacterias del género Actinobacter. Estas triazinas pueden provenir biogenéticamente de una purina o pteridina.
  • Ejemplos de azaguanidinas es la zarzisina.
Pirimido[5,4-e][1,2,4]triazina

Alcaloides derivados del aspartato

En esta sección se consideran los alcaloides de los aminoácidos biosintéticamente relacionados con el ácido aspártico: aspartato, asparragina, treonina y metionina.

Aspartato y asparagina

El aspartato puede formar otro aminoácido relacionado por reducción del carboxilo terminal y aminación reductiva: el ácido 2,4-diaminobutírico (DABA). Al descarboxilarse puede formar 1,3-diaminopropano. El aspartato puede aceptar un grupo carbamilo por medio de su nitrógeno amino para formar el ácido N-carbamoilaspártico. Además, el ácido aspártico puede condensarse con el fosfato de dihidroxiacetona para formar la vitamina ácido nicotínico.

  • Pirimidinas: El precursor es el ácido orótico, el cual se forma por heterociclización del ácido N-carbamoilaspártico. Las bases pirimídicas (Uracilo, Timina, Citosina) surgen de este precursor. El ácido barbitúrico es producto del catabolismo de las pirimidinas. Ejemplos de alcaloides que provienen del ácido orótico son la vicina, la convicina, de Vicia faba y la clitocina de Pectinophora gossypiella. La latirina podría ser considerada como un aminoácido no proteínico o un alcaloide debido al anillo de pirimidina. La ectoína es una pirimidina 2-sustituida que no procede de la ruta del ácido orótico, sino que a partir del ácido 2,4-diaminobutírico acetilado en el nitrógeno del carbono 4.
  • Pirazoles: Los anillos de pirazol no son abundantes en la naturaleza, y tienen valor quimiotaxonómico. Un caso es la β-pirazol-1-il alanina y la pirazofurina.
  • Alcaloides pirido[1,2-a]azepínicos: Se forman en la esponja Niphates digitalis a partir del aldehído subérico y la 1,3-propanoamina (que proviene de la descarboxilación del ácido 2,4-diaminobutírico)[6]
Biosíntesis de alcaloides pirido[1,2-a]azepínicos
Treonina

Se cree que varios aminoácidos no proteínicos con actividad tóxica —como las hipoglicinas, la canalina y la canavalina—, provienen de la treonina.

Metionina

Los metabolitos secundarios nitrogenados de la metionina principalmente consisten en glucosinolatos de la metionina, homometionina y dihomometionina. La goitrina es una 1,3-oxazolidina formada del glucosinolato progoitrina. La S-Adenosil metionina es lo suficientemente reactiva para formar un sistema de azetidina, en forma de ácido azetidin-2-carboxílico, el cual es la base de los isopéptidos conocidos como ácidos mugineicos. Algunas azetidinas se presumen que provienen de este precursor, tales como la 3-azetidinona y el 3,3-azetidinodiol.

Ácido (S)-(-)-2-Azetidinocarboxílico Goitrina
Nicotinato

El ácido nicotínico se forma de novo en las plantas por condensación de una molécula de triosa y una molécula de iminoaspartato (el derivado imino del ácido aspártico), mientras que en animales y hongos se puede formar por catabolismo del triptófano. El ácido nicotínico (ácido piridino-3-carboxílico) es la base estructural de muchos alcaloides piridínicos. El ácido fusárico es un alcaloide piridínico que se forma bajo el mismo principio de condensación, pero a partir de aspartato y ácido triacético.

  • Piridinas: Esta vitamina puede descarboxilarse para dar piridina, hidrogenarse para formar dihidropiridinas u oxidarse. Algunas piridinas relacionadas con el ácido nicotínico son los alcaloides de la palma Areca (Arecolina, guvacina), la ricinina de las semillas del ricino, la hermidina de Mercurialis annua y la trigonelina de la alholva. Varias plantas de la familia Celastraceae producen ésteres del ácido evonínico (ácido nicotínico enlazado con una molécula de ácido 2-metilbutírico) y sesquiterpenos tipo agarofurano. Ejemplos de estos alcaloides son la maytolina, maytina, acantotamina, evonina, neoevonina, euonimina, hipocratinas, emarginatinas.
Ácido evonínico Estructura general de los alcaloides de Celastraceae.
  • Bispiridinas: Las bis-piridinas se forman por acoplamiento de radicales libres (Crisohermidina[7]​) o por condensación (Anatabina). Los anillo de piridina se pueden acoplar con otros anillos como en el caso de la nicotina (Anillo pirrolidínico)o anabasina (Anillo piperidínico de la lisina)
Centro
Crisohermidina Anatabina
  • Hachijodinas: Son hidroxilaminas derivadas de ácidos grasos que se forman cuando el ácido nicotínico es utilizado como unidad de iniciación:[8]

Alcaloides derivados de aminoácidos de la familia del glutamato

Varios alcaloides provienen de los aminoácidos de la familia del glutamato (glutamina, glutamato, prolina, ornitina y arginina.

Glutamato y glutamina
  • Cuando la glutamina heterocicliza en sus extremos, forma la glutanimina, la cual tiene un esqueleto piperidínico. Cuando dimeriza forma la indigoidina (Estructura: 1,1',2,2',3,3',4,4'-octahidro-4,4'-bipiridina).
Indigoidina
  • El glutamato hidroxilado puede formar un isoxazol de una manera similar a la cicloserina para formar el ácido iboténico, un aminoácido no proteínico con un heterociclo de isoxazol. Este aminoácido es precursor de muchos isoxazoles del hongo Amanita muscaria, tales como el muscimol y el ácido tricolómico.
  • El lascivol es una amida de la glutamina y un precursor policétido de los muchos compuestos de estructura indólica, tales como 2,4-dimetilindol, (2-metil-4-hidroximetilindol, (2-metil-4-metoximetilindol y 2,4-dimetil-5-metoxindol
Prolina

La prolina y la ornitina pueden formar alcaloides con núcleo pirrolizidínico; de hecho, la prolina por sí misma es una pirrolizidina. A partir de la prolina se pueden formar:

  • Ácidos 2-pirrolocarboxílicos así como sus derivados bromados, aislados de esponjas.
  • La estaquidrina, presente en la betónica, es la betaína de la prolina.
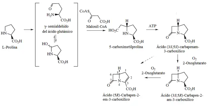
  • Antibióticos beta-lactámicos tipo carbapenam.
  • Muchos hongos clavicipitáceos producen alcaloides con esqueleto de 2-oxa-6-azatriciclo[4.2.1.03,7]nonano, tales como la lolina y la temulina, a partir de prolina y homoserina.
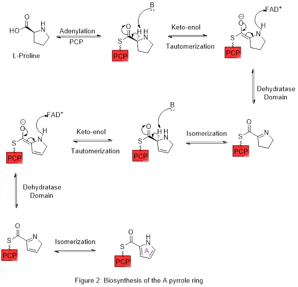
  • Las prodigiosinas son pigmentos tripirrólicos producidos por bacterias del género Serratia. El primer anillo de pirrol se biosintetiza por la deshidrogenación de un tioéster de prolina con la enzima:[9][10]
Prodigiosina
Serratia marcescens, bacteria productora de prodigiosinas

Posteriormente, el residuo 2-pirrolcarbonílico se condensa con un nuevo anillo de pirrol de origen tipo policétido:

Ornitina y arginina

La ornitina y la arginina están relacionadas biosintéticamente, ya que la arginina proviene de la ornitina por adición de un grupo carbamilo al nitrógeno terminal de la ornitina con posterior adición de un nitrógeno de aspartato (primeras 3 reacciones del ciclo de la urea)

La ornitina forma alcaloides de dos tipos: los derivados de la putrescina y los derivados de las poliaminas espermina, homoespermina y espermidina

  • Derivados de la putrescina: La putrescina puede heterociclizar para formar el catión N-metil-Δ1-pirrolinio. Este intermediario metabólico puede incorporarse a muchas rutas tales como:
a) Formación de 3-pirrolidin-2-il piridinas, como la nicotina
b) Formación de azaazulenos, tales como la (+)-5-epiindolizidina 167B.
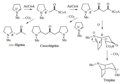
c) Formación de dos unidades de acetilo: Por el mismo mecanismo de los policétidos (Solo que la unidad de iniciación es una imina, por lo que en lugar de una condensación de Claisen se lleva a cabo una condensación de Mannich. Así se forman la higrina, cuscohigrina y las dendrocrisaninas. Cuando el derivado tipo policétido heterocicliza forma el esqueleto de tropano. Muchos alcaloides tropánicos se forman en solanáceas y eritroxiláceas, tales como Datura, Atropa,Mandragora y Erythroxylon. Ejemplos de estos alcaloides son cocaína, hiosciamina, tropina, las calisteginas, las esquizantinas, la litorina, meteloidina y escopolamina.
d) Alcaloides pirrolidinflavonoides: Los anillos de N-metil-Δ1-pirrolinio pueden incorporarse a estructuras de flavonoides. Ejemplos de estos alcaloides son la ficina, la vochisina y la eleocarpina
Ficina Vochisina
  • Las dendrocrisaninas son anillos de pirrolidina con sustituyentes cinamoilo en el nitrógeno.[11]
  • La agaricona es un pigmento producido por Agaricus xanthoderma.
-Derivados de poliaminas: La homoesperidina puede dar una doble ciclización para producir biosintéticamente alcaloides pirrozilidínicos. Las plantas del género Senecio, la mariposa monarca (Danaus plexippus y otros lepidópteros relacionados (los cuales consumen la planta) y varias orquídeas son los principales productores de alcaloides pirrolizidínicos:[12]

Ejemplos de estos alcaloides son la falenopsina, licopsamina, retronecina, creatonotinas, calimorfina, supidina, rosmarinecina, otonecina, danaiona, traquelantamidina, platafilina, sarracina, hastanecina, crotanecina, heliotridina, platinecina, turneforcidina, ipangulinas y minalobinas.

  • Muchos alcaloides macrocíclicos provienen de la espermina, como en el caso de la lunarina (Aislada de Lunaria annua[13]​):
  • La estructura de las motuporaminas sugiere un origen a partir de poliaminas y un ácido graso de cadena mediana:[14]
  • Alcaloides de la Stemona: Las especies de la familia Stemonaceae producen una gran clase de alcaloides diversos estructuralmente relacionados con el núcleo de 4-azaazuleno. Sus raíces han sido utilizadas para el tratamiento de tuberculosis, bronquitis y parasitosis. Ejemplos de estos alcaloides son la estenina, tuberostemonina, estemoamida, estemonina, neostemonina, croomina y estemonidina.
Tuberoestemonina
  • Alcaloides de Elaeocarpus: Las especies del género Elaeocarpus producen una serie de alcaloides indolizidínicos, pero a diferencia de los que son tipo swansonina, estos alcaloides se presume que provienen de la espermidina. Se clasifican en:
- Alcaloides 8-acilindolizidínicos: Como ejemplos se pueden citar a las eleokaninas A-C, grandisinas E y D, la isoelaeocarpicina y la eleocarpenina.
- Alcaloides tipo eleokanidina: Presentan un esqueleto base de pirrolo[2,1-f][1,6]naftiridina o 1H-pirano[2,3-g]indolizina. Ejemplos de estos alcaloides son las eleokanidinas A-C y las eleokaninas D y E.
- Alcaloides tipo eleocarpina: Presentan un esqueleto base de 12H-[1]benzopirano[2,3-g]indolizina, como por ejemplo la eleocarpina, la pseudoepiisoeleocarpilina, las grandisinas C y F, la rudrakina, la eleocarpilina, la aloeleocarpilina, epialoeleocarpilina, epiisoeleocarpilina, isoeleocarpilina, epieleocarpilina.
Eleokanina A Isoeleocarpicina Grandisina G Eleokanidina A Eleocarpina
1H,10H-pirrolo[1,2-c]purina, esqueleto base de las saxitoxinas
  • Las verpacamidas y la peramida son anhidropéptidos de la arginina y la prolina:

Derivados del porfibilinógeno

El porfobilinógeno es el precursor de los bilanos, porfirinas, corrinas y bilinas. Algunos alcaloides cromóforos producidos por insectos que provienen de este compuesto son la pterobilina, sarpedobilina y la forcabilina.[16]

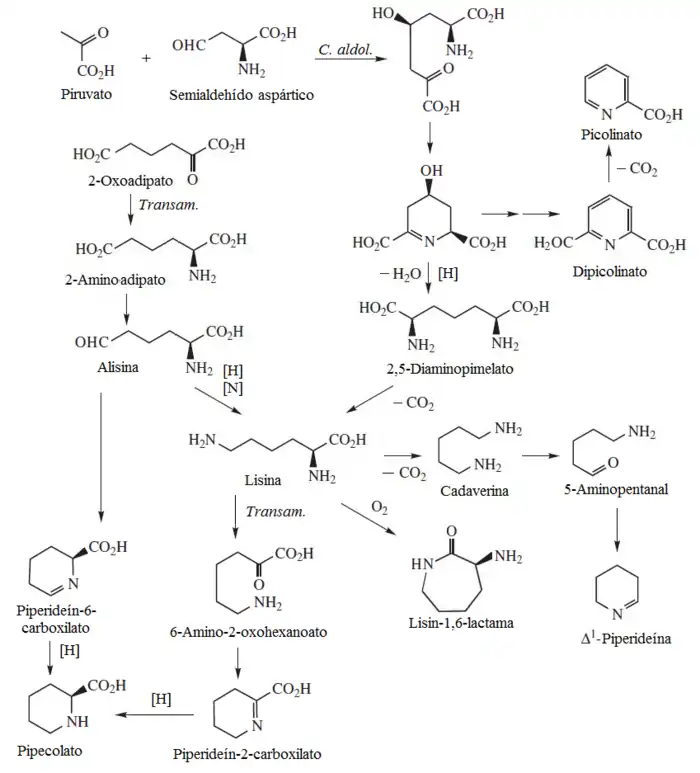
Alcaloides derivados de la lisina

La lisina puede ser biosintetizada por la ruta del diaminopimelato (DAP) en hongos o por la ruta de α-aminoadipato (AAA). Durante su biosíntesis se pueden formar metabolitos tales como el ácido picolínico y ácido dipicolínico, los cuales son isómeros del ácido nicotínico y el ácido quinolínico, respectivamente.

