Función trigonométrica
| Trigonometría | ||
|---|---|---|
![]() | ||
| Referencias | ||
|
Constantes exactas ·Tablas ·Circunferencia goniométrica | ||
| Funciones, leyes y teoremas | ||
|
e (inversas) ·Senos ·Cosenos ·Tangentes ·Cotangentes ·Teorema de Pitágoras·Identidades y fórmulas de trigonometría | ||
| Cálculo infinitesimal | ||
| Sustitución trigonométrica ·Integrales de funciones directas (e inversas) ·Derivadas | ||
| Temas relacionados | ||
| Temas ·Historia ·Usos·Trigonometría generalizada | ||
En matemáticas, las funciones trigonométricas son funciones determinadas con el objetivo de extender la definición de las razones trigonométricas a todos los números reales y complejos. Estas usualmente incluyen términos que describen la medición de ángulos y triángulos, tal como seno, coseno, tangente, cotangente, secante y cosecante.
Las funciones trigonométricas son de gran importancia en física, astronomía, cartografía, náutica, telecomunicaciones, la representación de fenómenos periódicos.
Conceptos generales


Las funciones trigonométricas se pueden definir como el cociente entre dos lados de un triángulo rectángulo, asociado a sus ángulos. Las funciones trigonométricas son funciones cuyos valores son extensiones del concepto de razón trigonométrica en un triángulo rectángulo trazado en una circunferencia unitaria (de radio unidad). Definiciones más modernas las describen como series infinitas o como la solución de ciertas ecuaciones diferenciales, permitiendo su extensión a valores positivos y negativos, e incluso a números complejos.
Existen seis funciones trigonométricas básicas. Las últimas cuatro, se definen en relación de las dos primeras funciones, aunque se pueden definir geométricamente o por medio de sus relaciones. Algunas funciones fueron comunes antiguamente, y aparecen en las primeras tablas, pero no se utilizan actualmente ; por ejemplo el verseno (1 − cos θ) y la exsecante (sec θ − 1).
| Función | Abreviatura | Equivalencias (en radianes) |
|---|---|---|
| Seno | sen, sin | |
| Coseno | cos | |
| Tangente | tan, tg | |
| Cotangente | ctg (cot) | |
| Secante | sec | |
| Cosecante | csc (cosec) |
Definiciones respecto de un triángulo rectángulo

Para definir las razones trigonométricas del ángulo: , del vértice A, se parte de un triángulo rectángulo arbitrario que contiene a este ángulo. El nombre de los lados de este triángulo rectángulo que se usará en lo sucesivo será:
- La hipotenusa (h) es el lado opuesto al ángulo recto, o lado de mayor longitud del triángulo rectángulo.
- El cateto opuesto (a) es el lado opuesto al ángulo .
- El cateto adyacente (b) es el lado adyacente al ángulo .
Todos los triángulos considerados se encuentran en el Plano Euclidiano, por lo que la suma de sus ángulos internos es igual a π radianes (o 180°). En consecuencia, en cualquier triángulo rectángulo los ángulos no rectos se encuentran entre 0 y π/2 radianes. Las definiciones que se dan a continuación definen estrictamente las funciones trigonométricas para ángulos dentro de ese rango:
1) El seno de un ángulo es la relación entre la longitud del cateto opuesto y la longitud de la hipotenusa:
El valor de esta relación no depende del tamaño del triángulo rectángulo que elijamos, siempre que tenga el mismo ángulo , en cuyo caso se trata de triángulos semejantes.
2) El coseno de un ángulo es la relación entre la longitud del cateto adyacente y la longitud de la hipotenusa:
3) La tangente de un ángulo es la relación entre la longitud del cateto opuesto y la del adyacente:
4) La cotangente de un ángulo es la relación entre la longitud del cateto adyacente y la del opuesto:
5) La secante de un ángulo es la relación entre la longitud de la hipotenusa y la longitud del cateto adyacente:
6) La cosecante de un ángulo es la relación entre la longitud de la hipotenusa y la longitud del cateto opuesto:
Razones trigonométricas de ángulos notables
La siguiente tabla resume los valores algebraicos más simples y/o comunes de las funciones trigonométricas.[1] El símbolo ∞ representa el punto del infinito en la línea real proyectada extendida; la cual no tiene signo, porque, cuando aparece en la tabla, la función trigonométrica correspondiente tiende a +∞ en un lado y a −∞ en el otro lado, cuando el argumento tiende al valor en la tabla.
