Indol
| Indol | ||
|---|---|---|
![]() | ||
| Nombre (IUPAC) sistemático | ||
|
2,3-Benzopirrol, cetol, 1-benzazol | ||
| Identificadores | ||
| Número CAS | 120-72-9 | |
| Código ATC | No adjudicado | |
| PubChem | 0 | |
| Datos químicos | ||
| Fórmula | C1(NC=C2)=C2C=CC=C1 | |
| Peso mol. | 117.15 g/mol | |
El indol es un compuesto orgánico heterocíclico, con estructura bicíclica que consiste en un anillo de seis miembros (benceno) unido a otro de cinco miembros (pirrol). La participación de un par aislado de electrones de nitrógeno en anillo aromático refieren a que el indol no es una base y no representa una amina simple. Es sólido a temperatura ambiente.
Presencia en la naturaleza
Puede producirse mediante bacterias como producto de la degradación del aminoácido triptófano, así como su derivado, el escatol. Esto ocurre en forma natural en las heces humanas, presentando el indol un intenso olor fecal. Sin embargo, a muy bajas concentraciones, su aroma es floral[1] y constituye varias esencias florales y perfumes. También está presente en el alquitrán de hulla.
La estructura del indol puede hallarse en muchos productos naturales, como el triptófano y las proteínas que lo contienen, en los alcaloides, tales como la triptamina, la serotonina y la glucobrasicina. Diversos pigmentos, por ejemplo el índigo y la púrpura de Tiro, son dímeros del indol. Otros compuestos del indol incluyen las hormonas de los vegetales denominadas auxinas, un medicamento antiinflamatorio como la indometacina y el betabloqueante pindolol. El dopacromo es un indol saturado, precursor de las melaninas (Eumelaninas) y las betacianinas.
Reacciones
El indol sufre sustitución electrófila, principalmente en la posición 3. Los indoles substituidos son elementos estructurales de alcaloides de la triptamina derivados del triptófano como los neurotransmisores serotonina y dopamina.

El nombre indol es un acrónimo compuesto por las palabras índigo y óleo. La química del indol se inició con el estudio de la tintura de índigo, convertida primero en isatina y luego en oxindol. Luego, en 1866 Adolf von Baeyer redujo oxidol a indol usando polvo de zinc.[2] En 1869 propuso la fórmula para el indol aceptada hasta la actualidad.[3]
Algunos derivados del indol fueron usados como tinturas hasta fines del siglo XIX. En la década de 1930, el interés por el indol se intensificó cuando se conoció que el núcleo indol está presente en muchos alcaloides , como así mismo en el triptófano y las auxinas, y se mantiene todavía como tema de investigación activa.[4]
Síntesis
Se clasificarán las síntesis de indoles de acuerdo al tipo de conexión que se realice en cada caso:
- a) Conexión 1,2



- Síntesis de indoles de Hegedus
- Síntesis de indoles de Larock

- Síntesis de indoles de Leimgruber-Batcho


b) Conexión 2,3
- Síntesis de indoxilo de Heumann:

- Aproximación a la síntesis del índigo de Friedländer



c) Conexión 3,3a


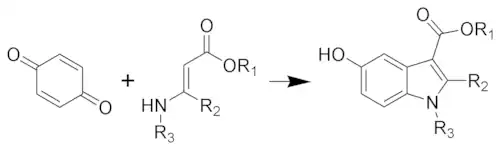
- Síntesis del índigo de Pfleger

d) Conexión 1,7a

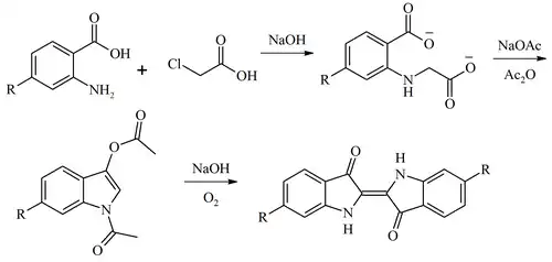
- Síntesis de Sandmeyer de isatina

- Se han reportado las síntesis de 4,5,6,7-tetrahidroindoles por el método de Paal-Knorr:[5]

En estos métodos el mecanismo aún no queda totalmente establecido:

Biosíntesis del indol del triptófano
El triptófano se biosintetiza en tres etapas fundamentales: Unión entre el ácido antranílico y un éster fosfórico de ribosa con ciclización descarboxilativa, la eliminación de una molécula de gliceraldehído 3-fosfato, y la condensación con una molécula de serina. Durante la biosíntesis del triptófano, participan 4 enzimas:
- Antranilato fosforibosil transferasa: Se lleva a cabo una SN2 del grupo amino del ácido antranílico.
- Fosforibosil antralinato isomerasa: Se isomeriza la ribofuranosa a ribosa lineal.
- Indolil 3-glicerol fosfato sintasa (I3GPS): Se efectúa una descarboxilación con condesación tipo aldólica. En este paso se forma el anillo de indol con el sustituyente glicerilo en posición 3.
- Triptófano sintasa: Se lleva a cabo una eliminación por condensación aldólica inversa. Se forma un anillo de indol no sustituido y unido a la enzima. Posteriormente se realiza la condensación con serina por una reacción tipo SEA. Se forma el triptófano.
[6]

El anillo de indol del triptófano prácticamente es la fuente universal del resto de los indoles de origen natural v.g. alcaloides indólicos y auxinas (con excepción de los indoles de la melanina y las betaninas, los cuales provienen de la DOPA).

Rutas del triptófano
Véase también
Referencias
- ↑ «Olfaction - A Review; Page 5». Consultado el 2009.
- ↑ Baeyer, A. Ann. 1866, 140, 295.
- ↑ Baeyer, A.; Emmerling, A. Chemische Berichte 1869, 2, 679.
- ↑ R. B. Van Order, H. G. Lindwall Chem. Rev. 1942, 30, 69-96. (Review) (doi 10.1021/cr60095a004)
- ↑ Synthesis of 5-Substituted 4,5,6,7-Tetrahydroindoles from Cyclohexanones. Chang Kiu Lee,* In-Sook Han Lee, and Wayland E. Noland. HETEROCYCLES, Vol. 71, No. 2, 2007
- ↑ Albert L. Lehninger, David Lee Nelson, Michael M. Cox (2005). W.H. Freeman,, ed. Principles of biochemistry, Vol. 1 4th ed. ISBN 9780716743392.
Enlaces externos
- Síntesis del indol (en inglés)
Wikimedia Commons alberga una categoría multimedia sobre Indol.

