Tetróxido de osmio

Tetraóxido de osmio
Nombre IUPAC
Tetraóxido de osmio
General
Otros nombres Óxido de osmio(VIII)
Fórmula semidesarrollada Estructura en Jmol
Fórmula estructural
Fórmula molecular OsO4
Identificadores
Número CAS 20816-12-0[1]
Número RTECS RN1140000
ChemSpider 28158
PubChem 30318
Propiedades físicas
Apariencia Cristales amarillo pálido - café
Densidad 4910 kg/; 4,91 g/cm³
Masa molar 254,23 g/mol
Punto de fusión 313,4 K (40 °C)
Punto de ebullición 402,85 K (130 °C)
Estructura cristalina Monoclínico, mS20
Propiedades químicas
Solubilidad en agua 65 g/L[2]
Peligrosidad
NFPA 704

0
4
1
OX
Frases R R26/27/28 R34
Frases S S1/2 S7/9 S26 S45
Riesgos
Ingestión Calambres abdominales, sensación de quemarse, shock o colapso. Enjuagar la boca, no dar nada de beber, descansar, atención médica.
Inhalación Sensación de quemarse, dolor de cabeza, respirar con dificultad, problemas visuales, los síntomas pueden aparecer con retardo. Dar aire fresco, ponerse en posición semiincorporada, respiración artificial si es necesaria, atención médica.
Piel Enrojecimiento, quemaduras, dolor, decoloración de la piel, ampollas. Enjuagar con abundante agua, remover ropa y volver a enjuagar, atención médica.
Ojos Enrojecimiento, dolor, problemas visuales, pérdida de visión, severas quemaduras profundas. Enjuagar con abundante agua, atención médica.
Valores en el SI y en condiciones estándar
(25 y 1 atm), salvo que se indique lo contrario.

El tetróxido de osmio, llamado también tetraóxido de osmio en la nomenclatura IUPAC,[3]​ es un compuesto químico con la fórmula OsO4. El compuesto es notable por sus muchos usos, a pesar de la rareza del osmio. También tiene un número de propiedades interesantes, siendo una de ellas que el sólido es volátil.

Propiedades físicas

Estructura cristalina del OsO4.[4]

El tetróxido de osmio existe como un sólido cristalino color amarillo pálido a café (simetría cristalina monoclínica[4]​) con un característico olor acre parecido al cloro.[5]​ El nombre del elemento osmio se deriva del griego osme, para olor. El OsO4 es volátil: se sublima a temperatura ambiente. Es soluble en un amplio rango de disolventes orgánicos y moderadamente soluble en agua, con la cual reacciona reversiblemente para formar ácido ósmico (ver más abajo).[6]​ El tetróxido de osmio puro es posiblemente incoloro[7]​ y se ha sugerido que su color amarillo es debido a impurezas de dióxido de osmio (OsO2)[8]​ aunque el dióxido de osmio normalmente existe como un polvo negro.[9]​ La molécula de tetróxido de osmio es tetraédrica y por lo tanto es no-polar. Esta no-polaridad ayuda al OsO4 a penetrar las membranas celulares cargadas. El OsO4 es 518 veces más soluble en CCl4 que en agua.

Estructura y configuración electrónica

Con una configuración electrónica d0, se espera que el Os(VIII) forme complejos tetraédricos cuando está enlazado a cuatro ligandos. Estructuras tetraédricas son observadas para los óxidos electrónicamente relacionados MnO4 y CrO42–.

El osmio en OsO4 tiene un estado de oxidación formal de +8, siendo el más alto estado de oxidación conocido para un metal de transición. El átomo de osmio tiene ocho electrones de la capa electrónica de valencia. Si se asume que dos electrones son donados por cada uno de los cuatro ligandos óxido, la cuenta total de electrones para el complejo es 16, tal como también se observa para las especies isoelectrónicas permanganato y cromato.

