Síntesis de indoles de Madelung
La síntesis de Madelung es un método de preparación de indoles (sustituidos o no sustituidos) por la ciclación intramolecular de N-fenilamidas usando una base fuerte a alta temperatura.

Historia
La síntesis de Madelung fue informada en 1912 por Walter Madelung, cuando observó que se sintetizaba 2-fenilindol usando N-benzoil-o-toluidina y dos equivalentes de etóxido de sodio en una reacción calentada, sin aire.
Condiciones
Las condiciones de reacción comunes incluyen el uso de alcóxido de sodio o potasio como base en solventes de hexano o tetrahidrofurano, a temperaturas que oscilan entre 200 y 400 °C. También se requiere un paso de hidrólisis en la síntesis. La síntesis de Madelung es importante porque es una de las pocas reacciones conocidas que producen indoles a partir de una ciclación térmica catalizada por bases de N-acil-o-toluidinas.
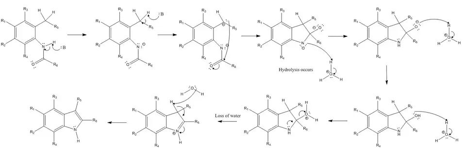
Mecanismo de reacción
La reacción comienza con la extracción de un hidrógeno del nitrógeno del sustituyente de amida y la extracción de un hidrógeno bencílico del sustituyente orto al sustituyente de amida por una base fuerte. A continuación, el carbanión resultante de la extracción de hidrógeno bencílico realiza un ataque nucleófilo sobre el carbono carbonílico electrofílico del grupo amida. Cuando esto ocurre, el enlace pi de la amida se convierte en un par solitario, creando un oxígeno cargado negativamente. Después de estos pasos iniciales, ya no se requiere una base fuerte y debe producirse hidrólisis. El nitrógeno cargado negativamente se protona para recuperar su carga neutra, y el oxígeno se protona dos veces para albergar una carga positiva para convertirse en un buen grupo saliente. Un par solitario del nitrógeno forma un enlace pi para expulsar al grupo saliente cargado positivamente, y también hace que el nitrógeno albergue una carga positiva. El paso final de la reacción es una reacción de eliminación (específicamente una reacción E2), que implica la extracción del otro hidrógeno que alguna vez fue bencílico, antes de que se formara el compuesto bicíclico, cuyos electrones se convierten en un nuevo enlace pi en el anillo sistema. Esto permite que el enlace pi formado por nitrógeno en el paso anterior se convierta nuevamente en un par solitario en nitrógeno para restaurar la carga neutra de nitrógeno.

Adelantos en mejorar condiciones de reacción
Este método se limita esencialmente a la preparación de 2-alquinilindoles (no fácilmente accesibles a través de la sustitución electrofílica aromática) debido a las condiciones de reacción vigorosas. Se han aplicado varias técnicas para aumentar el rendimiento del producto indol deseado. Cuando el anillo aromático tiene sustituyentes donadores de electrones, se obtienen rendimientos más altos, y lo contrario es cierto cuando el anillo aromático tiene sustituyentes receptores de electrones. Sin embargo, cuando el sustituyente R5 es un sustituyente que retira electrones, el rendimiento aumenta en lugar de disminuir. Además, la eficiencia de la reacción también depende en gran medida del volumen del sustituyente R6. Cuanto más voluminoso es este grupo, menos eficiente es la reacción. Las condiciones requeridas para la síntesis de Madelung son bastante severas. Afortunadamente, las modificaciones antes mencionadas se han aplicado desde entonces para mejorar su practicidad, trabajando para disminuir la temperatura requerida a la que se realiza la reacción y aumentar el rendimiento del producto deseado. Por ejemplo, cuando se colocan donadores de electrones en el anillo aromático de la N-fenilamida y se sustituye un sustituyente que retira electrones en R5, la temperatura requerida para la reacción disminuye a aproximadamente 25 °C. Aún más impresionante, los investigadores han descubierto que la temperatura requerida para la síntesis de Madelung disminuye a un rango de temperatura de −20-25 °C cuando se usan bases de butil litio (BuLi) y diisopropilamida de litio (LDA), y cuando se usa tetrahidrofurano como el solvente. Esta modificación particular, el uso de cualquiera de estas bases mediadas por metales, se denomina variación de Madelung-Houlihan.[1][2]
Aplicaciones sintéticas
La síntesis de Madelung tiene muchas aplicaciones importantes en química, bioquímica y química industrial. Esta reacción sirvió para sintetizar, con un rendimiento del 81%, el alcaloide indol tremorgénico arquitectónicamente complejo (-) - penitrem D, una molécula producida naturalmente por hongos ergot que causa diversas enfermedades musculares y neurológicas en el ganado. Debido a que esta toxina finalmente causa problemas económicos significativos en la industria ganadera, es muy importante comprender cómo sintetizar y descomponer fácilmente el alcaloide (-) - penitrem D. No obstante, la síntesis de una molécula tan compleja fue, por sí misma, una hazaña increíble.[3]
-penitrem_D.png)
-Penitrem_D.png)
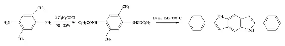
Otra faceta a través de la cual la síntesis de Madelung ha sido útil es la síntesis de 2,6-difenil-1,5-diaza-1,5-dihidro-s-indaceno, a partir de 2,5-dimetil-1,4-fenilendiamina..[4]

