Mitomicina
Las mitomicinas son una familia de antibióticos alcaloidales aziridínicos aislados de Streptomyces caespitosus o Streptomyces lavendulae[1] La mitomicina C (MMC) es un agente quimioterapéutico en virtud a su actividad antitumoral y antibiótica. Se administra por vía intravenosa para tratar varios tipos de cáncer, tales como carcinoma esofágico, cáncer anal y cáncer de mama. También es utilizado para instilaciones del cáncer de vejiga. Provoca toxicidad diferida de la médula ósea y por lo tanto, normalmente se administra a intervalos de 6 semanas. Su uso prolongado puede provocar daño permanente en la médula ósea. Puede provocar fibrosis pulmonar y falla renal.
Mecanismo de acción
La mitomicina C es un crosslinker de ADN. Un crosslink simple por genoma ha mostrado ser efectivo como bactericida. Esto se logra por la activación reductiva seguida por dos N-alquilaciones. Ambas alquilaciones son una secuencia específica por un nucleósido de guanina en la secuencia 5'-CpG-3'.[2] Varias quinonas heterocíclicas bis-alquiladas han sido sintetizadas con el fin de explorar sus actividades antitumorales por alquilación reductiva. Las mitomicinas también han sido utilizadas como agentes quimioterapéuticos en cirugía de glaucoma.[3]
Propiedades
| Nombre | Estructura | Fórmula molecular | CAS | Masa molecular (g/mol) | Estado | Fuente natural | Otras propiedades |
|---|---|---|---|---|---|---|---|
![]() |
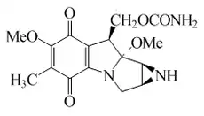
Mitomicina A | C16H19N3O6 | 4055-39-4 | 349.343 | Agujas púrpuras, descompone a 159 - 161 °C | Aislado de Streptomyces caespitosus | Agente antitumoral. Inhibe selectivamente la síntesis de ADN. También es antibiótico. [α]25D = -143(c, 0.1 en MeOH). UV: [ácido]λmax235 (ε) ;285 (ε) ;335 (ε) ;435 (ε) (MeOH/HCl) [base]λmax360 (ε) ;555 (ε) (MeOH/NaOH) [neutral]λmax215 (ε15000) ;317 (ε9300) ;528 (ε1300)(MeOH). LD50 (murino, intravenosa) 1 mg/kg |
![]() |
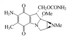
Mitomicina B | C16H19N3O6 | 4055-40-7 | 349.343 | Agujas azul púrpura. Descomponen sin fusión. | Aislado de Streptomyces verticillatus y Streptomyces caespitosus | Agente antitumoral. [α]D = -835 (c, 0.012 en MeOH). UV: [ácido]λmax235 (ε) ;285 (ε) ;335 (ε) ;435 (ε) ( MeOH/HCl) [base]λmax360 (ε) ;555 (ε) ( MeOH/NaOH) [neutral]λmax215 (ε15000) ;317 (ε9300) ;528 (ε1300) ( MeOH). LD50 (murino, intravenosa): 3 mg/kg |
![]() |
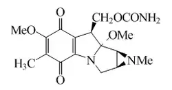
Mitomicina C | C15H18N4O5 | 50-07-7 | 334.331 | Cristales color azul-violeta PF = 360 °C | Aislado de Streptomyces caespitosus, Streptomyces purpurascens, Streptomyces verticillatus y Streptomyces fervens. | Antibiótico y antineoplástico. Soluble en metanol, cloroformo, acetona, benceno, éter y ácidos. UV: [neutro]λmax217 (ε24600) ;245 (ε11000) ;360 (ε23000) ;558 (ε209) ( MeOH) [neutral]λmax216 (ε21880) ;254;360 (ε21400) ;420;555 (ε235) (MeOH). LD50(rata, oral): 30 mg/kg. LD50 (murino, intravenosa): 5 mg/kg. LD50 (murino, intraperitonel): 9 mg/kg. Teratogénico. |
![]() |
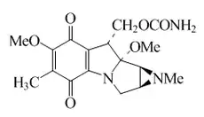
Mitomicina D | C15H18N4O5 | 10169-34-3 | 334.331 | Prismas azul-púrpura. PF = 234 - 236 °C | Aislado de Streptomyces caespitosus | Muestra propiedades antileucémicas. UV: [neutro]λmax217;361;558 (MeOH) |
![]() |
Mitomicina E | C16H20N4O5 | 74707-94-1 | 348.358 | Sólido | Semisintético | Presenta propiedades antileucémicas. UV: [neutro]λmax217 (ε17800) ;361 (ε19100) ;558 (ε215) (MeOH) |
![]() |
Mitomicina F | C17H21N3O6 | 18209-14-8 | 363.369 | Cristales color rojo voláceo. PF = 145 °C | Aislado de Streptomyces caespitosus | Agente antitumoral. LD50 (murino, intravenosa) 4.3 mg/kg. UV: [neutro]λmax220 (ε12050) ;324 (ε7580) ;520 (ε850) ( MeOH). |
![]() |
Mitomicina J | C17H21N3O6 | 74985-82-3 | 363.369 | Sólido | Aislado de Streptomyces caespitosus | Agente antitumoral. Soluble en metanol y clroroformo. UV: [neutro]λmax219 (ε12550) ;324 (ε10200) ;539 (ε1230) ( MeOH). |
![]() |
Mitomicina K | C16H18N2O4 | 74148-45-1 | 302.329 | Cristales púrpura | Aislado de Streptomyces caespitosus | Agente antitumoral. |
Biosíntesis
En general, la biosíntesis de todas las mitomicinas[4] procede por combinación de ácido 3-amino-5-hidroxibenzoico(AHBA), D-glucosamina (aparece mal representada abajo), y fosfato de carbamilo, y así se forma el anillo de mitosano. El intermediario clave, el ácido 3-amino-5-hidroxibenzoico (AHBA), también es precursor de otros productos naturales anticáncer tales como la rifamicina y la ansamicina.