El alto estado de oxidación del osmio en este compuesto puede ser racionalizado por comparación de la química del grupo principal y la química de metales de transición. Así como los elementos en los grupos del 3 al 7 forman compuestos análogos a aquellos formados por elementos en los grupos del 13 al 17 (por ejemplo TiCl4 y GeCl4, VF5 y AsF5, CrO42− y SeO42−, etc.), se esperaría que los elementos en el grupo 8 formen compuestos análogos a aquellos formados por los gases nobles. Este es el caso, como se demuestra por la existencia de compuestos como OsO4 y XeO4.

Síntesis

El OsO4 es formado lentamente cuando el polvo de osmio reacciona con O2 a temperatura ambiente. La reacción de grandes cantidades de sólido requiere calentamiento a 400 °C.[10]

Os + 2 O2 → OsO4

Reacciones

Oxofluoruros

El osmio forma varios oxofluoruros, siendo todos ellos muy sensibles a la humedad. El compuesto púrpura cis-OsO2F4 se forma a 77 K en una disolución anhidra de HF:[11]

OsO4 + 2 KrF2cis-OsO2F4 + 2 Kr + O2

El OsO4 reacciona también con F2 para formar OsO3F2 amarillo:[12]

2 OsO4 + 2 F2 → 2 OsO3F2 + O2

EL OsO4 reacciona con un equivalente de [Me4N]F a 298 K y 2 equivalentes a 253 K:[10]

OsO4 + [Me4N]F → [Me4N][OsO4F]
OsO4 + 2 [Me4N]F → [Me4N]2[cis-OsO4F2]

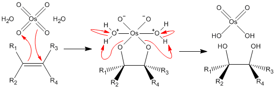
Oxidación de alquenos

El OsO4 cataliza la cis-dihidroxilación de alquenos por peróxido de hidrógeno o fuentes relacionadas de átomos de oxígeno en la presencia de agua. La reacción que es catalizada es:[13]

R2C=CR2 + H2O2 → R2C(OH)-C(OH)R2.

En términos de mecanismo, el OsVIIIO4 se adiciona a los alquenos R2C=CR2 para formar "ésteres" cíclicos R4C2O2OsVIO2, que se someten a hidrólisis para dar el diol vecinal y liberar un óxido de osmio reducido (OsVI):

Las bases de Lewis tales como aminas terciarias y piridinas incrementan la velocidad de reacción. Esta "aceleración por ligando" surge por medio de la formación del aducto OsO4L, que se adiciona más rápidamente al alqueno. Si la amina es quiral, entonces la dihidroxilación puede proceder con enantioselectividad (véase Dihidroxilación asimétrica de Sharpless).[13]

El OsO4 es usado en cantidades catalíticas debido a su toxicidad y alto costo. El catalizador de osmio es regenerado por agentes oxidantes, tales como el H2O2, N-óxido de N-metilmorfolina (NMO, véase dihidroxilación de Upjohn), y K3Fe(CN)6. Estos agentes oxidantes no reaccionan con los alquenos por sí solos. Otras fuentes de tetróxido de osmio incluyen el osmato (VI) de potasio dihidratado (K2OsO4·2H2O) y el cloruro de osmio (III) hidratado (OsCl3·xH2O) que se oxidan a osmio (VIII) en la presencia de tales oxidantes.[14]

Reacciones misceláneas

El OsO4 no reacciona con la mayoría de los carbohidratos.[15]​ Se disuelve en una disolución acuosa alcalina para dar el anión osmato OsO2(OH)42−.[16]​ El OsO4 es un ácido de Lewis, y cuando las bases de Lewis son aminas, Los óxidos pueden sufrir sustitución. Así, con el NH3 se obtiene el óxido nitrado:

OsO4 + NH3 + KOH → K[Os(N)O3] + 2 H2O

El anión [Os(N)O3]- es isoelectrónico e isoestructural con OsO4. Usando la amina primaria ter-BuNH2 se obtiene el correspondiente derivado imido:

OsO4 + 4 Me3CNH2 → Os(NCMe3)4 + 4 H2O

El OsO4 es muy soluble en terbutanol y es fácilmente reducido en solución por hidrógeno molecular al osmio metálico. El osmio metálico suspendido puede ser usado para catalizar la hidrogenación de una amplia variedad de compuestos orgánicos que contienen dobles o triples enlaces.