Esta síntesis se realizó sin modificación de la síntesis de Madelung, utilizando una base de etóxido de sodio a una temperatura de 320 - 330 °C. Este indaceno ha demostrado ser un diodo emisor de luz orgánico que puede tener aplicaciones importantes para pantallas de luz de bajo costo en la industria comercial.
Modificación de Smith
La síntesis de Madelung modificada por Smith, también llamada síntesis de indol de Smith, fue descubierta en 1986 por Amos Smith y su equipo de investigación. Esta síntesis emplea una reacción de condensación de reactivos de organolitio derivados de anilinas de 2-alquil-N-trimetilsililo por ésteres o ácidos carboxílicos para producir indoles sustituidos. Esta síntesis ha demostrado ser aplicable a una amplia variedad de anilinas sustituidas, incluidas aquellas con grupos alquilo, metoxi y haluro, y puede reaccionar con ésteres o lactonas no enolizables para producir intermedios de N-litiocetamina. Estos intermedios luego se someten a una olefinización Peterson de heteroátomo intramolecular para producir indolininas, que luego se tautomerizan a indoles 2-sustituidos. La síntesis de indol Smith es una de las modificaciones más importantes a la síntesis de Madelung.
Mecanismo de reacción del Herrero índole síntesis
La síntesis de indol de Smith comienza con el uso de dos equivalentes de un reactivo de organolitio (ya que los reactivos de organolitio son bases muy fuertes) para extraer un hidrógeno tanto del sustituyente alquilo como del nitrógeno, lo que resulta en una carga negativa en ambos. La síntesis continúa con un ataque nucleofílico del carbanión sobre el carbono carbonílico electrofílico del éster o ácido carboxílico. Cuando esto ocurre, el enlace pi del electrófilo se convierte en un par solitario en el oxígeno. Estos pares solitarios se reconvierten nuevamente en un enlace pi, lo que resulta en la expulsión del grupo -OR. A continuación, el nitrógeno cargado negativamente realiza un ataque nucleófilo sobre el carbono carbonílico electrófilo adyacente, lo que hace que el enlace pi del electrófilo se convierta en un par solitario en el oxígeno. Este oxígeno cargado negativamente realiza un ataque nucleófilo en el átomo de silicio del grupo trimetilsililo (TMS), lo que resulta en un compuesto tricíclico y un átomo de silicio cargado positivamente y un átomo de oxígeno neutro. La síntesis avanza a través de una olefinación intramolecular de heteroátomo de Peterson, que finalmente produce una reacción de eliminación que expulsa un grupo TMSO y forma un enlace pi en el anillo de cinco miembros en el átomo de nitrógeno. Luego, se produce el tautomerismo cetoenólico, que da como resultado el producto deseado.

Referencias
- ↑ Houlihan, William; Parrino, Uike (7 de mayo de 1981). «Lithiation of N-(2-Alkylphenyl)alkanamides and Related Compounds. A Modified Madelung Indole Synthesis». Journal of Organic Chemistry 46 (22): 4511-4515. doi:10.1021/jo00335a038.
- ↑ Gribble, Gordon (23 de marzo de 2000). «Recent developments in indole ring synthesis—methodology and applications». Journal of the Chemical Society, Perkin Transactions 1. Perkin Transactions 1 (7): 5. doi:10.1039/A909834H.
- ↑ Smith, Amos; Kanoh, Ishiyama; Minakawa, Rainier; Hartz, Cho; Cui, Moser (9 de julio de 2003). «Tremorgenic Indole Alkaloids. The Total Synthesis of (-)-Penitrem D». Journal of the American Chemical Society 125 (7): 8828-8837. PMID 12837093. doi:10.1021/ja034842k.
- ↑ Chen; Jin, Xu; Peng, Desseyn; Janssens, Heremans; Borghs, Geise (2 de septiembre de 2003). «Synthesis, optical and electroluminescent properties of a novel Indacene». Synthetic Metals 139 (2): 529-534. doi:10.1016/S0379-6779(03)00338-2.