Métodos de integración

Se entiende por métodos de integración al conjunto de las diferentes técnicas elementales usadas (a veces de forma combinada) para calcular una antiderivada o integral indefinida de una función. Así, dada una función , un método de integración nos permite encontrar otra función lo cual, por el teorema fundamental del cálculo, equivale a hallar una función tal que sea su derivada:[n 1]

Generalidades

El problema de resolver una integral indefinida o buscar una primitiva es mucho más elaborado que el problema de calcular la derivada de una función. De hecho, no existe un algoritmo determinista que permita expresar la primitiva de una función elemental, es más, la primitiva de muchas funciones elementales no es ninguna función elemental. Por ejemplo, no existe ninguna función elemental tal que:

Si se consideran grupos de funciones elementales de un cierto tipo (polinómicas, fracciones racionales, trigonométricas, etc.) entonces el problema de encontrar la primitiva puede resolverse por los métodos de integración correspondientes.

Integración directa

En ocasiones es posible aplicar la relación dada por el teorema fundamental del cálculo de forma directa. Esto requiere conocer de antemano una función que sea el resultado de la antiderivada de . Para ello se puede disponer de tablas como las presentadas a continuación:

Funciones trigonométricas

Funciones hiperbólicas

Funciones analíticas

El problema de integración es trivial si se consideran funciones analíticas y se admite como primitivas potencias de series formales ya que si

entonces

Integración por cambio de variable

Introducción

El método integración por sustitución o cambio de variable se utiliza para evaluar integrales. El método se basa en realizar de manera adecuada un cambio de variable que permita convertir el integrando en algo sencillo. Este método realiza lo opuesto a la regla de la cadena. Antes de enunciar el teorema, considere un ejemplo simple para integrales indefinidas.

Supóngase que la integral a resolver es:

Se hace el cambio de variable

Por lo que la integral se convierte en

donde es una constante arbitraria llamada constante de integración.

Frecuentemente este método es utilizado pero no todas las integrales permiten el uso de este método, en los casos en los que sí es posible, el resultado puede verificarse derivando y comparando con el integrando original.

Para integrales definidas, los límites de integración deben cambiarse pues estos deben estar en términos de la nueva variable pero el procedimiento es similar.

Integrales definidas

Sea una función diferenciable con derivada continua donde es un intervalo, si es una función continua en entonces

Demostración

Sean y dos funciones tales que es continua en y es integrable en el intervalo cerrado entonces la función también es integrable en , por lo que las integrales

y

existen, hay que demostrar que ambas son iguales..

Dado que es continua entonces tiene una antiderivada , la función compuesta está definida, como es diferenciable, combinando la regla de la cadena y la definición de antiderivada tenemos

utilizando el teorema fundamental del cálculo dos veces obtenemos

Ejemplos

Ejemplo 1

Suponiendo que la integral a resolver es:

Se hace el cambio de variable

Antes de escribir el integrando en términos de la variable , hay que cambiar los límites de integración.

Si entonces .

Si entonces .

Por lo que la integral se convierte en

Ejemplo 2

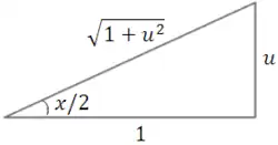
Supóngase ahora que la integral a resolver es

Cuando las integrales son de tipo racional e involucran las funciones trigonométricas y/o , la sustitución conveniente resulta ser , conocida como la sustitución de Weierstrass, esta sustitución lleva a

Triángulo rectágulo.
Triángulo rectágulo.

Por una identidad conocida obtenemos

Y no es difícil ver que

por lo que la integral queda después de dicha sustitución:

Integración por partes

Regla mnemotécnica: Un Día Vi Una Vaca Vestida De Uniforme.

En el cálculo y en general en el análisis matemático, la integración por partes es el proceso que encuentra la integral de un producto de funciones en términos de la integral de sus derivadas y antiderivadas. Frecuentemente usado para transformar la antiderivada de un producto de funciones en una antiderivada, por lo cual, una solución puede ser hallada más fácilmente.