Cuando la lisina heterocicliza, forma la lactama de la lisina (Esqueleto base: perhidroazepina). Esta lactama es la base de las bengamidas. La alisina el producto de transaminación del amino terminal de la lisina. La desmosina proviene de este intermediario. La alisina puede formar el ácido pipecólico, el cual es un componente de la ascomicina y la rapamicina. La descarboxilación de la lisina produce la cadaverina, la cual por heterociclización produce Δ1-piperideína. Este anillo puede formar varios sistemas de alcaloides.

Los alcaloides de la lisina se pueden clasificar como derivados de la cadaverina y derivados del pipecolato.

  • Los derivados de la cadaverina principalmente son los que proceden de la incorporación de una unidad de piperidina a diversos componentes, por ejemplo:
- La anaferina, la peletierina y la pseudopeletierina son derivados de acetilación de modo análogo a la biosíntesis de la higrina y los alcaloides del tropano.
- La estenusina es un derivado por condensación con isoleucina. Otros ejemplos son el ácido evonínico, ácido wilfórdico, el ácido edulínico y la evonina.
Estenusina
- Alcaloides piperidinflavonoides' Un ejemplo es la rohitukina, las crotacuminas y los derivados de la capitavina.
Schumannioficina Rohitukina
- Alcaloides 1,3-diazepinflavonoides: Por ejemplo la aquiledina y la isoquiledina.
- Alcaloides quinolizidínicos: Se forman por dos unidades de piperideína. Se encuentran en varios miembros de la familia Fabaceae. Ejemplos típicos son la lupinina, la lusitanina y la castoramina.
- A partir de la peletierina y otros derivados se forman nuevos sistemas de anillos heterocíclicos, tales como citisina, esparteína, licodina, angustifolina, albina, fawcetimida, poranterina, cernuina, sofocarpina, criptopleurina, ormosamina, afilina, afilidina, lupanina, retamina, aloperina, baptifolina, multiflorina, camoensidina, matrina, soforidina, soforamina y serratinina.
Esparteína Citisina Angustifolina Licodina Ormosamina Fawcetidina Mirionina
- La anabasina, astrofilina y anabatina son bis-piridinas producto de la condensación de Mannich entre otras piperidinas de origen lisínico o nicotínico.
Anabasina
- La lobelanina, la lobelina y la sedamina se forman por la incorporación de derivados fenilpropanoides.
Lobelina
- La piperina, la nigramida R, la piperciclobutanamida C y las chabamidas H e I son ejemplos de alcamidas de la piperidina.
- Alcaloides indolizidínicos: La castanospermina proviene biosintéticamente del ácido pipecólico. Este se condensa con dos unidades de acetato por medio de condensaciones de Claisen de la misma manera que en los policétidos, generándose así la 1-indolizidinona, la cual es precursora de muchos alcaloides indolizidónicos. Ejemplos de estos alcaloides son la castanospermina, swainsonina, las pumiliotoxinas, la lentiginosina, las poligonatinas y la monomorina. Las mirmicarinas presentan un esqueleto de indolizidina fusionado con un pirrol (Pirrolo[2,1,5-cd]indolizina). Los alcaloides indolizidínicos pueden presentarse fusionados con anillos aromáticos (Dibenzo[f,h]pirrolo[1,2-b]isoquinolina) como en el caso de las ficuseptinas, la criptopleurina y la tiloforina.
Indolizina Pirrolo 2,1,5-cd indolizina Dibenzo[f,h]pirrolo[1,2-b]isoquinolina
  • Alcaloides de litráceas: Estos alcaloides ciclofánicos se componen de un ciclo quinazolínico o piperidínico proveniente de la lisina, los cuales se esterifican con ácidos aromáticos fenilpropanoides o forman éteres entre anillos aromáticos.[17]
  • Alcaloides de Nitraria: Gerrit-Jan Koomen y Martin J. Wanner[18]​ clasificaron los alcaloides de Nitraria, dos de los cuales proceden exclusivamente de la lisina: los espiroalcaloides (Por ejemplo, (+)-nitramina, (-)-isonitramina, (-)-sibirina, nitrabirina, N-óxido de nitrabirina, y sibirinina) y los alcaloides tripiperidínicos (Schoberina, deshidroschoberina, sibiridina y dihidroschoberina)[19]
  • Ácidos acromélicos: Aislados del hongo Clitocybe acromelalga. Están relacionados biogenéticamente con el ácido kainico y el ácido domoico.[20]​ Lo que se asegura de todos estos alcaloides es la correlación con el ácido glutámico. El ácido fusárico se condensa en una manera similar, solo que formando un alcaloide piridínico.
Ácido acromélico A Ácido acromélico B Ácido kainico Ácido domoico Ácido fusárico

Alcaloides derivados de la fenilalanina y tirosina

La fenilalanina y la tirosina se biosintetizan por la ruta del ácido shikímico, vía corismato, prefenato y arilpiruvatos. Plantas y bacterias sintetizan ambos aminoácidos por rutas separadas, mientras que los animales y los hongos pueden obtener tirosina por hidroxilación de fenilalanina.

Los alcaloides de los aminoácidos tirosina-fenilalanina son un grupo muy amplio y diverso, por lo que serán clasificados por su biosíntesis en los siguientes tipos:

a) Alcaloides de Securinega
b) Alcaloides azólicos
c) Alcaloides isoquinolínicos
d) Alcaloides mesembrenoides
e) Alcaloides norbeladínicos
f) Anhidropéptidos de aminoácidos aromáticos
g) Alcaloides citocalasánicos
h) Alcaloides de la ciclo-DOPA
i) Alcaloides de las seco-DOPAs
Alcaloides de la Securinega

Las plantas del género Securinega producen alcaloides con el esqueleto base (6S,11bS)-6,11b-metano-3a,6,11a,11b-tetrahidrofuro[2,3-c]pirido[1,2-a]azepina. Este pequeño grupo de 30 alcaloides parece provenir biosintéticamente de la tirosina y la lisina, como el caso de la securinina. Otros ejemplos son las securiniaminas, sufruticodina y los securinoles A-D. La filantidina tiene la estructura metanofuro[2,3-d]pirido[1,2-b][1,2]oxazocina. Sankawa y colaboradores dedujeron que la securinina puede provenir de una molécula de tirosina y otra de cadaverina. Los precursores lisina, cadaverina, y tirosina fueron los que mostraron mayor incorporación. Los experimentos de degradación revelaron que la [1,5-14C]-cadaverina marcó específicamente el anillo de piperidina de securinina y la radioactividad de DL-tirosina-[2-14C] fue incorporado en el carbonilo C-11 de la lactona. Los experimentos con L-tirosina[U-14C] y L-tirosina-[3’,5’-³H;U-14C] prueba que el fragmento C6 – C2 es derivado del anillo aromático y los carbono C-2 y C-3 de la tirosina. [21]

(6S,11bS)-6,11b-Metano-3a,6,11a,11b-
tetrahidrofuro[2,3-c]pirido[1,2-a]azepina
Securinina Secuamamina D Filantidina Securinega suffruticosa
Heterociclos formados por ensamblaje
  • Los anhidropéptidos de la fenilalanina forman estructuras tipo 2,5-pirazinodiona. Estos metabolitos se encuentran ampliamente distribuidos en hongos. Los anhidropéptidos pueden ser diarílicos (se forman por condensación peptídica de dos arilalaninas, por ejemplo picroroccelina, albonoursina, anhídrido fenilalanínico, ciclopenina, viridicatina, Piperafizina B, emeheterona.
Piperafizina B Picroroccelina B

Los anhidropéptidos mixtos (se forman a partir de una arilalanina y otro aminoácido). Por ejemplo, la gliotoxina se forma a partir de la fenilalanina y la serina:

Biosíntesis de gliotoxina

Varios hongos (Arachniotus, Aspergillus, Epicoccum) pueden realizar otras condensaciones y por medio de una electrociclización reversa de un epóxido de areno, se forman alcaloides policíclicos tales como al aranotina. En este caso se lleva a cabo una segunda ciclización, en la que se forma un compuesto policíclico. La aranotina presenta adicionalmente una electrociclización reversa a partir del epóxido de areno correspondiente para forma r un sistema de oxepina.

Biosíntesis de la aranotina
  • Otros sistemas de ensamblaje heterocíclico de arilalaninas son las luciferinas de celenterados:
Coelenteramina Coelenteramida Coelenterazina La medusa Aequorea victoria produce coelenteramida como producto de la bioluminiscencia.
Nocardia es un género de bacterias productoras de vancomicina.
  • Diversos aminoácidos modificados son constituyentes de péptidos ribosomales y dépsidos, tales como la vancomicina, la tirocidina y la bauvericina:
Vancomicina Tirocidina A Beauvericina

Las fenetilaminas pueden incorporarse a anillos de imidazoles (como la Policarpina) y oxazoles, como la anulolina, el halfordinol, la texalina y la texamina:

Policarpina Halfordinol
Luciérnaga común (Lampyris noctiluca)
  • Los fenoles simples producto de la degradación de arilalaninas también pueden ensamblarse sin formación de esqueletos de carbono nuevos por condensación intramolecular, formando sistemas heterociclos con dos heteroátomos. Por ejemplo, la luciferina de Lampyris noctiluca se forma por este mecanismo:
Biosíntesis de la luciferina de Lampyris
Alcaloides isoquinolínicos

Los alcaloides isoquinolínicos y tetrahidroisoquinolínicos (THIQ) comprenden una diversa gama de compuestos ampliamente distribuidos principalmente en el reino vegetal. Cabe destacar que estas isoquinolinas tienen un sustituyente alquilo en la posición 1. Cualquier otro patrón de sustitución hace pensar en otra ruta biosintética. Biogenéticamente se pueden formar por una Reacción de Pictet-Spengler de una catecolamina con un aldehído o un ácido α-cetocarboxílico:

1,2,3,4-Tetrahidroisoquinolina Biosíntesis de THIQ.
La (S)-norcoclaurina sintasa EC:4.2.1.78 es el ejemplo típico de las enzimas que catalizan esta reacción, en este caso a partir del 3,4-dihidroxifenilacetaldehído (carbonilo) y dopamina (catecolamina).
Peyote (Lophophora williamsii)
Produce 1-alquil-THIQ, en donde R = Me, H, iso-Bu, etc.
Cápsula de amapola (Papaver somniferum)
El opio contiene diversos alcaloides derivados de 1-bencil-THIQ.
Las plantas del género Berberis producen alcaloides tipo berberina.

De acuerdo al aldehído utilizado, se pueden reconocer 4 grandes familias de este tipo de alcaloides:

a) Las isoquinolinas simples, las cuales se forman por condensación de una catecolamina con acetaldehído, glioxal, piruvato, formaldehído, etc.
b) La bencilisoquinolinas, que comprenden el grupo más amplio de todos se forman por condensación de una catecolamina con un fenilacetaldehído.
c) Las fenetilisoquinolinas, que se forman por condensación de una catecolamina con un fenilpropanal.
d) Los alcaloides tipo ipecósido, en donde el aldehído es un iridoide.
Gigantina Lofoforina Anhalamina Dorianina Iseluxina Doryphora sassafras
Planta productora de isoquinolinas simples
  • El grupo de la saframicina y la renieramicina presenta la estructura de 6,15-epimino-4H-isoquino[3,2-b][3]benzazocina. Ejemplos de estos alcaloides son las jorunamicinas.
6,15-Epimino-4H-isoquino[3,2-b][3]benzazocina
- Alcaloides bencilisoquinolínicos y bencilquinolínicos: Se forman por reacción de Pictet-Spengler de una catecolamina con fenilacetaldehídos, provenientes de las rutas de los fenilpropanoides. Ejemplos de estos alcaloides son la papaverina, filocriptina, filocriptonina, velucriptina, papaveraldina y las anocherinas. La arenina y la macrostomina, así como sus derivados poseen adicionalmente un anillo de pirrolidinio acoplado al anillo aromático.
Biosíntesis de benciltetrahidroisoquinolinas
Papaverina
Papaverina
Papaverina Arenina
- Alcaloides bisbencilisoquinolínicos: Se producen por acoplamientos de radicales libres y se conectan por medio de uno, dos o tres enlaces éter o bifenilo. Las unidades monoméricas son principalmente bencilisoquinolinas hidroxiladas o metoxiladas. Las aporfinas pueden contener componentes de aporfina. Este gran grupo de alcaloides se pueden dividir en cinco categorías, de acuerdo a la clasificación de Shamma:
(a) Alcaloides que sólo presentan grupos arilo acoplados. De la corteza de Popowia pisocarpa se han aislado un grupo de 7 alcaloides que presentan enlaces entre C-11 y C-11'. Algunos ejemplos son la pisopowetina y la pisopowiaridina.
Pisopowina
(b) Alcaloides que contienen sólo un enlace éter: Los enlaces éter comúnmente se encuentran en los carbonos C-11 y C-12', como la dauricina, C-11 y C-10', como en la vanuatina, entre C-10 y C-7' como la malekulatina y la ambrinina, C-11 y C-7', como en la neferina.
Dauricina
(c) Alcaloides que contienen un enlace con un aromático y uno o dos enlaces éter. Estos alcaloides están basados en el esqueleto de la rodiasina, por ejemplo la tiliacorina.
Rodiasina
(d) Alcaloides que contienen 2 enlaces éter: El más grande subgrupo simple que contiene dos enlaces éter posee el esqueleto de berbamano, p. ejem. la berbamina. Otro grupo de alcaloides son los del tipo oxiacantano, como la oxiacantina, por ejemplo la oxiacantina, el cual se conecta en los carbonos C-8 y C-7' y entre C-12 y C-13'. Este grupo incluye el talicberano (C-8 a C-6' y C-11 a C-12'), talidasano (C-8 a C-5¢ y C-11 a C-12'), y talmano (C-7 a C-5' y C-11 to C-12'). Todos estos tipos contienen enlaces entre los anillos de bencilo y entre los anillos aromáticos del componente tetrahidroisoquinolínicos. El tubocurarano contiene enlaces éter entre el anillo de bencilo de una unidad y el anillo aromático del componente de isoquinolina de la otra unidad.
Berbamano Oxiacantano Talicberano Tubocurarano
(e) Alcaloides con tres enlaces éter: Estos alcaloides incluyen a los grupos del 6',7-epoxioxiacantano (p. ejem.trilobina), 7,8'-epoxioxiacantano, y 8,12'-epoxitubocurarano.
- Alcaloides pseudobencilisoquinolínicos: Este término se utiliza para describir un esqueleto de isobenzoquinolina en la cual un esqueleto de bencilisoquinolina en el cual el anillo aromático se encuentra oxigenado en el carbono C-2', C-3' y C-4'. Estos alcaloides provienen biogenéticamente de sales protoberberínicos por la escisión del enlace C8-C8a. La policarpina, canadalina, Taxilamina y Ledecorina son ejemplos de este tipo de alcaloides.
- Alcaloides cularínicos: Los alcaloides derivados de la cularina ((12aS)-2,3,12,12a-Tetrahidro-6,9,10-trimetoxi-1-metil-1H-[1]benzoxepino[2,3,4-ij]isoquinolina) son tetrahidroisoquinolinas que contienen una oxepina o dihidrooxepina fusionada entre los carbonos C-8 y C-2'. Se forman por un acoplamiento oxidativo intramolecular. Ejemplos son compostelina, sarcocapninas, la gouregina, aristoyagonina, aristocularinas y la cularina.
- Alcaloides secocularínicos: Se pueden clasificar en dos grupos, las B- y C- secocularinas. Un ejemplo de las β-secocularinas (por ejemplo la secocularina, la secocularidina y la norsecocularina las cuales son estructuralmente relacionadas con alcaloides derivados del fenantreno derivados de aporfinas. Las C-secocularinas (p. ejem. la noyaína).
- Alcaloides tipo cancentrina: Son dímeros de una unidad de cularina y un morfinano a través de una unión espiro. Se encuentran en especies del género Dicentra.
- Alcaloides tipo quetamina: Solo se conocen tres compuestos relacionados: Quetamina, secoquetamina y la dihidrosecoquetamina. Estos alcaloides se encuentran en Berberis baluchistanica.
Cularina Policarpina Noyaína Quetamina
- Alcaloides tipo pavina: Estos alcaloides se forman por modos alternativos de ciclización oxidativa de precursores benzoquinolínicos. P. ejemplo Pavina, argemonina.
-Alcaloides tipo amurensina: Amurensina
Amurensina Pavina
- Benzopirrocolinas: Criptowolidina, criptowolinol, criptowolina.
- Alcaloides proaporfínicos: Este grupo de alcaloides representa una etapa intermedia en la conversión de las bencilisoquinolinas en ciertas aporfinas. Ejemplos de estos alcaloides son la orientalinona, glaziovina, estefarina, mecambrina, pronuciferina.
Biosíntesis de proaporfinas
- Alcaloides aporfínicos:Este gran grupo de alcaloides contiene el sistema de anillo tetracíclico aporfínico (4H-dibenzo[de,g]quinolina)formado por acoplamiento oxidativo de un fenol precursor bencilisoquinolínico.
Biosíntesis de aporfinas. Las aporfinas pueden biosintetizarse por transposición de proaporfinas (1) y por acoplamineto radicalario de una bencilisoquinolina (2).

