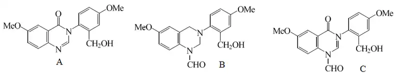
Dictioquinazol

Los dictioquinazoles son alcaloides quinazolínicos aislados del hongo comestible Dictyophora indusiata (Phallus indusiatus).[1] Son compuestos que presentan actividad neuroprotectora.[2] Biosintéticamente proceden de dos unidades de ácido antranílico.
Propiedades físicas

| Nombre | Fórmula molecular | CAS | Masa molecular (g/mol) | Estado | UV |
|---|---|---|---|---|---|
| Dictioquinazol A
IUPAC: 3-(2-Hidroximetil-4-metoxifenil)-6-metoxi-4(3H)-quinazolinona. |
C17H16N2O4 | 477203-69-3 | 312.324 | Aceite amarillo pálido | UV: [neutral]λmax224 (log ε3.9) ;274 (log ε3.43) ;319 (log ε2.78) (MeOH) |
| Dictioquinazol B
IUPAC: 1-Formil-1,2,3,4-tetrahidro-3-(2-hidroximetil-4-metoxifenil)-6-metoxiquinazolina |
C18H20N2O4 | 476488-21-8 | 328.367 | Aceite amarillo pálido | UV: [neutral]λmax206 (log ε3.7) ;239 (log ε3.85) ;290 (log ε3.2) (MeOH). |
| Dictioquinazol C
IUPAC: 1-Formil-2,3-dihidro-3-(2-hidroximetil-4-metoxifenil)-6-metoxi-4(1H)-quinazolinona |
C18H18N2O5 | 342.351 | 477203-71-7 | Aceite amarillo pálido | UV: [neutro]λmax228 (log ε3.9) ;319 (log ε2.9) ( MeOH) |