| Radianes | Grado | Seno | Coseno | Tangente | Cotangente | Secante | Cosecante |
|---|---|---|---|---|---|---|---|
| 0 | 0° | ||||||
| π/12 | 15° | ||||||
| π/10 | 18° | ||||||
| π/8 | 22.5° | ||||||
| π/6 | 30° | ||||||
| π/5 | 36° | ||||||
| π/4 | 45° | ||||||
| 3π/10 | 54° | ||||||
| π/3 | 60° | ||||||
| 3π/8 | 67.5° | ||||||
| 2π/5 | 72° | ||||||
| 5π/12 | 75° | ||||||
| π/2 | 90° |
Aproximaciones Trigonométricas para el ángulo grados
Autor Enfer Diez [2]
Definición en el conjunto de números reales
No es posible utilizar la definición dada anteriormente, un coseno de para valores de menores o iguales a 0 o valores mayores o iguales a π/2, pues no se podría construir un triángulo rectángulo tal que uno de sus ángulos mida radianes. Para definir los valores de estas funciones para valores comprendidos entre 0 y 2π, se utilizará entonces una circunferencia unitaria, centrada en el origen de coordenadas del plano cartesiano. Se definirán las funciones trigonométricas coseno y seno como la abscisa (x) y la ordenada (y), respectivamente, de un punto P de coordenadas (x, y), perteneciente a la circunferencia, siendo el ángulo, medido en radianes, entre el semieje positivo x y el segmento que une el origen con P.
Puede observarse que estas funciones toman valores entre -1 y 1. Nótese que para valores entre 0 y π/2, los valores obtenidos para el seno y el coseno con esta definición, coinciden con los obtenidos utilizando la noción de razón trigonométrica. Si el valor de x está fuera del intervalo [0,2π], puede descomponerse como x=2kπ+x' siendo k un número entero y x' un valor entre 0 y 2π. Se asignará a x los mismos valores de seno y coseno que los asignados a x', ya que puede interpretarse a x como un ángulo coterminal con x', y por lo tanto, las coordenadas del punto P serán las mismas en ambos casos.
Representación gráfica

Funciones trigonométricas de ángulo doble
Sabiendo las funciones trigonométricas de la suma de dos ángulos, se pueden determinar las funciones trigonométricas de ángulo doble al plantear que
Para la fórmula del coseno del ángulo doble se pueden presentar otras dos formas alternativas con el uso de las identidades pitagóricas: Convirtiendo a términos de , o convirtiendo a términos de :
Para la tangente del ángulo doble se procede de la misma manera:
Para productos de dos funciones sinusoidales complementarias, se tiene que:
Y para el caso alternativo:
Definiciones analíticas
La definición analítica más frecuente dentro del análisis real se hace a partir de ecuaciones diferenciales. Usando la geometría y las propiedades de los límites, se puede demostrar que la derivada del seno es el coseno y la derivada del coseno es el seno con signo negativo. (Aquí, como se hace generalmente en cálculo, todos los ángulos son medidos en radianes).
El teorema de Picard-Lindelöf de existencia y unicidad de las ecuaciones diferenciales lleva a que existen las funciones anteriores que se llaman respectivamente seno y coseno, es decir:
Esta definición analítica de las funciones trigonométricas permite una definición no-geométrica del número π, a saber, dicho número es el mínimo número real positivo que es un cero de la función seno.
Series de potencias
A partir de la definición anterior pueden establecerse que las funciones seno y coseno son funciones analíticas cuya serie de Maclaurin viene dada por:
Estas identidades son a veces usadas como las definiciones de las funciones seno y coseno. Con frecuencia se utilizan como el punto de partida para el tratamiento riguroso de las funciones trigonométricas y sus aplicaciones (por ejemplo en las Series de Fourier), debido a que la teoría de las series infinitas puede ser desarrollada a partir de la base del sistema de números reales, independientemente de cualquier consideración geométrica. La diferenciabilidad y continuidad de estas funciones es entonces establecida a partir de las definiciones de series por sí misma.