Las variaciones estructurales incluyen:

(a) las aporfinas simples y las dioxoloaporfinas, por ejemplo la glaucina, la boldina, la bulbocapnina, la nantenina, la hernandialina, la nuciferina, la liriodenina y la pukateína. Laurotetamina, lauroscolzina, escolina, magnoflorina. También se incluyen derivados de insaturación generalmente entre el carbono C-6a y C-7.
Esqueleto de aporfina Glaucina Bulbocapnina Nantenina
(b) apoporfinoides tipo duguenaína y pancoridina. Su esqueleto base es la 9,10-dihidro-5H,7H-benzo[f][1,3]dioxolo[6,7]isoquino[8,1,2-hij][3,1]benzoxazina.
Pancoridina
Pancoridina
Deguenaína
Deguenaína
Pancoridina Duguenaína
(c) oxoisoaporfinas (p. ejem. la menisporfina). Presentan la estructura de 7H-dibenzo(de,h)quinolina
(d) azafluorantenos (p. ejem. la rufescina y la imeluteína). Presentan la estructura de indeno[1,2,3-ij]isoquinolina
(e) diazafluorantenos (p. ejem. eupolauridina).
(f) 1-azaoxoaporfinoides (p. ejem. sampangina). Presentan el esqueleto de 7H-Nafto[1,2,3-ij][2,7]naftiridina.
(g) azahomoaporfinas (p.ejem. la dragabina). Presenta la estructura de benzo[d]-1,3-dioxolo[4,5-g]pirido[4,3,2-jk][2]benzazepina
7H-dibenzo(de,h)quinolina Indeno[1,2,3-ij]isoquinolina Eupolauridina 7H-Nafto[1,2,3-ij][2,7]naftiridina Benzo[d]-1,3-dioxolo[4,5-g]pirido[4,3,2-jk][2]benzazepina
(h) aporfinoides oxidados (p. ejem. Andesina, chiloenina, santiagonamina).
(i) tropoloisoquinolinas (p. ejm. imerubrina). El esqueleto base es la 10H-azuleno[1,2,3-ij]isoquinolina.
(j) alcaloides tipo benzo[g]quinolina, por ejemplo la cleistofolina
(k) alcaloides tipo lennoxamina (Esqueleto base: 5H-[1,3]dioxolo[4,5-h]isoindolo[1,2-b][3]benzazepina)
(l) alcaloides tipo 5H-Indeno[1,2-b]piridina, por ejemplo la oniquina
(m) compuestos en los cuales el heterociclo se ha abierto para dar derivados del fenantreno, como por ejemplo la taspina.
(n) alcaloides que contienen anillos de lactamas de 5-miembros, como las aristolactamas (como la cefaranona A) y la piperolactama. Las cefaronas tienen como esqueleto el benzo[f]-1,3-benzodioxolo[6,5,4-cd]indol. El ácido aristolóquico es un derivado de N oxidación a grupo nitro.
Santiagonamina 10H-azuleno[1,2,3-ij]isoquinolina Benzo[g]quinolina 5H-Indeno[1,2-b]piridina Benzo[f]-1,3-benzodioxolo[6,5,4-cd]indol 5H-[1,3]dioxolo[4,5-h]isoindolo[1,2-b][3]benzazepina
Dímeros de bencilisoquinolina-aporfina: Tienen un solo enlace éter. Un caso típico es la talicarpina.
- Limalongina
- Alcaloides morfinánicos: Estos alcaloides tienen como esqueleto base al morfinano. Se forman a partir del acoplamiento oxidativo de un precursor isoquinolínico hidroxilado. Algunos ejemplos de este grupo son la codeína, salutarina, morfina y oripavina.
- Alcaloides tipo hasubanano: Se forman de una manera similar a los morfinanos. Se aislaron de la planta Stephania japonica Hasubanonina, cefaramina, devalaína, glabradina, limalongina, longanina, longeterina, metafanina, miersina, periglaucinas A-D, prometafanina, prostefabisina, prostefanaberrina, runanina, estefabenina, estefadiamina, estefamiersina, estefavanina.
- Alcaloides tipo 7H-dibenzo[d,f]azonina: Se aislaron de la planta Stephania japonica. Protostefanina.
Hasubanano 7H-dibenzo[d,f]azonina
  • Alcaloides benzo[c]fenantridínicos:
- Alcaloides protoberberínicos: Son alcaloides tetracíclicos que tienen como esqueleto base a la protoberberina. Ejemplos de estos alcaloides son anisociclina, palmatina, coripalmina, discretamina, berlambina, lambertina, coreximina, talifaurina, coptisina, escoulerina, estilopina,

cavidina, queilantifolina, corisolidina, coribulbina, coridalidzina, coridalina, coripalmina, corisamina, sinactina, capaurimina. Este grupo de alcaloides comprende:

(a) tetrahidroprotoberberinas, por ejemplo las tetrahidropalmatinas.
(b) protoberberinas, como la berberina;
(c) Derivados metilados en la posición 13 tal como la coridalina
(d) secoberberinas, las cuales tienen un anillo escindido. Algunos ejemplos son la aobamina, la macrantalina y la macrantoridina.
- Alcaloides tipo protopina Estos alcaloides tienen el esqueleto base bis[1,3]benzodioxolo[4,5-c:5',6'-g]azecina[22]Protopina, coricavamina, coricavidina, argemexicaínas A y B, constrictosina, criptopina, fagarinas I - III, muramina, pseudoprotopina.
bis[1,3]benzodioxolo[4,5-c:5',6'-g]azecina
- Alcaloides tipo roeadina. El roeadano ([1,3]dioxolo[4,5-h][1,3]dioxolo[7,8]-1H-isocromeno[3,4-a][3]benzazepina) es el esqueleto base de estos alcaloides[23]​ roeadina, papaverrubinas, alpinigenina, glaucamina, zangezurina.
[1,3]dioxolo[4,5-h][1,3]dioxolo[7,8]-1H-isocromeno[3,4-a][3]benzazepina
- Alcaloides espirobencilisoquinolínicos: Tienen como esqueleto base la 1,2-dihidrospiro[2-H-indeno-2,1'-isoquinolina], por ejemplo la lahorina, africanina, coridaína, coristewartina, fumaricina fumarilinahiperectina, ocotensina, severzinina, radeanamina, radeanina.
1,2-dihidrospiro[2-H-indeno-2,1'-isoquinolina]
- Alcaloides benzo[c]fenantridínicos:[24] Pueden tener como esqueleto base a la [1,3]benzodioxolo[5,6-c]-1,3-dioxolo[4,5-i]fenantridina o a la bis[1,3]benzodioxolo[5,6-a:4',5'-g]-4H-quinolizina, tales como la Quelidonina, sanguinarina, coridamina, arnotianamida, corinolamina, arnotianamida, quelilutina, corinolina. Dímeros: Sanguidimerina
Bis[1,3]benzodioxolo[5,6-a:4',5'-g]-4H-quinolizina [1,3]benzodioxolo[5,6-c]-1,3-dioxolo[4,5-i]fenantridina
- Alcaloides tipo narceína.[25]​ Bicuculinina, Peshawarina, narceína.
- Alcaloides ftalidoisoquinolínicos: α-Hidrastina.
- Alcaloides fenetilisoquinolínicos
- Alcaloides homoaporfínicos Tienen como esqueleto base a la benzo[6,7]ciclohept[1,2,3-ij]isoquinolina, p. ejem. kreysigina
Benzo[6,7]ciclohept[1,2,3-ij]isoquinolina
- Alcaloides tipo colchicina: Son aminas de derivados de benzo[a]heptaleno, tales como la colchicina, O-Metilandrocimbina, autumnalina, alcaloide AM 3, colchicilina, colchifolina, cornigerina, lumicolchicinas, demecolcinona, especiosina.
- Alcaloides tipo homoeritrina: El homoeritrinano es un heterociclo con estructura base de [4,5-h]indolo[7a,1-a][2]benzazepina. Ejemplos de estos alcaloides son schelhammeridina, erimelantina, erisopinoforina, cefalofortuneína, comosina, comosivina, dishomeritrina, fortuneína, holidina, homoerisotina, isofelibilidina, lucidinina, felibilina.
[4,5-h]indolo[7a,1-a][2]benzazepina
- Dibenzocicloheptilaminas: Estos alcaloides han sido encontrados en plantas del género Colchicum y Androcymbium. Por ejemplo la jerusalemina, la salimina, el alcaloide K4 y la colchibifenilina.
- Alcaloides eritrinánicos β-Erytroidina, Erisotramidina. La cefalotaxina presenta una estructura 4H-ciclopenta[a][1,3]dioxolo[4,5-h]pirrolo[2,1-b][3]benzazepina. La harringtonina y la isoharringtonina.
Eritrinano
  • Alcaloides tipo aaptamina: La aaptamina y sus congéneres naturales son alcaloides marinos que contienen anillos de 4H-benzo[de][1,6]-naftiridina. Todas las aaptaminas han sido aisladas de Demospongiae (Porifera). Se podrían clasificar estos alcaloides en los siguientes grupos:
- Derivados de la aaptamina: por ejemplo la aaptamina y la isoaaptamina
- 1a,3,9-triazapirenos
- 8H-5,8-diazabenzo[cd]azulenos: Por ejemplo aaptosina y aaptosamina.
- Dímeros tipo dihouidina
-Alcaloides tipo lamelarina: Las lamelarinas son una familia de alcaloides pirrolo[2,1-a]isoquinolínicos relacionados con las ningalinas, estorniamidas y lukianoles. Biosintéticamente son alcaloides bencilisoquinolínicos condensados con un fenilpropanoide. Se han aislado más de 30 compuestos relacionados y derivados de las diversas lamelarinas. Las lamelarinas A-D fueron aisladas por Andersen en 1985,[26]
-Alcaloides espiguetidínicos: Espiguetidina, dragabina.
Existen diversos oligómeros de isoquinolinas tales como la repandulina, auroramina (p. ejem. la pennsylpavina y la baluchistanamina) y otros alcaloides como la epiberbivaldina y la cancentrina.
Cancentrina
Cancentrina
Auroramina
Auroramina
Repandulina
Repandulina
Cancentrina Auroramina Repandulina
  • Alcaloides de Isopyrum: Son éteres de una THIQ y una aporfina, por ejemplo la Isopirutaldina, isopitaldina e isotalmidina, talifina e isotalifina.
- Alcaloides secobisbencilisoquinolínicos: Son aquellos en los cuales una de las unidades de bencilisoquinolina se rompe entre el carbono C-1 y el átomo de carbono α. Se pueden formar así lactamas de aldehídos (como la Punjabina), ésters lactámicos (gilgitina, talcamina) o aminoaldehídos (Jhelumina, chenabina). La karakoramina carece del fragmento de la lactama, pero posee una función hidroximetilo en el carbono C'-aromático.
Karakoramina Punjabina Jhelimina
  • Dímeros aporfinoides, tales como la talifaberina, coyhaiquina y hernandalina. Roemeridina y Ourabaína.
  • Alcaloides tipo emetina: Estos alcaloides forman una unidad de tetrahidroisoquinolina a partir de un aldehído iridoide.El precursor de estos alcaloides es el ipecósido[27] La emetina es el alcaloide típico de este grupo.
Alcaloides fenantroindolizidínicos y fenantroquinolizidínicos
- Alcaloides fenantroindolizidínicos y fenantroquinolizidínicos: Tiloforina, Criptopleurina.
Alcaloides norbeladínicos y mesembrenoides