OsO4 + 4 H2 (g) → Os (s) + 4 H2O

El OsO4 sufre carbonilación reductiva con monóxido de carbono en metanol a 400 K y 200 bar de presión para producir el clúster triangular Os3(CO)12:

3 OsO4 + 24 CO → Os3(CO)12 + 12 CO2[10]

En esta reacción el osmio cambia su estado de oxidación por ocho unidades.

Usos

Síntesis orgánica

En síntesis orgánica el OsO4 es usado ampliamente para oxidar alquenos a dioles vecinales, adicionando dos grupos hidroxilo en el mismo lado (adición sin). Véase más arriba la reacción y el mecanismo. Esta reacción ha sido hecha tanto catalítica (dihidroxilación Upjohn) y asimétrica (dihidroxilación asimétrica de Sharpless).

El tetróxido de osmio es usado también en cantidades catalíticas en la oxiaminación de Sharpless para dar amino-alcoholes vecinales.

En combinación con peryodato de sodio, el OsO4 es usado para la ruptura oxidativa de alquenos (oxidación de Lemieux-Johnson) cuando el peryodato sirve tanto para romper el diol formado por dihidroxilación y para reoxidar el OsO3 de vuelta a OsO4. La transformación neta es idéntica a la producida por ozonólisis. Debajo, un ejemplo de tomado de la síntesis total de Isosteviol.[17]

Tinción biológica

El OsO4 es un agente de tinción ampliamente usado en microscopía electrónica de transmisión (TEM) para proveer contraste a la imagen.[18]​ Como tintor de lípidos, es útil también en la microscopía electrónica de barrido (SEM) como alternativa al recubrimiento metalizado. Se incorpora un metal pesado directamente en las membranas celulares, creando una alta emisión secundaria de electrones sin la necesidad de cubrir la membrana con una capa de metal, que puede obscurecer detalles de la membrana celular. En la tinción de la membrana plasmática, el tetróxido de osmio enlaza regiones de cabeza de fosfolípidos, creando así contraste con el protoplasma (citoplasma) vecino. Adicionalmente, el tetróxido de osmio es usado también para fijar muestras biológicas en conjunción con HgCl2. Sus rápidas habilidades mortales son usadas para matar rápidamente especímenes como protozoarios. El OsO4 estabiliza muchas proteínas transformándolas en geles sin destruir características estructurales. Las proteínas de tejidos que son estabilizadas por el OsO4 no son coaguladas por alcoholes durante la deshidratación.[15]​ El tetróxido de osmio es también usado como un tintor para lípidos en microscopía óptica.[19]​ El OsO4 también tiñe la córnea humana (véanse las consideraciones de seguridad más abajo).

Tinción de polímeros

Es usado también para teñir copolímeros preferentemente, siendo el mejor ejemplo conocido los copolímeros de bloque donde una fase puede ser teñida así como para mostrar la microestructura del material. Por ejemplo, los copolímero de bloque estireno-butadieno tienen una cadena central de polibutadieno con capas finales de poliestireno. Cuando es tratado con OsO4, la matriz de butadieno reacciona preferentemente y así absorbe el óxido. La presencia de un metal pesado es suficiente para bloquear el haz de electrones, así que los dominios del poliestireno son claramente vistos en películas delgadas en la TEM.

