Violaceína
| Violaceína | ||
|---|---|---|
![]() | ||
| Nombre IUPAC | ||
| (2E)-2-[5-(5-hidroxi-1H-indol-3-il)-2-oxo-1,2-dihidro-3H-pirrol-3-iliden]-1,2-dihidro-3H-indol-3-ona | ||
| General | ||
| Fórmula molecular | C20H13N3O3 | |
| Identificadores | ||
| Número CAS | 548-54-9[1] | |
| Propiedades físicas | ||
| Apariencia | Agujas púrpura oscuro | |
| Masa molar | 343,341 g/mol | |
| Punto de fusión | 350 °C (623 K) | |
| Valores en el SI y en condiciones estándar (25 ℃ y 1 atm), salvo que se indique lo contrario. | ||
La violaceína es un pigmento alcaloidal indólico color violeta producido por Chromobacterium violaceum, Janthinobacterium lividum y Pseudoarachniotus roseus. UV: [ácido]λmax255 (ε14600) ;278;295 (ε6900) ;370 (ε5200) ;568 (ε18600) (MeOH) [neutral]λmax260 (ε20000) ;377 (ε7760) ;585 (ε20000) (EtOH).[2][3]
Actividad biológica
LD50 (murino, intraperitoneal): 100 mg/kg. Presenta actividad antiprotozoaria y antibacterial. Inhibe el crecimiento de Plasmodium tanto in vitro como in vivo.[4] Muestra potencial como medicamento fotoquimoterapéutico. También actúa como antioxidante.[5] Antonisamy y Ignacimuthu encontraron actividad antimodulatoria, analgésica y antipirética en ratas.[6] También ha mostrad actividad larvicida, pupicida y antialimentario contra Spodoptera litura.[7]
Derivados
| Estructura | Nombre | Fórmula molecular | CAS | Masa molecular (g/mol) | Estado | Fuente natural | Otras propiedades |
|---|---|---|---|---|---|---|---|
![]() |
3,3'-Dihidroviolaceina | C20H15N3O3 | 83555-57-1 | 345.357 | Sólido | Aislado de Chromobacterium violaceum. | Activo contra bacterias Gram-positivas y gram-negativas. |
![]() |
Desoxiviolaceína | C20H13N3O2 | 5839-61-2 | 327.342 | Polvo azul oscuro, descompone a 310 °C. | Aislado de Chromobacterium violaceum[8] | UV: [acid]λmax255 (ε14600) ;278;295;370 (ε5200) ;568 (ε18600) ( MeOH) [neutral]λmax260 (ε20000) ;377 (ε7760) ;585 (ε20000) ( EtOH). |
![]() |
Oxiviolaceína | C20H13N3O4 | 132185-16-1 | 359.340 | Polvo azul | Aislado de Chromobacterium violaceum | Soluble en etanol, acetona, dioxano. Poco soluble en agua. UV: [neutral]λmax255 (ε15000) ;278 (ε14600) ;295;370 (ε7000) ;560 (ε18000) (MeOH) |
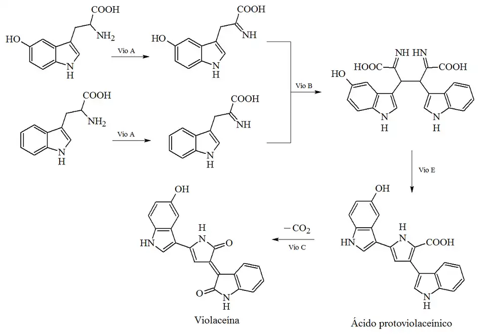
Biosíntesis
Kimmel y colaboradores elucidaron la biosíntesis de la violaceína.[9] Este compuesto proviene de dos unidades derivadas del triptófano, las iminas del triptófano y del 5-hidroxitriptófano. Posteriormente se condensan estas moléculas y se forma un anillo de pirrol correspondiente al ácido protoviolaceínico. Este se descarboxila por oxidación para formar la violaceína.[10][11]

Referencias
- ↑ Número CAS
- ↑ Beer, R.J.S. et al., JCS, 1949, 885- 889; 1958, , 755- 760
- ↑ Rettori, D. et al., World J. Microbiol. Biotechnol., 1998, 14, 685- 688
- ↑ Lopes, S.C.P. et al., Antimicrob. Agents Chemother., 2009, 53, 2149- 2152
- ↑ P. Antonisamy, S. Ignacimuthu. Phytomedicine. (2010), 17(3–4):300-304
- ↑ Antonisamy, S. Ignacimuthu. Phytomedicine. 2010. 17(3–4):300-304
- ↑ Kathirvelu Baskar, Savarimuthu Ignacimuthu. Journal of the Saudi Society of Agricultural Sciences. 2012. 11(1): 73-77
- ↑ Hoshino, T. et al., Agric. Biol. Chem., 1987, 51, 965- 968; 2733- 2741; 1990, 54, 2339- 2346
- ↑ Kimmel, K.E. et al., Can. J. Microbiol., 1969, 15, 111- 116
- ↑ Sánchez, C. et al., ChemBioChem, 2006, 7, 1231- 1240
- ↑ Asamizu, S. et al., Tet. Lett., 2007, 48, 2923- 2926