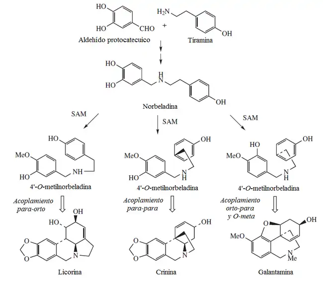
La familia Amaryllidaceae produce un grupo de alcaloides cuyo precursor es la norbeladina, una amina formada por la reducción de la base de Schiff formada entre el aldehído protocatecuico y la tiramina. La norbeladina puede acoplar por radicales libres los dos anillos aromáticos que presenta. Así, pueden formarse distintas estructuras de acuerdo al patrón de acoplamiento de los anillos.[28]​ Norbeladina, criptostilina I, cherilina, y nivalidina, galantamina, hemantidina, tazetina, y pancracina. Montanina. Licorina, Licorenina. Narciclasina. Principalmente se tienen los esqueletos tipo:

a) Licorina
b) Crinina
c) Galantamina

Los Alcaloides mesembrenoides son derivados de dos unidades de fenilalanina con pérdida de una de las cadenas laterales de etanamina, los cuuales proceden de un intermediario tipo lobeladínico. Este grupo de aproximadamente 20 alcaloides tiene tres tipos estructurales:

a) Tipo mesembrina: Tienen el esqueleto base de 3a-feniloctahidro-1H-indol.Mesembrina, mesembrol, crinafolidina.
b) Tipo joubertiamina: Se forman por la ruptura del anillo de indol, formando así una amina lineal.
c) Tipo tortuosamina: La amina formada en los alcaloides tipo joubertamina vuelve a ciclar para formar una estructura tipo 6-fenil-5,6,7,8-tetrahidroquinolina.
Alcaloides dibenzoquinolizínicos y dibenzoindolizínicos

Constituye una pequeña familia de alcaloides que constan de un residuo aromático proveniente de un derivado de un arilpropano y un ciclo condensado, formado probablemente como las cilindrinas. Han sido aisladas de las plantas menispermáceas Cocculus hirsutus[29][30][31]

Cohirsina Cohirsitinina
Citocalasinas y pseurotinas

Las citocalasinas son alcaloides policétidos que consisten en una amida del extremo carboxílico del policétido con el grupo amino de la fenilalanina. Posteriormente este sistema condensa para formar una pirrolona y posteriormente se presenta una reacción de Diels Alder intramolecular.

Las pseurotinas son alcaloides policétidos espirofuropirrólicos producidos por un policétido precursor que forma una amida con la fenilalanina. Posteriormente se forma la heterociclización del pirrol y al final la espirolactama con oxidaciones posteriores. Las cefalimisinas son alcaloides con biosíntesis relacionada con las pseurotinas.

Alcaloides de la ciclo-DOPA

La dihidroxifenialanina (DOPA) puede formar el 2,3-dihidroindol denominado cicloDOPA. Este compuesto puede formar índoles intermedios. Cuando este compuesto polimeriza, se cicla o se condensa con cisteína forma las eumelaninas y las feomelaninas.

Alcaloides de la seco-DOPA
  • Betalaínas. La base de estos pigmentos alcaloides es el ácido betalámico, el cual se forma por la escisión oxidativa de la DOPA. Cuando el ácido betalámico forma iminas con el nitrógeno de los aminoácidos, se forman las betalaínas. Se clasifican en dos tipos: las betacianinas, que son sales de iminio de la cicloDOPA, y las betaxantinas, que son iminas con aminoácidos o aminas biógenas. Estos metabolitos secundarios de las plantas nitrogenados actúan como pigmentos rojos y amarillos. Están presentes solamente en el taxón Caryophyllales excepto Caryophyllaceae y Molluginaceae (Clement et al. 1994[32]​). En contraste, la mayoría de las demás plantas poseen pigmentos que son antocianinas (que pertenecen al grupo de los flavonoides). Las betalaínas y las antocianinas son mutuamente excluyentes, por lo que cuando se encuentran betalaínas en una planta, estarán ausentes las antocianinas, y viceversa. Algunos hongos también presentan estos compuestos, llamados muscaaurinas. Cuando en lugar de formar un heterociclo de seis miembros (como el caso del ácido betalámico) se forma uno de siete, se denomina muscaflavina, y las iminas se denominan higroaurinas.[33]

Alcaloides derivados del antranilato

El ácido antranílico se forma por eliminación concertada con una adición de un nitrógeno de la glutamina del ácido corísmico. Este compuesto es el precursor de múltiples metabolitos secundarios, los cuales pueden ser clasificados en las siguientes categorías:

  • a) Protoalcaloides del antranilato.
  • b) Alcaloides fenazínicos
  • c) Policétidos mixtos con ácido antranílico
  • d) Alcaloides quinazolínicos
  • e) Alcaloides indólicos
  • f) Alcaloides β-carbolínicos
  • g) Alcaloides del ergot
  • h) Anhidropéptidos del triptófano
  • i) Dímeros del triptófano
  • j) Derivados de la quinurenina
  • k) Alcaloides quetoglobosánicos
Metabolitos del antranilato
Protoalcaloides del antranilato
  • Protoalcaloides del ácido antranílico: Damascenina
  • Dímeros del ácido antranílico: Bleniona, lilacinona
  • 2H-Benzo[c]pirano[2,3-h]cinolinas: Necatorina
Alcaloides fenazínicos
  • Alcaloides fenazínicos: piocianina, aeruginosinas, esmeraldinas.

La piocianina es un alcaloide fenazínico que constituye una de las muchas toxinas producidas y secretadas por la bacteria Gram negativa Pseudomonas aeruginosa. La piocianina es un metabolito secundario de coloración azul con la capacidad de oxidar y reducir otras moléculas y, por lo tanto, puede matar a los microbios que compiten contra P. aeruginosa así como a las células de los pulmones de los mamíferos a los cuales P. aeruginosa ha infectado durante la fibrosis quística. El ácido corísmico es el precursor de la piocianina, en la que se forma un intermediario aminado que al ensamblarse con dos unidades tautoméricas distintas, genera el ácido fenazino-1-carboxílico. Este compuesto es precursor de otras fenazinas.[34]

  • Alcaloides 1,4-benzoxazin-3-ónicos: DIMBOA
Policétidos mixtos con ácido antranílico
  • Quinolonas y furo[2,3-b]quinolinas: equinopsina, dictamnina, platidesmina, flindersina, eskimianina, cusparina
  • Alcaloides acridínicos: xantevodina, 4-hidroxi-2-quinolona, melicopicina, acronicina, rutacridona.Acrimarina.
  • Alcaloides quindolínicos: Criptolepina 10H-Indolo[3,2-b]quinolina (Quindolina), criptospirolepina, criptolepinas, isocriptolepina, neocriptolepina, hidroxicriptolepina, criptoheptina, biscriptolepina, criptomisrina y criptoquindolina.
  • Alcaloides carbazólicos: murrayafolinas, mukonina, koenolina, 3-metilcarbazol, clausinas, 1-hidroxi-3-metilcarbazol, ácido mukoeico, glicozolina, girinimbinol, furostifolina, clauszolinas, mahanimbinol, murrastifolinas, carbazomicina, koeniginaquinonas, Carbazomadurinas
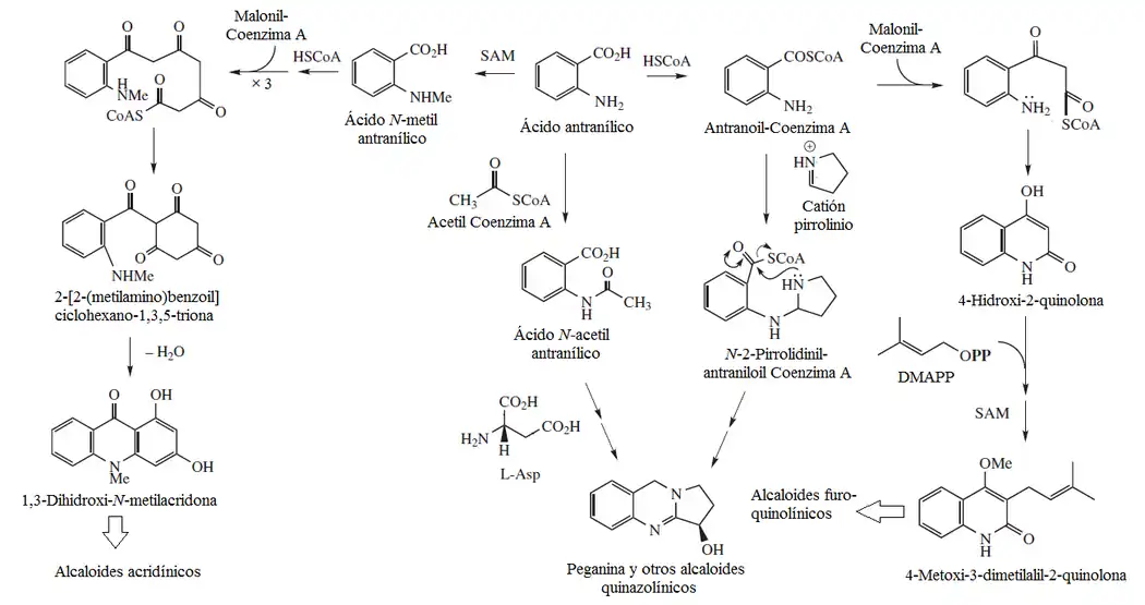
Alcaloides quinazolínicos
  • Alcaloides quinazolínicos y pirrolo[2,1-b]quinazolinas: Vasicina, luotonina, febrifuguina, triptoquivalina.Macrorina.
Alcaloides indólicos
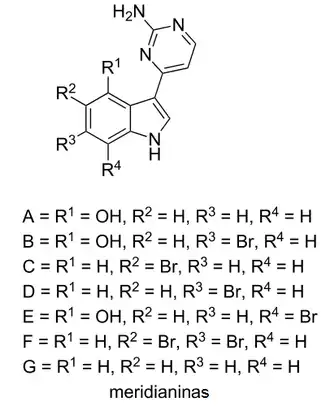
  • Alcaloides pirimidilindólicos: Meridianinas, psamopeminas, isomeridianinas
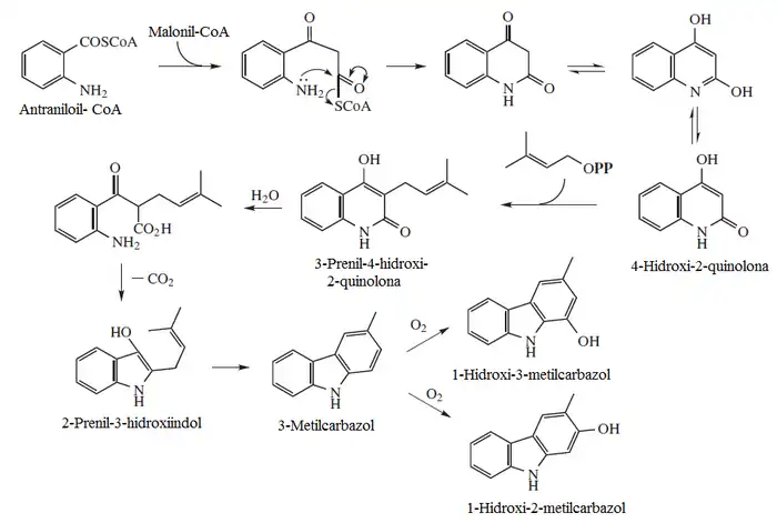
  • Alcaloides pirroloindólicos: Se forman por heterociclización de la triptamina para formar 1,8-dihidropirrolo[2,3-b]índoles tales como la Quimonantina, fisostigmina, flustraminas.
1,8-dihidropirrolo[2,3-b]indol
  • Necataronas
Necatarona
Alcaloides β-carbolínicos
  • β-carbolínas simples: Se forman por condensación con formaldehído, piruvato, acetaldehído, etc.

β--Carbolina, Harmano, eleagnina, harmina, harmalina, Pseudofrinaminas A, 5-Bromo-6-hidroxi-β-carbolina, pseudofrinaminol, perlolirina, borrerina, eudistominas, cantin-6-ona, infractinas, flazina, cantinonas.