Relación con la exponencial compleja
Existe una relación importante entre la exponenciación de números complejos y las funciones trigonométricas según la fórmula de Euler:
Esta relación puede probarse usando el desarrollo en serie de Taylor para la función exponencial y el obtenido en la sección anterior para las funciones seno y coseno. Separando ahora en parte real e imaginaria en la expresión anterior se encuentran las definiciones de seno y coseno en términos de exponenciales complejas:
A partir de ecuaciones diferenciales
Las funciones seno y coseno satisfacen la igualdad:
Es decir, la segunda derivada de cada función es la propia función con signo inverso. Dentro del espacio funcional de dos dimensiones V, que consiste en todas las soluciones de esta ecuación, las variables dependientes, juntas, pueden formar la base de V. Este método para definir las funciones seno y coseno es esencialmente equivalente a utilizar la fórmula de Euler. Además esta ecuación diferencial puede utilizarse no solo para definir al seno y al coseno, con ella también se pueden probar las identidades trigonométricas de las funciones seno y coseno.
Además, la observación de que el seno y el coseno satisfacen y′′ = −y implica que son funciones propias del operador de la segunda derivada.
La función tangente es la única solución de la ecuación diferencial no lineal
satisfaciendo la condición inicial y(0) = 0. Existe una interesante prueba visual de que la función tangente satisface esta ecuación diferencial.
Funciones trigonométricas inversas
Las tres funciones trigonométricas inversas comúnmente usadas son:
- Arcoseno es la función inversa del seno de un ángulo. El significado geométrico es: el arco cuyo seno es dicho valor.
La función arcoseno real es una función , es decir, no está definida para cualquier número real. Esta función puede expresarse mediante la siguiente serie de Taylor:
- Arcocoseno es la función inversa del coseno de un ángulo. El significado geométrico es: el arco cuyo coseno es dicho valor.
Es una función similar a la anterior, de hecho puede definirse como:
- Arcotangente es la función inversa de la tangente de un ángulo. El significado geométrico es: el arco cuya tangente es dicho valor.
A diferencia de las anteriores la función arcotangente está definida para todos los reales. Su expresión en forma de serie es:
Representación gráfica
Generalizaciones
- Las funciones hiperbólicas son el análogo de las funciones trigonométricas para una hipérbola equilátera. Además el seno y coseno de un número imaginario puro puede expresarse en términos de funciones hiperbólicas.
- Las funciones elípticas son una generalización biperiódica de las funciones trigonométricas que en el plano complejo solo son periódicas sobre el eje real. En particular las funciones trigonométricas son el límite de las funciones elípticas de Jacobi cuando el parámetro del que dependen tiende a cero.
Historia
El estudio de las funciones trigonométricas se remonta a la época de Babilonia, y gran parte de los fundamentos de trigonometría fueron desarrollados por los matemáticos de la Antigua Grecia, de la India y estudiosos musulmanes.
El primer uso de la función seno (sen(·)) aparece en el Sulba Sutras escrito en India del siglo VIII al VI a. C. Las funciones trigonométricas fueron estudiadas por Hiparco de Nicea (180-125 a. C.), Aryabhata (476-550), Varahamihira, Brahmagupta, al-Khwarizmi, Abu'l-Wafa, Omar Khayyam, Bhaskara II, Nasir al-Din Tusi, Regiomontanus (1464), Ghiyath al-Kashi y Ulugh Beg (Siglo XIV), Madhava (ca. 1400), Rheticus, y el alumno de éste, Valentin Otho. La obra de Leonhard Euler Introductio in analysin infinitorum (1748) fue la que estableció el tratamiento analítico de las funciones trigonométricas en Europa, definiéndolas como series infinitas presentadas en las llamadas "Fórmulas de Euler".
La noción de que debería existir alguna correspondencia estándar entre la longitud de los lados de un triángulo siguió a la idea de que triángulos similares mantienen la misma proporción entre sus lados. Esto es, que para cualquier triángulo semejante, la relación entre la hipotenusa y otro de sus lados es constante. Si la hipotenusa es el doble de larga, así serán los catetos. Justamente estas proporciones son las que expresan las funciones trigonométricas.
Véase también
- Trigonometría
- Identidad trigonométrica
- Seno, coseno, tangente, verseno
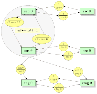
- Hexágono trigonométrico. Recurso mnemónico para ayudar a recordar relaciones e identidades trigonométricas.
- Derivación de funciones trigonométricas
|
Referencias
Bibliografía
- Spiegel, M. & Abellanas, L.: "Fórmulas y tablas de matemática aplicada", Ed. McGraw-Hill, 1988. ISBN 84-7615-197-7.
Enlaces externos
- http://matematicas.redyc.com/wiki/doku.php?id=editores:jorgitoteleco:exponencial_compleja (enlace roto disponible en Internet Archive; véase el historial, la primera versión y la última).
- Herramienta didáctica para explicar las funciones trigonométricas