El método de integración por partes es el que resulta de aplicar el siguiente teorema

Teorema

Si y son funciones continuas entonces

Típicamente se encuentra la fórmula como sigue:

Si y entonces

Demostración

La fórmula de integración por partes puede obtenerse de la siguiente manera.

Supongamos que y son dos funciones continuas, si omitimos los argumentos y sólo escribimos y entonces por la regla del producto tenemos que

que puede ser escrito como

integrando ambas lados de la igualdad

Esto es

Recomendaciones

La integración por partes es útil cuando la función a integrar puede considerarse como el producto de una función , cuya derivada es más sencilla que , por otra función que claramente es de la forma .

Desde un punto de vista didáctico se recomienda escoger la función de acuerdo con el orden, ayudándose de la regla mnemotécnica "ILATE":[cita requerida]

  1. Inversa trigonométrica: ...
  2. Logarítmicas: ...
  3. Algebraicas o polinómicas: ...
  4. Trigonométricas: ...
  5. Exponencial: o siendo .

Otra recomendación sería cambiar el orden de trigonométrica y exponencial. Si seguimos esta otra recomendación podemos usar la regla mnemotécnica ALPES, asignándole el puesto de u de acuerdo con el orden de aparición:

  1. Arcoseno(y cualquier trigonométrica inversa)
  2. Logarítmica
  3. Polinómica
  4. Exponencial
  5. Seno/coseno(y cualquier trigonométrica)

Fórmulas más generales de integración por partes existen en Integral de Riemann-Stieltjes y en Integración de Lebesgue–Stieltjes.

Ejemplos.

Ejemplo 1

En ocasiones, un truco que a menudo funciona en la integración por partes consiste en considerar que la función o escoger a como la constante .

Se desea calcular la integral

si procedemos por el método de integración por partes entonces

luego

donde es una constante arbitraria llamada constante de integración.

Ejemplo 2

El segundo ejemplo es similar al anterior sólo que ahora se desea integrar una función trigonométrica inversa

Procediendo por el método de integración por partes se tiene que

luego

Ejemplo 3

El segundo truco consiste en utilizar la integración por partes para hallar en función de y después despejar en la ecuación resultante.

Se desea calcular la integral

Procediendo por el método de integración por partes se tiene que

Entonces

Fórmulas de Reducción

Utilizando el método de integración por partes puede demostrarse que

para con .

Integrales de funciones trigonométricas

Integrales que contiene potencias de senos y cosenos

Buscamos calcular la integral

siendo .

En general, se intenta escribir un integrando en el que intervienen potencias de seno y coseno en una forma donde se tiene solo un factor seno (y el resto de la expresión en términos de coseno) o solo un factor coseno (y el resto de la expresión en términos de seno).

La identidad permite convertir de una parte a otra entre potencias pares de seno y coseno.

Tenemos los siguientes tres casos.

Cuando n es impar

Cuando es impar entonces es la forma , podemos apartar un factor del seno y en el factor elevado a la potencia par, sustituirlo por la identidad , es decir

Al tener la integral de esta forma, podemos realizar el siguiente cambio de variable

Reemplazando obtendremos

Cuando m es impar

Cuando es impar entonces es de la forma , podemos de la misma manera apartar un factor de coseno y emplear la identidad en el factor elevado a la potencia par, es decir

Al hacer el cambio de variable

Tendremos que

Cuando m y n son pares

Cuando y son números pares entonces pueden ser escritos como y respectivamente, podemos aplicar las identidades de la mitad de ángulo

y en ocasiones, es útil usar la identidad:

por lo que

Ejemplo

Se desea calcular

Nótese que la potencia impar la tiene la función seno, por lo que estamos en el primer caso siendo y , si aplicamos la fórmula

donde entonces

Integrales que contiene potencias de tangentes y secantes

Buscamos calcular la integral

siendo .

Se puede usar una estrategia similar a la anterior.