  • Picrasidinas: Bis-β-carbolinas producidas por condensación de triptamina con adipaldehído.
  • Eudistominas: Grupo de alcaloides que condensan con cisteína aislados de tunicados:
  • Carbolinas fusionadas con antranilato: Evodiamina
β-Carbolina Harmina Eudistomina C Evodiamina
  • Alcaloides pirrolo[4,3,2-de]quinolínicos: Indoloquinonas con ciclización intramolecular de un enlace imino que forman estructuras de pirrolo[4,3,2-de]quinolina. Ejemplos: Makaluvaminas y micearrubinas.[36]​ Las sanguinonas tienen otros 2 anillos fusionados, al igual que las hetatopodinas
Pirrolo[4,3,2-de]quinolina,

estructura base de las makaluvaminas

Sanguinona A Hematopodina
Infractopicrina:
  • Alcaloides indólicos de Nitraria: Se forman por la condensación de un anillo hidrolizado de piperideina proveniente de la lisina (Alcaloides β-carbolinmonopiperideínicos) o con dos unidades de piperideina (Alcaloides β-carbolindipiperideínicos). Ejemplos de estos alcaloides son la nazlinina, schobericina, komaroidina, las komavinas, nitrarina, nitramidina, nitraricina, nitrarizina, tangutorina, nitraraína, komarovina, komarovicina, komaroína, komarovidina, isokomarovina, nitramarina
  • Alcaloides tipo camptotecina: Presentan anillos de (1H,4H,12H)-pirano[3',4':6,7]indolizino[1,2-b]quinolina como la Rubescina, camptotecina.
(1H,4H,12H)-pirano[3',4':6,7]indolizino[1,2-b]quinolina
  • Alcaloides indoloquinolizidínicos: Angustina, Deplancheína
Angustina
Alcaloide tipo Corynanthe: Geissosquizina, sitsirikina, Ocrolifuaninas, Usambarinas
Geissosquizina Ocrolifuanina A
  • Alcaloides tipo Ajmalicina: Ajmalicina, oxayohimbano, corinanteína
Corinano Oxayohimbano Ajmalicina
  • Alcaloides oxindólicos: Rincofilina, Formosanina
  • Alcaloides tipo Akuammilina: Akuammilina, equitamina, eripina, aspidodasicarpina, alstofilina, narelina,
Akuamilano Macrolina
  • Alcaloides tipo sarpagina: Sarpagina, vobasina, gardneramina, ervatamina, ervitsina y koumina.Ervatamina, tabernaemontanina
Sarpagano Akuamidina Ervatamina
  • Alcaloides tipo pleiocarpamina: Pleiocarpamina
  • Alcaloides tipo cincona: Este grupo de alcaloides incluye el antimalárico quinina, y contienen un anillo de quinuclidina. Este grupo se clasifica en dos grupos:

Quinina, cinconamina (a) el grupo de la cinconamina, derivado de un precursor tipo corinantina por fisión de N-4 al enlace C-5, y por unión de N-4 a C-17, (b) el grupo de la quinina, el cual contiene un anillo de quinolina generado por la fusión de los enlaces 2,7 seguido de una fusión de N-1 a C-5 del cinconaminal.

Cinconamina Quinina
  • Alcaloides tipo estricnina: Se forman a partir de la akuammicina y sufren una posterior condensación aldólica con una unidad de acetil coenzima A. Algunos ejemplos son la Estricnidina, prekuamicina, brucina, estemadenina, estricnina.
  • Alcaloides condilofolánicos: Condilocarpina, goniomina
  • Alcaloides tipo goniomina: Goniomina
  • Alcaloides secodínicos: Secodina y andranginina.
  • Alcaloides ibogamínicos: Consiste en una serie de alcaloides que provienen de la fisión de la prekuamicina, en donde se forma la estemadenina y por reacción de Dielsa-Alder se forma un nuevo anillo de ibogamina.

Ejemplos de estos alcaloides son la Catarantina, coronaridina, tabernoxidina.

Ibogamina
  • Alcaloides aspidospermidínicos:[37]​ El esqueleto de los alcaloides aspidospermidínicos se forma por ciclización de la deshidrosecodina, obtenida de un precursor de deshidrosecodina.P. ejemplo la eburenina.

Los alcaloides de este grupo incluyen las siguientes variantes estructurales:

(a) alcaloides anilinoacrílicos, tales como la tabersonina, el cual contiene el grupo metoxicarbonilo en el carbono 16. Los dos sustituyentes de carbono en la posición 20 pueden ser un simple grupo etilo, o pueden estar funcionalizados.
Tabersonina

(b) alcaloides que carecen del grupo metoxicarbonilo del carbono 16, como en la aspidospermina. C-18 y C-19 pueden ser un grupo etilo o C-18, el cual puede estar funcionalizado.

(c) alcaloides que contienen un puente éter o lactona entre C-18 y C-21; (d) alcaloides que contienen un puente éter o lactona entre C-18 y C-15; (e) alcaloides que contienen un puente lactona entre C-18 y C-17, y un anillo de dihidro-1,4-oxazina entre N-1 y C-12, como en la obscurinervidina:

Obscurinervidina

(f) alcaloides que contienen un enlace adicional entre C-18 y C-2, como en la venalstonina;

Venalstonina

(g) alcaloides que contienen un enlace adicional entre C-19 y C-2, como en la vindolinina;

Vindolinina

(h) el grupo de la quebrachamina, la cual es derivada de la fisión del enlace 7,21. Estos alcaloides pueden haber perdido el grupo metoxicarbonilo del C-16 como en la quebrachamina o puede conservarse, como en la vincadina. Ejemplos de estos alcaloides son kopsiyunaninas.

(+)-Quebrachamina Vincadina

(i) Dímeros tales como la vinblastina, la vinorebina y la vincristina. (V. Alcaloides de la vinca) (j) alcaloides diversos formados por una gran variedad de procesos, p. ejem. aspidodispermina, banucina, vincatina, razinilama, tricofilina, meloscina, melonina, goniomitina

  • Alcaloides kopsánicos: Kopsina, Fruticosina
  • Alcaloides tipo lapidilectina y lundurina.
Lapidilectina B Lundurina B
  • Alcaloides tipo pandolina: Pandolina, Cleavamina, Pandina, Iboxifilina, Ibofilidina
  • Alcaloides piridocarbazólicos: Estos alcaloides se forman por la escisión de la estemadenina y por ciclización sobre el anillo de indol. Ejemplos de estos compuestos son la Olivacina, Elipticina, guatambuina, janetina
  • Alcaloides tipo uleína-dasicarpidano: Ngouniensina, vallesamina, uleína
  • Alcaloides de Eburna: Eburnamina, cuanzina, Equizozigina, Andrangina y Vallesamidina

El esqueleto de estos alcaloides se generan por transposición del sistema de aspidospermidina, por migración del carbono 21 desde el carbono 7 al carbono 2, fisión del enlace 2,16 y por unión de C-16 a N-1. Estos alcaloides se pueden clasificar en: (a) Vincamina y sus derivados, los cuales retienen el grupo metoxicarbonilo; (b) los alcaloides como la eburnamina y la eburnamenina, el cual tiene una pérdida del grupo éster en C-22; (c) algunos derivados en donde C-18 o C-19 son oxidados como la cuanzina; (d) El grupo de la esquizozigina, el cual contiene un enlace adicional entre C-2 y C-18; (e) Alcaloides relacionados andrangina y vallesamidina, en donde C-21 ha migrado a C-2.

Eburnamenina
  • Alcaloides tipo manzamina
Alcaloides del ergot y otros indolterpénicos
  • Alcaloides ergolínicos: Chanoclavinas, elimoclavina, ácido ciclopiazónico, ergocristina, ergometrina, ergoclavina, ácido clavicipítico, ácido lisérgico, ergina, agroclavina, ácido paspálico, elimoclavina, ergocornina.
  • Alcaloides tipo Lolitrem: Lolitrem
Lolitrem B
Lolitrem B
  • Ácido nodulispórico
  • Lolicinas
  • Alcaloides indolo[2,3-a]carbazólicos:
  • Hapalindoles: Índoles prenilados aislados de Cyanophyta.
Hapalindol A
Aristotelina
  • Alcaloides de Borreria: Borrecapina, borrelina, borreverina.
Borrecapina
  • Alcaloides tipo notoamina
Dímeros del triptófano
Estaurosporina
  • Alcaloides tipo Caulerpa: Caulerpina
  • Alcaloides indoloflavonoides: Lotthanongina
  • Alcaloides tipo arciriaflavina y estaurosporina
  • Peroforamidinas
  • Asterriquinonas
Alcaloides derivados de la quinurenina

Quinurenina, Ácido xanturénico, ácido quinurénico, Orellanina

  • Alcaloides fenoxazínicos: Cinabarina, ácido cinabarínico, tramesanguina, polistictina, fenoxazona, α-aminofenoxazona. Son alcaloides típicos del hongo Pycnoporus.
  • Alcaloides tipo dercitina y ciclodercitina. Kuanoniaminas.
Anhidropéptidos del triptófano
  • Anhidropéptidos del triptófano, espirodesminas, imidazoloides y almazolonas:espirodesminas, almazolonas, equinulina, brevianamidas, roquefortina, verruculógeno, oxalina, indolactamas, esporidesminas, aranotina, hamacantinas, espongotinas, topsentinas, hirtadina, tardioxopiperazinas.
  • Alcaloides indolil morfolínicos: oxazininas..
  • Alcaloides tipo 4-fenil-[2,7]-naftiridina: Algunos ejemplos son las lofocladinas.
Alcaloides quetoglobosánicos
  • Quetoglobosanos y esqueletos relacionados: Alcaloides policétidos con una unidad de triptófano esterificada y modificada por una cicloadición de Diels-Alder. Incluye a las quetoglobosinas, proquetoglobosinas, isoquetoglobosinas, penocalasinas y citoglobosinas.
  • Alanditripinona, Alantrifenona, Alantripineno, Alantrileunona

Alcaloides derivados de la histidina

  • Alcaloides imidazólicos
- Alcaloides derivados de la histidina: Histamina, ácido urocánico, murexina, diftamida, ergotionina
- Alcaloides del Jaborandi: Por ejemplo la pilocarpina, dolicotelina y pilosina
  • Alcaloides clatrodínicos
- Amidas tipo clatrodina
- 6,8-dihidropirimido[4,5-c]pirrolo[3,2-e]azepinas: Latonduinas
- Alcaloides tipo agelaspongina y fakelina
- Alcaloides tipo agelastatina
- Dímeros de clatrodinas:
(a) Alcaloides tipo agelamida
(b) Alcaloides tipo ageliferina
(c) Alcaloides tipo esceptrina
(d) Alcaloides tipo estilisazol
(e) Policiclos de la macrofakelina:: Por ejemplo la palauamina, la masadina, axinelamina y la estiloguanidina.

Alcaloides derivados de los aminoácidos ramificados

  • Pirroles: Ácido tenuazónico
  • Pirazinas: Ácido aspergílico, flavacol, ácido pulcherímico, ácido neoaspergílico
Biosíntesis propuesta para el ácido pulcherrímico
  • Sarcodoninas

Genalcaloides

Los genalcaloides —u óxidos aminados de alcaloide— son derivados por oxidación de los alcaloides que contienen el grupo R=(NO)-R, donde el nitrógeno tiene valencia V, en contraposición a los alcaloides normales, donde es trivalente (R=N-R). Su acción es la misma que la del alcaloide del cual provienen, pero es más pausada. Se nombran añadiendo el prefijo gen- al nombre del alcaloide.

Algunos genoalcaloides se encuentran en la naturaleza, como la geneserina (derivado del alcaloide eserina (fisostigmina)) presente en el haba de Calabar, así como las sarcoviolinas y sarcodoninas.

Pseudoalcaloides

Los pseudoalcaloides son metabolitos secundarios que poseen un átomo de nitrógeno incorporado como amoniaco a una biomolécula tal como un terpeno, un policétido, un ácido graso o un derivado del ácido shikímico.

Quimiotaxonomía

Se han encontrado alcaloides en gimnospermas como Cycas, Pinus, Ephedra y Podocarpus. Se han aislado alcaloides de muchos sistemas vivos distintos a las plantas, como Bacterias, cnidarios, esponjas, hongos verdaderos, vertebrados y artrópodos.

Alcaloides de bacterias y arqueas

Phylum Proteobacterias
Clase Orden Familias Ejemplos
Beta Proteobacteria Neisseriales Familia Neisseriaceae:
Violaceína
Burkholderiales Familia Oxalobacteraceae:

Familia Burkholderiaceae:

Toxoflavina

Gamma Proteobacteria Pseudomonadales Familia Pseudomonadaceae:
Piocianina
Enterobacteriales Familia Enterobacteriaceae: Trispirroles tipo Prodigiosinas (Serratia)
Prodigiosina
Delta Proteobacteria Myxococcales Familia Polyangiaceae:
  • Chivosazoles y epotilonas (Sorangium)

Epotilonas A (R = H) y B (R = CH3)

Phylum Cyanobacteria
Clase Orden Familias Ejemplos
Cyanophyceae Nostocales Familia Nostocaceae:
  • Alcaloides tropánicos con acetilo lateral (Anatoxinas; Anabaena, Aphanizomenon)
  • Alcaloides triazaacenaftilénicos (cilindrosperminas; Cylindrospermopsis, Aphanizomenon)

Anatoxina A

Oscillatoriales Familia Noctuoidea:
  • Saxitoxinas (Lyngbya)
  • Tiazoles policétidos (Curacinas, kalkitoxina; Lyngbya)
  • Lingbiatoxinas (Lyngbya).

Familia Phormidiaceae:

  • Alcaloides tropánicos con acetilo lateral (Anatoxinas; Planktothrix)

Saxitoxina

Stigonematales Familia Mastigocladaceae:
  • Alcaloides indólicos prenilados tetracíclicos con presencia de isocianuros (Hapalindoles; Hapalosiphon)

Hapalindol A

Phylum Actinobacteria
Clase Orden Familias Ejemplos
Actinomycetota Actinomycetales Familia Pseudonocardiaceae:
  • Policétidos tipo ansacarbamitocina (Amycolatopsis)
  • Amicolamicina (Amycolatopsis)
  • Kibdelomicina (Kibdelosporangium)

Familia Actinomycetaceae:

Familia Streptomycetaceae: Se han aislado diversos alcaloides antibióticos de varias especies de Streptomyces, tales como:

De Streptoverticillium se han aislado las olivoretinas.

Familia Micromonosporaceae:

  • Alcaloides pirrolo-ß-lactónicos (Salinosporaminas; Salinospora)
  • Dinemicinas (Micromonospora).