Osmeth

El OsO4 puede ser reciclado y almacenado en la forma de osmeth, un sólido cristalino dorado. El osmeth es tetraóxido de osmio en complejo con hexamina, una ventaja de este complejo es que no emite humos tóxicos de manera opuesta al OsO4 puro. Puede ser disuelto en tetrahidrofurano (THF) y diluido en una solución buffer acuosa para hacer una disolución de trabajo diluida (0.25%) de OsO4.[20]

Refinación del mineral de osmio

El OsO4 es un intermediario en la refinación del mineral de osmio. Los residuos de osmio son hechos reaccionar con Na2O2 formando aniones [OsO4(OH)2]2− que, cuando reaccionan con cloro gaseoso (Cl2) y son calentados, forman OsO4. El óxido es disuelto en NaOH alcohólico formando aniones [OsO2(OH)4]2− que, cuando reacciona con NH4Cl, forma OsO2Cl2(NH4)4. Esto es quemado bajo (H2) gaseoso dejando atrás osmio puro (Os).[6]

Aducto de buckminsterfullereno

El OsO4 permitió la confirmación del modelo de pelota de fútbol del buckminsterfullereno , un alótropo de carbón de 60 átomos. El aducto, formado a partir de un derivado de OsO4, fue C60(OsO4)(4-ter-butilpiridina)2. El aducto rompió la simetría del fullereno permitiendo la cristalización y confirmación de la estructura de C60 por cristalografía de rayos X.[21]

Consideraciones de seguridad

Etiqueta con advertencia de veneno.

El OsO4 Es altamente venenoso, incluso a bajos niveles de exposición, y debe ser manejado con las precauciones apropiadas. En particular, la inhalación a concentraciones mucho menores que las que puede ser percibido un olor pueden llevar a un edema pulmonar, y una subsecuente muerte. Pueden tomar horas después de la exposición en aparecer síntomas notables.

El OsO4 puede teñir la córnea humana, y puede llevar a la ceguera si no se observan las adecuadas precauciones de seguridad. El límite de exposición permisible para el tetróxido de osmio (en un tiempo de 8 horas para una persona con un peso promedio) es de 2 µg/m³.[5]​ El tetróxido de osmio puede penetrar plásticos y por tanto es almacenado en vidrio en un lugar frío.[15]

El 6 de abril de 2004 fuentes de inteligencia británicas creyeron haber frustrado un complot para detonar una bomba que incluía OsO4.[22]​ Expertos entrevistados por New Scientist confirmaron la toxicidad del tetróxido de osmio, aunque algunos resaltaron las dificultades de usarlo en un arma: el tetróxido de osmio es muy caro. El tetróxido de osmio puede ser destruido por la explosión; y los restantes humos tóxicos podrían ser dispersados por la explosión también.[23]