Específicamente, la biosíntesis comienza con la adición del fosfoenolpiruvato (PEP) a la eritrosa-4-fosfato. Al producto formado se adiciona una molécula de amoniaco para dar el ácido 4-amino-3-desoxi-D-arabino heptulosónico-7-fosfato (aminoDHAP). Después, la DHQ sintasa cataliza el cierre de un anillo para producir el ácido 4-amino-3-deshidroquínico (aminoDHQ). El producto sufre una doble oxidación vía aminoDHQ deshidratasa para dar el 4-amino-deshidroshikimato (aminoDHS). El intermediario clave, el ácido 3-amino-5-hidroxibenzoico (AHBA), se forma por aromatización de la AHBA.[5][6]

El núcleo de mitosano es sintetizado vía condensación entre AHBA y D-glucosamina. Una vez que la condensación ha ocurrido, el mitosano sufre interconversiones de grupos funcionales.

Referencias
- ↑ Danshiitsoodol N, de Pinho CA, Matoba Y, Kumagai T, Sugiyama M. The mitomycin C (MMC)-binding protein from MMC-producing microorganisms protects from the lethal effect of bleomycin: crystallographic analysis to elucidate the binding mode of the antibiotic to the protein. J. Molec. Biol. 2006. 360(2):398-408.
- ↑ Tomasz, Maria. Mitomycin C: small, fast and deadly (but very selective). Chemistry and Biology (1995) 2(9):575–579
- ↑ Renault, J.; Baron, M; Mailliet P. et al. Heterocyclic quinones 2. Quinoxaline-5,6-(and 5-8)-diones - Potential antitumoral agents. Eur. J. Med. Chem. 16, 6, 545–550, 1981.
- ↑ Mao Y.; Varoglu M.; Sherman D.H. Molecular characterization and analysis of the biosynthetic gene cluster for the antitumor antibiotic mitomycin C from Streptomyces Iavendulae NRRL 2564. Chemistry and Biology (1999) 6(4):251–263
- ↑ Mao, Y.; Varoglu, M.; Sherman, D.H. "Molecular characterization and analysis of the biosynthetic cluster for the antitumor antibiotic mitomycin C from Streptomyces lavendulae NRRL 2564." Chemistry & Biology 1999, 6, 251–263
- ↑ Varoglu, M.; Mao, Y.; Sherman, D.H. "Mapping the Biosynthetic Pathway by Functional Analysis of the MitM Aziridine N-Methyltransferase." J. Am. Chem. Soc. 2001, 123, 6712–6713 and references therein.