Familia Nocardiaceae:

Familia Actinoplanaceae:

  • Alcaloides indólicos simples (Indolmicina, Chuangxinmicina; Actinoplanes)

Yatakemycina

Mitomicina A

Duocarmicina A

Estaurosporina

Olivoretina E

Alcaloides aislados de algas y protozoarios

Phylum Dinoflagellata
Clase Orden Familias Ejemplos
Dinophyceae Suessiales Familia Symbiodiniaceae

Simbioimina

Phylum Rhodophyta
Clase Orden Familias Ejemplos
Florideophyceae Ceramiales Familia Rhodomelaceae:
  • Pirroles como el Ácido kaínico (Alsidium)
  • Bromoindoles (Laurencia)
  • Alcaloides pirroloimidazólicos (Colensólidos; Osmundaria)

Familia Delesseriaceae:

  • Oxazoles (Almazolona; Haraldiophyllum)

Almalozona

Rhodophyceae Ceramiales Familia Delesseriaceae:
  • Alcaloides indólicos (Fragilamida, martensinas; martefraginas, denticinas; Martensia)

Familia Rhodomelaceae:

  • Alcaloides 2,7-naftiridínicos (Lofocladinas; Lophocladia)

Lofocladina A

Phylum Chlorophyta
Clase Orden Familias Ejemplos
Bryopsidophyceae Bryopsidales Familia Caulerpaceae:
  • Dímeros del triptófano (Caulerpina, caulersina; Caulerpa)

Ácido caulerpínico (caulerpina)

Ulvophyceae Cladophorales Familia Cladophoraceae:

Alcaloides aislados de hongos

Phylum Mycetozoa
Clase Orden Familias Ejemplos
Myxogastria Trichiida Familia Arcyriaceae:
  • Dímeros del triptófano (Arciricianinas, arciriaflavinas, arciroxocinas; Arcyria)

Arciriaflavina A

Liceida Familia Reticulariaceae:
  • Dímeros del triptófano (Arciricianinas, arciriaflavinas; Tubifera, Lycogala)
Physarales Familia Physaraceae:
  • Cinamamidas del triptófano (Fuligo)
  • Amidas policétidas con ácido antranílico como unidad de iniciación (Fisariginas; Physarum)
  • Maleimidas policétidas (Policefalinas, ácido fisorubínico; Physarum)

Family Didymiaceae:

  • Alcaloides indoloquinólicos (Makaluvaminas; Didymium)
Phylum Ascomycota
Clase Orden Familias Ejemplos
Saccharomycetes Saccharomycetales Familia Saccharomycetaceae:
  • Alcaloides indoloquinazolínicos (Kingdainona, triptantrina; Candida)
  • Alcaloides pirazínicos (Ácido pulcherrímico, Candida)
Incerta sedis Incerta sedis Familia Pseudeurotiaceae:
  • Espirofuropirrolonas (Pseurotinas; Pseudeurotium)
Dothideomycetes Pleosporales Familia Pleosporaceae:
  • Alcaloides quinazolínicos (Crisogina; Alternaria)
  • Alcaloides pirazopirroloindólicos (Esporidesminas; Alternaria)

Familia Corynesporascaceae

  • Pseudoalcaloides policétidos benzo[g]isoquinolínicos (Escorpinona; Corynespora)

Familia Incerta sedis

  • Pseudoalcaloides policétidos benzo[g]quinolínicos (Fomazarina, isofomazarina; Pyrenochaeta; Phoma)
Sordariomycetes Hypocreales Familia Clavicipitaceae:
  • Alcaloides prenilindólicos: alcaloides tipo ergolina (Ergometrina, ácido lisérgico; Claviceps), tipo lolitrem (Neotyphodium).
  • Alcaloides epoxipirrolizidínicos (Lolinas, Epichloë).
  • Alcaloides pirrolopirazínicos (Peramina, Neotyphidium)
  • Pseudoalcaloides piridínicos (Tenelina; Beauveria).

Familia Ophiocordycipitaceae:

  • Pseudoalcaloides policétidos benzoquinolínicos (Tolipocladina; Tolypocladium)

Familia Hypocreaceae

  • Alcaloides pirazinoides (Gliotoxina, gliocládrido, gliocladina; Gliocladium)
  • Pseudoalcaloides policétidos piperidínicos (Awajanomicina; Acremonium)

Lolitrem B

Lolina

Sordariales Familia Chaetomiaceae:
  • Alcaloides pirazoquinazolínicos (Fiscalinas; Corynascus)
  • Quetoglobosinas (Chaetomium)
  • Alcaloides imidazolo-α-carbolínicos (Quetomininas; Chaetomium)

Quetoglobosina A

Xylariales Familia Xylariaceae:

Citocalasina A

Magnaporthales Familia Magnaportaceae:
  • Alcaloides pirrolónicos (Ácido nortenuazónico; Pyricularia)
Eurotiomycetes Chaetothyriales Familia Herpotrichiellaceae:
  • Alcaloides indolilcarbazólicos (Pitiriazol; Malassezia)
  • Alcaloides indolocarbazólicos (Malasseziazoles; Malassezia)
Eurotiales Familia Trichocomaceae:
  • Anhidropéptidos pirazinoides y sus derivados (Gliotoxina, ácido aspergílico, triprostatinas, azonazina, flavacol, micelianamida, nigerazinas, nigragillina, bilaínas; Aspergillus, Penicillium)
  • Alcaloides quinazolínicos (Triptoquivalinas; notoamidas, estefacidinas, ardeemina, asperlicinas, aurantina, aurantiomidas, benzomalvinas, espiroquinazolina, fumiquinazolinas, cotoquinazolina, trihistatina, quinadolinas; Aspergillus, Penicillium)
  • Pseudoalcaloides policétidos tipo talarotoxina (Talaromyces)
  • Alcaloides α-carbolínicos (Meleagrinas; Penicillium)
  • Alcaloides pirroloindólicos (Roquefortinas, 'Penicillium)
  • Alcaloides sesquiterpénicos con un residuo de piridina (Piripiropeno; Aspergillus)
  • Maleimidas (Pencólido; Penicillium)
  • Alcaloides prenilindólicos con un sistema succinimídico (Ácido ciclopiazónico; Penicillium)
  • Alcaloides policíclicos indoloterpénicos (β-aflatrem; aflavinina, paspalinina, paspalina, aflavazol, penitrem, jantitrem, shearininas; Aspergillus, Penicillium)
  • Indolilterpenos (Emeniveol, tiersindoles; Emericella, Penicillium)
  • Pirrolonas (Variotina; Paecilomyces)
  • Alcaloides 4-fenilquinolínicos Viridicatina; Penicillium)
  • Alcaloides benzodiazepínicos (Ciclopenina; Penicillium)
  • Penicilinas (Penicillium)
  • Alcaloides tipo comunensinas (Penicillium)
  • Alcaloides tipo pseurotina (Aspergillus)
Alcaloides bisindolilquinónicos (Asterriquinonas; Aspergillus)
  • Pseudoalcaloides esteroidales isoindólicos (Ergosterimida; Aspergillus)

Familia Nectriaceae:

  • Alcaloides pirrolidínicos y ácidos tetrámicos (Nectrisina; Nectria, Rigidiusculamidas; Albonectria)
  • Alcaloides piridínicos (Ácido fusárico; Fusarium)
  • Pirroles formados por la condensación de policétidos con serina (Equisetina; Fusarium)
  • Pseudoalcaloides policétidos benzo[g]isoquinolínicos (Bostricoidina; Fusarium)
  • Morfolinas (Lateritina; Fusarium)

Familia Elaphomycetaceae:

  • Pseudoalcaloides policétidos isoquinolínicos (Monascorubramina, rubropunctamina; Monascus)

Ácido aspergílico

Gliotoxina

Talarotoxina

Onygenales Familia Onygenaceae:
  • Pseudoalcaloides policétidos con un anillo de pirrol (Rumbrina, Auxarconjugatinas; Auxarthron)

Familia Gymnoascaceae:

  • Pseudoalcaloides policétidos con un anillo de pirrol (Rumbrina, Auxarconjugatinas; Gymnoascus)
  • Alcaloides pirazoindólicos (Aranotina; Arachniotus)
Arthoniomycetes Arthoniales Familia Roccellaceae:
  • Alcaloides fenoxazínicos (Orceínas; Roccella)

α-Aminoorceína

Phylum Basidiomycota
Clase Orden Familias Ejemplos
Agaricomycetes Cantharellales Familia Ceratobasidiaceae:
  • Indolizinas sin cadenas laterales (Eslaframina; Rhizoctonia)

Eslaframina

Phallales Familia Phallaceae:
Russulales Familia Russulaceae:

Family Hericiaceae:

  • Pseudoalcaloides geranilpolicétidos isoindólicos (Hericinina; Hericium)

Necatorina

Agaricales Familia Cortinariaceae:

Familia Tricholomataceae:

  • Índoles derivados del lascivol (Tricholoma)
  • Pseudoalcaloides policétidos isoindólicos (Clitocibinas; Clitocybe)
  • Isoxazolonas (Ácido tricolómico; Tricholoma)

Familia Agaricaceae:

Familia Hymenogasteraceae:

Familia Amanitaceae:

Familia Hygrophoraceae:

  • Pigmentos azepínicos (Higroaurinas, muscaflavina; Hygrocybe)

Infractopicrina

Muscimol (Panterina)

Psilocibina

Boletales Familia Boletaceae:
  • Pseudoalcaloides azepínicos de origen policétido (Chalciporina; Chalciporus)
  • ß-Carbolinlactonas (Curtisinas; Boletus)
  • Amidas poliénicas (Boletocrocinas; Boletus)
  • Ácidos bencilidentetrámicos (Paquidermina; Chamonixia)

Familia Suillaceae:

  • ß-Carbolinas derivadas del 6-hidroximetilfurfural (Flazina; Suillus)

Familia Mycenaceae:

  • Alcaloides pirroloquinolínicos (Micenarubinas, sanguinonas, hematopodinas; Mycena)

Sanguinona A

Hematopodina

Paquidermina

Polyporales Familia Meripilaceae:

Familia Fomitopsidaceae:

  • Alcaloide imidazólicos poliénicos (Crisofisarina; Piptoporus)

Familia Polyporaceae:

  • Alcaloides fenoxazínicos (Ácido cinabarínico, picnoporina, cinabarina, tramesanguina; Pycnoporus)
  • Alcaloides piridínicos (Trigonelina, homarina; Polyporus)

Ácido cinabarínico

Thelephorales Familia Bankeraceae:
  • Óxidos de pirazinobenzodioxazinas (Sarcodoninas, sarcoviolinas; Sarcodon)

Alcaloides aislados de plantas

Los alcaloides están ampliamente distribuidos en el reino vegetal (25 % de las plantas contienen alcaloides) y en algunas especies su concentración puede alcanzar el 10 % (flores). En las familias Amaryllidaceae, Fabaceae, Liliaceae, Papaveraceae y Rutaceae los alcaloides tienen gran valor quimiotaxonómico. La familia Solanaceae es rica en alcaloides, pero con diferencias a nivel de género. Así, en el tabaco (Nicotiana) hay derivados de la piridina (nicotina), en Solanum (patata, berenjena, tomate) se encuentran pseudoalcaloides espirosolánicos (tomatina) y Datura, Hyoscyamus, Atropa y Scopolia contienen derivados del tropano: hiosciamina, atropina, etc.

Las pirrolizidinas se encuentran principalmente en las familias Compositae, Boraginaceae, Leguminosae y Apocynaceae. Los géneros productores de estos alcaloides están distribuidos en diferentes regiones y climas y podrían representar hasta el 3 % de las plantas con flores. Algunas contienen una sola clase de pirrolizidina, pero la mayoría contienen entre cinco y ocho clases. El contenido varía con cada especie, pero puede llegar a ser un porcentaje importante del peso seco. La mayor concentración se encuentra en las raíces y es mayor en hojas jóvenes, inflorescencias y capullos que en hojas más viejas. En algunas especies se encontraron altas concentraciones en semillas, lo que implica un riesgo en los casos en que estas semillas se utilicen para la alimentación humana. Existen N-óxidos de estos alcaloides, que son más solubles en agua y se transportan más fácilmente dentro de la planta.

Phylum Pteridophyta
Clase Orden Familias Ejemplos
Pteridopsida Polypodiales Familia Davalliaceae:
  • Alcaloides flavonopiperidínicos (Davaliósidos; Davallia)

Davaliósidos

Phyllum Lycopodiophyta
Clase Orden Familias Ejemplos
Lycopodiopsida Lycopodiales Familia Lycopodiaceae::

Familia Huperziaceae:

Licodina

Phyllum Pinophyta
Clase Orden Familias Ejemplo
Pinopsida Pinales Familia Pinaceae:
  • Pseudoalcaloides piperidínicos de origen policétido (Pinidina)

Familia Cephalotaxaceae:

Harringtonina.

Phyllum Gnetophyta
Clase Orden Familias Ejemplo
Gnetopsida Ephedrales Familia Ephedraceae:
  • Se han aislado aminas del tipo de las efedrinas (Ephedra); poliaminas mixtas con espermidina y tirosina (Efedrarinas; Ephedra).

Efedrina.

Plantas angiospermas:

  • Monocotyledonae (Liliopsida;Cronquist): Muchos alcaloides provenientes de monocotiledóneas tienen origen en la fenilalanina y son exclusivos de este grupo taxonómico, tales como los alcaloides fenetilisoquinolínicos y los derivados de la norbeladina.
Phyllum Magnolophyta: Clado Monocots (Clase Liliopsida; Cronquist)
Orden Familias Ejemplos
Liliales Familia Liliaceae:
  • Alcaloides flavonopirrolidínicos (Lilacina; Lilium))
  • Alcaloides pirrolidónicos (Derivados del jatrofam; Lilium)

Familia Colchicaceae:

  • Alcaloides fenetiltetrahidroisoquinolínicos y sus derivados (colchicina, androcimbina, isoandricimbina, kreysigina; Colchium, Androcymbium)
  • Alcaloides homoeritrinánicos (Schelhameridina, Schelhammera).

Familia Melanthiaceae:

Schelhameridina

Jervina

Asparagales Familia Amaryllidaceae:

Familia Asparagaceae:

Familia Xanthorrhoeaceae:

Galantamina

Arecales Familia Arecaceae:

Arecolina

Poales Familia Poaceae:
  • Alcaloides fenilestiriloxazólicos (Anulolina; Lolium)
  • Alcaloides benzoxazinoides y benzoxazólicos (Coix, Zea)
  • Pseudoalcaloides sesquiterpénicos (Telepogina; Thelepogon)

Telepogina

Pandanales Familia Stemonaceae:
  • Alcaloides azepinoindólicos (Stemona)

Tuberoestemonina

Orchidales Familia Orchidaceae:

trans-Dendrocrisanina

Alismatales Familia Zosteraceae:
  • Alcaloides flavonopirrolidínicos (Filospadina; Phyllospadix)

Familia Araceae:

  • Alcaloides alquilpirrolidínicos (Irniina; Arisarum)

Irniina

Dioscoreales Familia Dioscoreaceae:

Dioscorina

Phyllum Magnolophyta: Clado Eudicots (Clase Magnolopsida; Cronquist)
Subclase (Cronquist) Orden Familias Ejemplos
Magnoliidae Nymphaeales Familia Nymphaeaceae:
  • Pseudoalcaloides monoterpénicos tipo nufaridina (Nuphar)

Nufaridina

Piperales Familia Piperaceae:
  • 1-Acilpiperidinas y 1-acilpirrolidinas (Piperina, chabamina, braquiamidas; Piper)
  • Alcaloides dibenzo[cd,f]indólicos (Piperolactamas; Piper)

Familia Saururaceae:

  • Alcaloides dibenzo[cd,f]indólicos (Sauristolactama, Saururus)

Piperina

Aristolochiales Familia Aristolochiaceae:

Ácido aristolóquico

Laurales Familia Calycanthaceae:
  • Alcaloides dímeros de pirroloindoles (Quimonantina; Chimonanthus).