Referencias

  1. Número CAS
  2. Sicherheitsdatenblatt (Merck) Archivado el 7 de octubre de 2007 en Wayback Machine. (a 20 °C)
  3. Según el (Libro Rojo de la IUPAC) Recomendaciones de la IUPAC para la nomenclatura de compuestos inorgánicos 2005, texto completo en inglés, en formato pdf, el nombre tetróxido de osmio es incorrecto.
  4. a b Krebs B., Hasse K.D. (1976). «Refinements of the Crystal Structures of KTcO4, KReO4 and OsO4. The Bond Lengths in Tetrahedral Oxo-Anions and Oxides of d0 Transition Metals». Acta Crystallographica B 32: 1334-1337. doi:10.1107/S056774087600530X. 
  5. a b «Documentation for Immediately Dangerous to Life or Health Concentrations (IDLHs)». Centers for Disease Control. Consultado el 25 de octubre de 2010. 
  6. a b Mike Thompson. «Osmium tetroxide (OSO4. Universidad de Bristol. Consultado el 24 de agosto de 2007. 
  7. Ian S. Butler; John Frank Harrod (1989). Inorganic chemistry: principles and applications. Benjamin/Cummings. p. 343. ISBN 9780805302479. Consultado el 21 de junio de 2011. 
  8. Cotton (31 de agosto de 2007). Advanced Inorganic Chemistry, 6Th Ed. Wiley India Pvt. Ltd. p. 1002. ISBN 9788126513383. Consultado el 21 de junio de 2011. 
  9. «Alfa Aesar MSDS». Archivado desde el original el 12 de julio de 2013. Consultado el 25 de octubre de 2010. 
  10. a b c Housecroft, C. E.; Sharpe, A. G. (2004). Inorganic Chemistry (2ª edición). Prentice Hall. pp. 671-673, 710. ISBN 978-0130399137. 
  11. K. O. Christe, D. A. Dixon, H. G. Mack, H. Oberhammer, A. Pagelot, J. C. P. Sanders and G. J. Schrobilgen (1993). «Osmium tetrafluoride dioxide, cis-OsO2F4». J. Am. Chem. Soc. 115 (24): 11279-11284. doi:10.1021/ja00077a029. 
  12. Cotton, S. A. (1997). Chemistry of Precious Metals. London: Chapman and Hall. ISBN 0-7514-0413-6. 
  13. a b D. J. Berrisford, C. Bolm and K. B. Sharpless (1995). «Ligand-Accelerated Catalysis». Angewandte Chemie International Edition in English 34 (10): 1059-1070. doi:10.1002/anie.199510591. 
  14. Yasukazu Ogino, Hou Chen, Hoi-Lun Kwong and K. Barry Sharpless (1991). «On the timing of hydrolysis / reoxidation in the osmium-catalyzed asymmetric dihydroxylation of olefins using potassium ferricyanide as the reoxidant». Tetrahedron Letters 32 (32): 3965. doi:10.1016/0040-4039(91)80601-2. 
  15. a b c M. A. Hayat (2000). Principles and techniques of electron microscopy: biological applications. Cambridge University Press. pp. 45-61. ISBN 0521632870. 
  16. Thomas R. Dulski A manual for the chemical analysis of metals, ASTM International, 1996, ISBN 0-8031-2066-4 p. 130
  17. B. B. Snider, J. Y. Kiselgof and B. M. Foxman (1998). «Total Syntheses of (±)-Isosteviol and (±)-Beyer-15-ene-3β,19-diol by Manganese(III)-Based Oxidative Quadruple Free-Radical Cyclization». J. Org. Chem. 63 (22): 7945-7952. doi:10.1021/jo981238x. 
  18. Bozzola, John J.; Russell, Lonnie D. (1999). «Specimen Preparation for Transmission Electron Microscopy». Electron microscopy : principles and techniques for biologists. Sudbury, Mass.: Jones and Bartlett. pp. 21-31. ISBN 9780763701925. 
  19. F. Di Scipio et al. (2008). «A simple protocol for paraffin-embedded myelin sheath staining with osmium tetroxide for light microscope observation». Microscopy Research and Technique 71 (7): 497. PMID 18320578. doi:10.1002/jemt.20577. 
  20. Kiernan, J.A. Department of Anatomy & Cell Biology, The University of Western Ontario. Re: "Disposal" of Osmium Tetroxide "Waste" Archivado el 11 de julio de 2011 en Wayback Machine.
  21. J. M. Hawkins, A. Meyer, T. A. Lewis, S. Loren and F. J. Hollander (1991). «Crystal Structure of Osmylated C60: Confirmation of the Soccer Ball Framework». Science 252 (5003): 312-313. PMID 17769278. doi:10.1126/science.252.5003.312. 
  22. «Chemical 'bomb plot' in UK foiled». BBC News. 6 de abril de 2004. 
  23. Shaoni Bhattacharya (7 de abril de 2004). «Experts divided over poison bomb claim». New Scientist. Archivado desde el original el 21 de septiembre de 2008. Consultado el 18 de septiembre de 2011. 

Enlaces externos