Dado que

se puede separar un factor y convertir la potencia restante (par) de la secante en una expresión relacionada con la tangente por medio de la identidad . O bien, dado que

se puede separar un factor y convertir la potencia restante (par) de tangente a secante.

Tenemos los siguientes tres casos.

Cuando n es par

Si es par entonces se puede escribir de la forma , separamos un factor de y utilizamos la identidad , es decir

Al hacer el cambio de variable

la integral se transforma en

Cuando m es impar

Si es par entonces puede escribirse de la forma , el truco está en separar un factor de y emplear la identidad , es decir

Al hacer eso cambio de variable

entonces la integral se transforma en

La tangente tiene potencia par

Supóngase que sólo se desea integrar la función siendo un número par entonces

La secante tiene potencia impar

Si sólo la función a integrar es la función siendo un número impar entonces para calcular

se procede por el método de integración por partes.

El ejemplo clásico de este caso consiste en hallar la integral de la secante cúbica, es decir

Podemos reescribir el integrando como

Procediendo por el método de integración por partes

Se tiene que

Ninguno de los anteriores

Al no encontrar la forma de ninguno de los pasos anteriores, se traslada a y recordando que

Para otros casos, las directrices no son tan claras, podría ser necesario usar identidades, integración por partes y, ocasionalmente, un poco de inventiva.

A veces será necesario poder integrar por medio de la fórmula establecida:

Se necesitará también la integral indefinida de la secante:

Esta última se podría comprobar mediante la derivación de lado derecho, o como sigue:

Primero se mutiplican numerador y denominador por la función , es decir

Al realizar el cambio de variable

por lo que la integral se convierte en:

Por lo tanto

NOTA: Para integrales que contienen cosecantes y cotangentes, la estrategia es análoga a la del par secantes-tangentes, sólo basta recordar la identidad

Sustitución de Weierstrass

La sustitución de Weierstrass es una sustitución que permite convertir una función racional de funciones trigonométricas en una función racional sin funciones trigonométricas. Michael Spivak escribió que esta sustitución era las “sustitución más sigilosa” del mundo.

Se desea evaluar una integral de la forma

siendo

con

Se hace el cambio de variable

por lo que

y

De donde se sigue que

y

Y no es difícil ver que

Por lo que esta sustitución permite reescribir la integral como

Que resulta ser una función racional, de integración mecánica.

Integrales de funciones racionales

Dada una función racional expresable como el cociente de dos polinomios:

Si el denominador es un polinómico mónico con k raíces diferentes, entonces admitirá la siguiente factorización en términos de polinomio irreducibles:

Si entonces la función racional puede escribirse como combinación lineal de fracciones racionales de las formas:

Por lo que la integral de la función es una combinación lineal de funciones de la forma:

Obsérvese que lo anterior implica que las funciones racionales constituyen un cuerpo algebraico que es cerrado bajo la derivación, pero no bajo la integración.

Integración numérica

La integración numérica comprende una amplia gama de algoritmos para calcular el valor numérico de una integral definida. A efectos prácticos se usa cuando no se conoce un método analítico de integración o la función primitiva resulta tan complicada que para una aplicación práctica resulta más útil buscar directamente su valor numérico. El término cuadratura numérica (a menudo abreviado a cuadratura) es más o menos sinónimo de integración numérica, especialmente si se aplica a integrales de una dimensión a pesar de que para el caso de dos o más dimensiones (integral múltiple) también se utiliza.

Notas

  1. Para cada función f(x) existe una infinidad de funciones que tienen a f(x) por derivada, y por tanto hay una infinidad de soluciones a la integral ∫f(x) dx. Todas estas soluciones son difieren por una constante sin calcular. Por ejemplo: x²+5, x²-20, x²+13,41 son tres soluciones para ∫ 2x dx.
    De este modo, si F(x) es una antiderivada de f(x), cualquier función de la forma F(x)+C también lo es. Esto se representa como ∫ f(x)dx = F(x)+C pero por simplicidad de la presentación se omite la constante arbitraria C en cada uno de los ejemplos.

Véase también

Bibliografía

Enlaces externos

Videos