Familia Hernandiaceae:

Familia Atherospermataceae

Vanuatina

Magnoliales Familia Magnoliaceae:

Familia Annonaceae:

Familia Himantandraceae:

Familia Myristicaceae:

Eupolauridina

Espiguetidina

Oniquina

Ranunculidae (Cronquist) Ranunculales Familia Ranunculaceae:
  • Pseudoalcaloides sesquiterpénicos tipo aconitano y atisano (Aconitina; Aconitum, Delphinium, Consolida)
  • Alcaloides aporfínicos (Corituberina; Coptis)
  • Éteres aporfino-tetrahidroisoquinolínicos (Talifarapina; Thalictrum)
  • Dímeros bisbencilisoquinolínicos (Isopirutaldina, isopitaldina, isotalmidina Isopyrum)
  • Alcaloides piradizinoindazólicos (Nigeglanina, Nigellicina, Nigellidina; Nigella)
  • Alcaloides flavonodiazepínicos (Aquiledina, isoaquiledina; Aquilegia)

Familia Berberidaceae:

Familia Menispermaceae:

Aconitina

Berberina

Menisporfina

Rufescina

Papaverales Familia Papaveraceae (incluye ant. fam. Fumariaceae):

Papaverina

Morfina

Protopina

Caryophyllidae (Cronquist): Todas producen betalaínas en lugar de antocianinas. Caryophyllales Familia Cactaceae:

Familia Ancistrocladaceae:

  • Pseudoalcaloides policétidos bisnaftilisoquinolínicos (Michelamidas, ancistrocladinas, korupensaminas; Ancistrocladus)

Familia Amaranthaceae:

  • Alcaloides β-carbolínicos simples y tipo cantinona. (Aerva)
  • Alcaloides tripiperidínicos (Anabasamina; Anabasis)

Familia Polygonaceae:

  • Alcaloides piperidínicos (Fagomina, Fagopyrum)
  • Alcaloides indoloquinazolínicos (Triptantrina; Polygonum)

Anhalamina

Dileniidae (Cronquist) Cucurbitales Familia Cucurbitaceae:
  • Pirazoles (ß-Pirazol-1-ilalanina; Citrullus)

L-β-Pirazol-1-ilalanina

Ericales Familia Theaceae:

Familia Lecythidaceae:

Familia Actinidiaceae

Brassicales Familia Caricaceae

Familia Capparaceae:

  • Alcaloides macrocíclicos derivados de la espermina (Capparispina, cadabicina; Capparis)

Familia Brassicaceae:

Familia Salvadoraceae:

Lunarina

Ascorbígeno

Malvales Familia Malvaceae:
Hamamelidae Daphniphyllales Familia Daphniphyllaceae:
  • Pseudoalcaloides tipo dafnifilina, calidafninona y yuzirimina (Daphniphyllum)
Fagales Familia Fagaceae:
  • Alcaloides indolizinquinolínicos (Chesnutamida; Castanea)

Familia Casuarinaceae:

  • Alcaloides pirrolizidínicos polihidroxilados (Casuarina; Casuarina)
Rosidae (Cronquist) Malpighiales Familia Phyllanthaceae:

Familia Salicaceae:

  • Ésteres diterpénicos del ácido pirrolocarboxílico (Ryanodina; Ryania)
  • Alcaloides diazocínicos (Homalina; Homalium)

Familia Rhizophoraceae:

Securinina

Astrofilina

Gerrardina

Celastrales Familia Celastraceae
  • Ésteres y lactonas del ácido evonínico (maytolina, maytina, acantotamina, evonina, neoevonina, euonimina, hipocratinas, emarginatinas; Maytenus, Hippocratea)

Macrolactonas del ácido evonínico

Fabales Familia Fabaceae:

Ormosamina

Angustifolina

Latirina

Fisostigmina

Trigonelina

Gramodendrina

Proteales Familia Elaeagnaceae:
  • Alcaloides ß-carbolínicos simples (Eleagnina, Elaeagnus)

Familia Nelumbonaceae:

Familia Proteaceae

  • Alcaloides ariltropánicos (Knightolina, knightolamina, knightalbinol, estrobamina, chalcostrobamina, darlingina, Ferrugina; Knightia, Darlingia, Triunia) y piranotropánicos (Belendina; Bellendena)

Neferina

Chalcostrobamina

Rosales Familia Moraceae:
  • Alcaloides flavonopirrolidínicos (Ficina, isofocina; Ficus)
  • Alcaloides indolizínicos polihidroxilados (Brousonetinas; Broussonetia)
  • Alcaloides fenantroindolizínicos (Ficuseptinas, tilocrebrinas; tiloforinas)
  • Alcaloides alquilpirrolidínicos (Brousonetinas; Broussonetia, Ácidos morusímicos; Morus)

Familia Urticaceae:

  • Alcaloides fenantroquinolizínicos (Criptopleurina; Boehmeria)

Familia Crassulaceae

  • Alcaloides dialquilpiperidínicos (Sedacriptina, sederina, sedinona, homosedinonas y dihomosedinonas; Sedum)

Broussonetinina A

Criptopleurina

Sedacriptina

Cornales Familia Nyssaceae:

Familia Hydrangeaceae:

Familia Alangiaceae:

Camptotecina

Zygophyllales Familia Zygophyllaceae:
  • Alcaloides ß-carbolínicos simples (Harmina; Peganum)
  • Alcaloides pirroloquinazolínicos (Peganina; Peganum)

Harmina

Oxalidales Familia Elaeocarpaceae:

Aristotelina

Eleocarpina

Sapindales Familia Rutaceae:

Familia Meliaceae:

Familia Simaroubaceae:

Familia Nitrariaceae:

  • Alcaloides polipirrolidínicos (Nitramina, nitrabirina, nitraramina, schoberina,; Nitraria)
  • Alcaloides quinolínicos (Sibiridina; Nitraria), ß-carbolinas monopiperidínicas (Nazlinina, komaroidina, komavina; Nitraria)
  • Alcaloides quinazolínicos (Wuchuyuamidas; Eudia).

Pilocarpina

Cusparina

Dictamnina

Rutacridona

Rohitukina

Euphorbiales Familia Buxaceae:
  • Aminas esteroidales de Buxus (Buxadienina, buxacuamarina).

Familia Euphorbiaceae:

  • Alcaloides tipo cianopiridinas (Ricinina, hermidina; Ricinus, Mercurialis)
  • Azabiciclo[3.3.1]nonanos (Eufoccina; Euphorbia)
  • Alcaloides pirimidínicos (Andraccina, aspertinas; Andrachne)
  • Alcaloides flavonoindólicos (Lotanongina; Trigonostemon)
  • Alcaloides pirrolidónicos (Derivados del jatrofam; Jatropha)
  • Glutarimidas (Julocrotina y sus derivados; Julocroton, Croton)

Astrocasina

Julocrotina

Myrtales Familia Lythraceae:
  • La granada contiene alcaloides tipo pseudopeletierina y piperidínicos (Peletierina)
  • Alcaloides ciclofánicos con quinolizidinas o piperidinas (decalina, litrancina, litranidina; Lythrum)
Alcaloides piperidínicos fenilbutílicos (Soneratina A; Sonneratia)

Familia Combretaceae:

Alcaloides flavonopiperidínicos (Capitavina, buchenavianina; Buchenavia)

Familia Vochysiaceae

Alcaloides cromanopirrolidínicos (Vochisina; Vochysia)

Soneratina A

Apiales Familia Apiaceae:

Familia Vochysiaceae:

  • Alcaloides flavonopirrolidínicos (Voquisina; Vochysia)

Coniina

Asteridae (Cronquist): Solanales Familia Convolvulaceae:

Familia Solanaceae:

Cocaína

α-Solanina

Nicotina

Anaferina

Asterales Familia Asteraceae:

Familia Campanulaceae:

Lobelina

Cotuzinas

Lamiales Familia Boraginaceae:

Familia Acanthaceae:

Familia Bignoniaceae:

  • Pseudoalcaloides iridoides (Incarvilina, incarvinas, kinabalurinas, tecostanina, tecomina, boschniadina; Incarvillea, Tecoma)
  • Alcaloides pirrolobenzofuránicos (Millingtonina; Millingtonia)

Familia lamiaceae:

Estaquidrina

Gentianales Familia Loganiaceae:

Familia Gentianaceae:

  • Pseudoalcaloides piridínicos de origen iridoide (Gentiopicrósido, gentianina; Gentiana)

Familia Apocynaceae: Esta familia representa uno de los grupos más importantes en lo que a diversidad de alcaloides concierne:

Familia Rubiaceae:

Familia Gelsemiaceae:

Cafeína

Reserpina

Ibogaína

Elipticina

Conofilidina

Vinblastina

Alcaloides aislados de animales

Phylum Porifera
Clase Orden Familias Ejemplos
Demospongiae Hadromerida Familia Suberitidae:
  • Alcaloides naftiridínicos (Aaptamina y sus derivados; Aaptos)

Familia Trachycladidae

  • Imidazolilindoles (Traquicladindol; Trachycladus)

Aaptamina

Haplosclerida Familia Petrosiidae:
  • Pseudoalcaloides tipo ingenamina y alcaloides tipo manzamina (Xestospongia)
  • Azacicloalcanos conjugados con poliaminas tipo espermina (Motuporaminas; Xestospongia)
  • Pseudoalcaloides lipídicos tipo madangamina (Xestospongia).
  • Pseudoalcaloides lipídicos tipo xestospongina y petrosina (Xestonpongia, Petrosia)

Familia Callyspongiidae:

  • Pseudoalcaloides lipídicos tipo arenosclerina (Arenosclera)

Familia Chalinidae:

Familia Niphatidae:

  • Alcaloides alquilpiridínicos tipo hachijodina, pirinodemina y nifatoxina (Amphimedon, Niphates)
  • Alcaloides benzopiridofenantrolínicos (Anfimedina; Amphimedon)
  • Alcaloides tipo haliciclamina (Amphimedon)
  • Alcaloides tipo arenosclerina (Pachychalina)
  • Alcaloides tipo DBU (Niphates).
  • Alcaloides indolilimidazocabolínicos (Kapakahinas; Cribrochalina)
  • Alcaloides pirroloisoquinolínicos (Cribostatinas; Cribrochalina)

Familia Chalinidae

  • Alcaloides tipo saraína (Reniera)
  • Alcaloides tipo njaoamina (Reniera)

Ingenamina

Xestospongina A

Manzamina A

Poecilosclerida Familia Myxillidae:
  • Alcaloides ciclopentanoindólicos (Dilemaonas; Ectyonopsis)

Familia Acarnidae:

  • Alcaloides pirroloindólicos (Damironas; Damiria)

Familia Hymedesmiidae

  • Pseudoalcaloides esteroidales imidazólicos (Amaranzol; Phorbas)

Dilemaona A

Astrophorida Familia Ancorinidae:
  • Bengamidas y bengazoles (Jaspis)
  • Ácidos alquiltetrámicos (Ancorina)

Familia Coppatidae

  • Alcaloide pteridínico (Asteropterina; Asteropus)

Ancorinósido A

Agelasida Familia Agelasidae:
  • Alcaloides de la clatrodina (Clatrodinas, nagelaminas, ageliferinas, palauamina, axinelaminas, estilisadinas; Agelas)

Familia Astroscleridae:

  • Alcaloides de la clatrodina (Ageliferinas; Astrosclera)

Palauamina

Halichondrida Familia Axinellidae:
  • Alcaloides ciclopentano indólicos (Herbindol; Axinella)
  • Alcaloides tipo axinelamina (Axinella)
  • Alcaloides triazaacenaftilénicos (Ptilomicalina; Ptilocaulis)

Familia Halichondriidae:

Succininimidas (Cilindramida; Halichondria)
Alcaloide bisindolimidazólicos (Topsentinas, espongotinas; Spongosorites)
Dictyoceratida Familia Thorectidae:
  • Henoxazoles (Smenospongia)
  • Alcaloides espiroimidazoindólicos (Dictazolinas, tubastrindoles; Smenospongia)

Familia Irciniidae:

  • Alcaloides pirrólicos (irciniamina; Ircinia);
  • Pseudoalcaloides lipídicos tipo Ircinal (Ircinia)

Familia Spongiidae

  • Imidazoles conjugados con terpenos (Fascioesponginas, espongolactamas, nakijiquinonas; Spongia)
Poecilosclerida Familia Chondropsidae:
  • Alcaloides triazaacenftilénicos (Batzeladinas; Batzella)
  • Pseudoalcaloides alquilpirimidínicos de origen lipídico (Batzelásidos; Batzella)
  • Alcaloides pirroloquinolínicos (Batzelinas; Batzella).

Familia Crambeidae:

  • Alcaloides triazaacenftilénicos (Batzeladinas, Crambescidinas; Monanchora)
Choristida Familia Ancorinidae:
  • Clavosinas (Myriastra)
Dendroceratida Familia Darwinellidae:
  • Alcaloides pirimidinilindólicos (Psamopeminas; Psammopemma)
  • Morfolinas (Queloninas; Chelonaplysilla)
Lithistida Familia Theonellidae:
  • Swinhoeiamidas (Theonella)
  • Oxazoles tipo caliculina (Discodermia)
  • Alcaloides polienilpirrolidínicos (Aurantósidos; Theonella)
Verongida Familia Pseudoceratinidae:
  • Alcaloides imidazoazepínicos (Cerataminas; Pseudoceratina)
Calcárea Clathrinida Familia Clathrinidae (Naamidinas, poliandrocarpaminas, leucetamina; Leucetta)
Phylum Cnidaria
Clase Orden Familias Ejemplos
Anthozoa Alcyonacea Familia Xeniidae:
  • Pseudoalcaloides diterpénicos isoindólicos (Cespitulactamas; Cespitularia)

Cespitulactama D

Pennatulacea Familia Renillidae:

Coelenteracina

Actiniaria Familia Stichodactylidae
Scleractinia Familia Dendrophylliidae:
  • Alcaloides cromanilpiperidínicos (Tubastraína; Tubastrea)
  • Alcaloides hidantoilmetilindólicos (Aplisinopsina; Tubastrea)

Familia Acroporidae

  • Pseudoalcaloides azepinónicos (Montiporina E; Montipora)
Antipatharia Familia Antipathidae
  • Alcaloides imidazodiazaazulénicos (zoanthoxanthinas; Antipathes)
Zoanthidea Familia Parazoanthidae
Stolonifera Familia Clavulariidae
  • Ésteres terpénicos del ácido urocánico (Sarcodictina, eleutorobina; Sarcodictyon)
Phylum Bryozoa
Clase Orden Familias Ejemplos
Gymnolaemata Cheilostomata Familia Flustridae:
  • Alcaloides prenilpirroloindólicos (Flustraminas; Flustra)
  • Alcaloides espiro-β-lactama indolenínicos (Chartelinas; Chartella)

Chartelina A

Ctenostomata Familia Vesiculariidae
  • Alcaloides imidazólicos (Amatamidas; Amathia)
Phylum Platyhelminthes
Clase Orden Familias Ejemplos
Turbellaria Polycladida Familia Euryleptidae:

Villatamina A

Phylum Mollusca
Clase Orden Familias Ejemplos
Bivalvia Mytiloida Familia Mytilidae
  • Alcaloides indolilmorfolínicos (Oxazininas; Mytilus)

Estructure general de las oxazininas

Pterioida Familia Pinnidae
  • Alcaloides espiropiperidínicos (Ácido pinnaico y Ácido tauropinnaico; Pinna)

Ácido pinnaico

Gastropoda Opisthobranchia Familia Gymnodorididae:
  • Alcaloides bispirrólicos (Tambjamina; Tambja)

Familia Velutinidae:

  • Alcaloides tipo kuanoniamina (Chelynotus)

Familia Aglajidae

  • Alcaloides piridínicos (Navenona A; Navanax)
Sorbeoconcha Familia Muricidae:

Familia Babyloniidae:

  • Alcaloides tipo surugatoxina y neosurugatoxina (Babylonia (molusco))

Surugatoxina

Vetigastropoda Familia Trochidae
  • Poliamidas tipo Monodontamida (Monodonta)
Anaspide Familia Aplysiidae
  • Alcaloides triazabiciclo[3,2,1]octánicos (Aplaminal; Aplysia)
Nudibranchia Familia Discodorididae
  • Alcaloides tipo jorunamicina (Jorunna)

Familia Proctonotidae

  • Ácidos tetrámicos (Janolusimida; Janolus)

Janolusimida

Phylum Arthropoda
Clase Orden Familias Ejemplos
Insecta Diptera Familia Drosophilidae:
  • Pigmentos diméricos de pteridinas (Drosofilina, drosopterina; Drosophila)

Familia Tephritidae

Coleoptera Familia Coccinellidae:

Familia Staphylinidae: Alcaloides pirrolidínicos (Estenusinas; Stenus)

Estenusina
Estenusina

Estenusina

Estenusina
Estenusina

Hipodamina

Himenoptera Familia Crabronidae:

Familia Formicidae:

  • Dimetilpirrolidinas (Solenopsis, Monomorium)
  • Alcaloides pirroloindolizínicos (Mirmicarinas, monomorina; Myrmicaria)
  • Alcaloides pirazínicos (2,5-Dimetil-3-alquilpirazinas, 2,6-Dimetil-3-alquilpirazinas; Odomanchus, Calomyrmex, Wasmannia, Atta, Myrmica, Tetramorium)

Familia Vespidae:

  • Ácidos imídicos del imidazol (Polibiósido; Polybia)
Lepidoptera Familia Pieridae:

Familia Gelechiidae:

Familia Arctiidae

  • Alcaloides dihidropirrolizidínicos (Hidroxidanaidal; Cisseps, Creatonotos; Estigmene; Phragmatobia)

Familia Nymphalidae

  • Alcaloides dihidropirrolizidínicos (Danaidona; Danaus)

Familia Saturniidae

  • Pigmentos derivados del porfibilinógeno (Forcabilina; Rhodinia)
Diplopoda Glomerida Familia Glomeridae:
  • Alcaloides quinazolínicos (Glomerina; Glomeris)

Glomerina

Polyzoniida Familia Polyzonidae:
  • Alcaloides Espiropentanopirrolizidínicos (Nitropolizonamina; Polyzonium)

Nitropolizonamina

Phylum Echinodermata
Clase Orden Familias Ejemplos
Crinoidea Comatulida Familia Himerometridae
  • Alcaloides tipo aerotionina (Himerometra)

Homoaerotionina

Stelleroidea Ophiurida Familia Ophiocomidae
  • Alcaloides indoloquinazolínicos (Ofiuroidina; Ophiocoma)

Ofiuroidina

Phylum Chordata
Clase Orden Familias Ejemplos
Ascidiacea Enterogona Familia Polyclinidae:

Familia Clavelinidae:

  • Alcaloides quinofenantrolínicos (Ascididemina; Cystodytes)
  • Alcaloides ß-carbolínicos derivados de la triptamina con la cisteína (Eudistominas; Eudistoma)
  • Alcaloides 1-pirrolil-ß-carbolínicos (eudistominas A y M; Eudistoma).

Familia Perophoridae:

  • Dímeros de tetrahidroisoquinolinas tipo ecteinascidina (Ecteinascidia)

Familia Pseudodistomidae:

  • Alcaloides tetrahidro-β-carbolínicos (arborescidinas; Pseudodistoma).

Haouaminas

Ascidiatiazona B

Phlebobranchia Familia Diazonidae
  • Alcaloides oxazólicos (Diazonamidas; Diazona)

Diazonamida A

Aplousobranchia Familia Didemnidae:
  • Alcaloides quinofenantrolínicos (Ascididemina; Didemnum)
  • Alcaloides cromanoindolizínicos (Lamelarinas; Didemnum)
  • Alcaloides indolilimidalilmaleimídicos (Didemnimidas; Didemnum)
  • Alcaloides imidazocarbazólicos (Granulatimidas; Didemnum)

Familia Polycitoridae

Dímeros esteroidales pirazínicos (Riterazinas; Ritterella)

Ascididemina

Riterazina M

Stolidobranchia Familia Styelidae:
  • Alcaloides imidazólicos (Policarpina; Polycarpus)
  • Alcaloides α-carbolínicos (Grossularinas; Polycarpus)

Policarpina

Amphibia Caudata Familia Salamandridae:

Samandarina

Anura Familia Dendrobatidae:

Histrionicotoxina 283A

Aves Cuculiformes Familia Musophagidae:

Turacina

Passeriformes Familia Pachycephalidae:

Batraciotoxina

Mammalia Carnívora Familia Mustelidae:

Familia Mephitidae:

Familia Canidae

2-(Mercaptometil)quinolina

Véase también

Referencias

  1. Robinson T. 1981. The biochemistry of alkaloids. 2.ª ed. Springer, Nueva York.
  2. Azcón-Bieto,J y Talón, M. (2000). Fundamentos de Fisiología Vegetal. Mc Graw Hill Interamericana de España SAU. ISBN 84-486-0258-7. 
  3. Fattorusso E., Tagliatela-Scafati O. Modern alkaloids. Structure, isolation, synthesis and biology. (2008) Wiley-VCH.
  4. «Copia archivada». Archivado desde el original el 12 de enero de 2008. Consultado el 11 de septiembre de 2010. 
  5. K. Gerth, H. Irschik, H. Reichenbach, W. Trowitzsch, J. Antibiot. (1980) 33:1474
  6. Polar alkaloids from the Caribbean marine sponge Niphates digitalis. Regalado EL, Mendiola J, Laguna A, Nogueiras C, Thomas OP. Nat Prod Commun. (2010) v.5(8):pp.1187-1190.
  7. Biosynthesis of the chromogen hermidin from Mercurialis annua L. Elena Ostrozhenkova, Eva Eylert, Nicholas Schramek, Avi Golan-Goldhirsh, Adelbert Bacher a,c, Wolfgang Eisenreic. Phytochemistry v.68 (2007):pp. 2816–2824
  8. Hachijodines A-G: Seven New Cytotoxic 3-Alkylpyridine Alkaloids from Two Marine Sponges of the Genera Xestospongia and Amphimedon. Sachiko Tsukamoto, Motohiko Takahashi, Shigeki Matsunaga, Nobuhiro Fusetani, Rob W. M. van Soest J. Nat. Prod. (2000) v.63:pp. 682-684
  9. Walsh, C. T., Garneau-Tsodikova, S. & Howard-Jones, A. R. Biological formation of pyrroles: Nature’s logic and enzymatic machinery. Nat. Prod. Rep. 23, 517–531 (2006).
  10. Structure, Chemical Synthesis, and Biosynthesis of Prodiginine Natural Products Dennis X. Hu, David M. Withall, Gregory L. Challis, and Regan J. Thomson Chemical Reviews Article ASAP doi 10.1021/acs.chemrev.6b00024
  11. Yang et al. "Two new alkaloids from the Dendrobium chrysanthum". Heterocycles 65(3):633-636
  12. Indolizidine Alkaloids. Gellert, E.J. Nat. Prod. (1982) v.45:p.50.
  13. The Biosynthesis Of Lunarine In Seeds Of Lunaria Annua Silvia Sagner, Zheng-Wu Shen, Brigitte Deus-Neumann And Meinhart H. Zenk. Phytochemistry (1998) V. 47(3): pp. 375-387,
  14. Motuporamines, Anti-Invasion and Anti-Angiogenic Alkaloids from the Marine Sponge Xestospongia exigua (Kirkpatrick): Isolation, Structure Elucidation, Analogue Synthesis, and Conformational Analysis. David E. Williams, Kyle S. Craig, Brian Patrick, Lianne M. McHardy, Rob van Soest, Michel Roberge, and Raymond J. Andersen. J. Org. Chem. (2002) v.67:p.245-258
  15. Characterisation of the paralytic shellfish toxin biosynthesis gene clusters in Anabaena circinalis AWQC131C and Aphanizomenon sp. NH-5 Troco K Mihali1, Ralf Kellmann and Brett A Neilan. BMC Biochemistry (2009) v.10:p.8
  16. Barbier. Journal of Chemical Ecology, Vol. 16, n.º 3, 1990
  17. Gupta, R.N.; Horsewood P., Koo S.H., Spenser I.D. Can. J. Chem (1979) v.57:pp.1606-1614
  18. M. J. Wanner and G.-J. Koomen Studies in Natural Products Chemistry: Stereoselectivity in Synthesis and Biosynthesis of Lupine and Nitraria Alkaloids ed. Atta-ur-Rahman; Elsevier: Amsterdam,1994, vol. 14, pp. 731–768.
  19. Gravel E. Poupon E. Biosynthesis and biomimetic synthesis of alkaloids isolated from plants of the Nitraria and Myrioneuron genera: an unusual lysine-based metabolism. Nat. Prod. Rep. (2010) 27:32–56
  20. Katsuhiro. Konno, Kimiko. Hashimoto, Yasufumi. Ohfune, Haruhisa. Shirahama, and Takeshi. Matsumoto. Acromelic acids A and B. Potent neuroexcitatory amino acids isolated from Clitocybe acromelalga. J. Am. Chem. Soc. 110, 14, 4807-4815.
  21. Sankawa, U. et al. Phytochemistry (1977) v.16: pp.561-563
  22. Guinaudeau, H. and Shamma, M. J. Nat. Prod. (1982) v.45:237
  23. Montgomery, C.T. et al. J. Nat. Prod. (1983) v.46:441.
  24. Krane, B.D. et al. J. Nat. Prod. (1984) 47, 1.
  25. Blasko, G. et al. J. Nat. Prod. (1982) v.45:p.105.
  26. Andersen, R.J. et al., JACS, 1985, 107, 5492-5495
  27. Wiegrebe, W. et al. J. Nat. Prod. (1984) v.47:p.397.
  28. Ghosal, S. et al. (1985) Phytochemistry, 24, 2141.
  29. Ahmad, V.U. et al., Tetrahedron, 1987, 43, 5865
  30. Ahmad, V.U. et al., Phytochemistry, 1991, 30, 1350-1351
  31. Ahmad, V.U. et al., J. Nat. Prod., 1992, 55, 237
  32. Clement JS, TJ Mabry, H Wyler y AS Dreiding. 1994. "Chemical review and evolutionary significance of the betalains". En: Caryophyllales, H-D Behnke y TJ Mabry (eds.) 247-261. Springler, Berlin.
  33. Strack D., Vogt T., Schliemann W. "Recent advances in betalain research." Phytochemistry (2003) V.62:247–269.
  34. «Phenazine-1-carboxylic acid, a secondary metabolite of Pseudomonas aeruginosa, alters expression of immunomodulatory proteins by human airway epithelial cells». American Journal of Physiology 285: 584-L592. 2003. doi:10.1152/ajplung.00086.2003. 
  35. Levy, L. M.; Cabrera, G. M.; Wright, J. E.; Seldes A. M. Phytochemistry (2000) 54, 941
  36. Pigments of Higher Fungi: A Review. Jan Velísek and Karel Cejpek Czech J. Food Sci. (2011) 29(2): 87–102
  37. Overman, L.E. and Sworin, M. (1985) in Alkaloids: Chemical and Biological Perspectives, (ed. S.W. Pelletier), Vol. 3, Wiley-Interscience, New York.

Enlaces externos