Alqueno

El alqueno más simple de todos es el eteno.

Los alquenos son hidrocarburos insaturados que tienen doble enlace carbono-carbono en su molécula. Se puede decir que un alqueno es un alcano que ha perdido dos átomos de hidrógeno produciendo como resultado un enlace doble entre dos carbonos. Los alquenos cíclicos reciben el nombre de cicloalquenos.

Antiguamente se los denominaba como olefinas dadas las propiedades que presentaban sus representantes más simples, principalmente el eteno, para reaccionar con halógenos y producir óleos.

La Unión Internacional de Química Pura y Aplicada (IUPAC) recomendó usar el nombre "alqueno" sólo para hidrocarburos acíclicos con un solo doble enlace; alcadieno, alcatrieno, etc., o polieno para los hidrocarburos acíclicos con dos o más dobles enlaces; cicloalqueno, cicloalcadieno, etc. para los cíclico; y "olefina" para la clase general -cíclica o acíclica, con uno o más dobles enlaces.[1][2][3]

Los alquenos acíclicos, con un solo doble enlace y ningún otro grupo funcional (también conocidos como mono-enos) forman una serie homóloga de hidrocarburos con la fórmula general C
n
H
2n
}
con n igual o superior a 2 (es decir, dos hidrógenos menos que el alcano correspondiente). Cuando n es cuatro o más, son posibles isómeros, que se distinguen por la posición y conformación del doble enlace.

Los alquenos son compuestos generalmente incoloros no polares, algo similares a los alcanos pero más reactivos. Los primeros miembros de la serie son gases o líquidos a temperatura ambiente. El alqueno más simple, el etileno (C
2
H
4
) (o "eteno" en la nomenclatura IUPAC) es el compuesto orgánico producido a mayor escala industrialmente.[4]

Los compuestos aromáticos suelen dibujarse como alquenos cíclicos, sin embargo, su estructura y propiedades son lo suficientemente distintas como para no clasificarlos como alquenos u olefinas.[2]​ Los hidrocarburos con dos dobles enlaces superpuestos (C=C=C) se denominan alenos (el compuesto más simple de este tipo se denomina a su vez propadieno) y los que tienen tres o más enlaces superpuestos (C=C=C=C, C=C=C=C=C, etc.) se denominan cumulenos. Ya que los alquenos son un sinnúmero de propiedades

Fórmula

La fórmula general de un alqueno de cadena abierta con un solo doble enlace es CnH2n. Por cada doble enlace adicional habrá dos átomos de hidrógeno menos de los indicados en esta fórmula.

Nombres tradicionales

Al igual que ocurre con otros compuestos orgánicos, algunos alquenos se conocen todavía por sus nombres no sistemáticos, en cuyo caso se sustituye la terminación -eno sistemática por -ileno, como es el caso del eteno que en ocasiones se llama etileno, o propeno por propileno.

Nomenclatura sistemática (IUPAC)

1. Nombrar al hidrocarburo principal: Se ha de encontrar la cadena carbonada más larga que contenga el enlace doble, no necesariamente la de mayor tamaño, colocando los localizadores que tengan el menor número en los enlaces dobles, numerando los átomos de carbono en la cadena comenzando en el extremo más cercano al enlace doble. NOTA: Si al enumerar de izquierda a derecha como de derecha a izquierda, los localizadores de las insaturaciones son iguales, se busca que los dobles enlaces tenga menor posición o localizador más bajo.

2. Si la cadena principal tiene sustituyentes iguales en el mismo átomo de carbono separando por comas los números localizadores que se repiten en el átomo, estos se separan por un guion de los prefijos: di, tri, tetra, etc. Respectivamente al número de veces que se repita el sustituyente.

3. Los sustituyentes se escriben de acuerdo con el orden alfabético con su respectivo localizador químico.

4. Si en la cadena principal existen varios sustituyentes ramificados iguales se coloca el número localizador en la cadena principal separando por un guion, y se escribe el prefijo correspondiente al número de veces que se repita con los prefijos: bis, tris, tetraquis, pentaquis, etc. Seguido de un paréntesis dentro del cual se nombra al sustituyente complejo con la terminación -IL.

5. Realizado todo lo anterior con relación a los sustituyentes, se coloca el número de localizador del doble enlace en la cadena principal separada de un guion, seguido del nombre de acuerdo con el número de átomos de carbono reemplazando la terminación -ano por el sufijo -eno.

6. Si se presentan más de un enlace doble, se nombra indicando la posición de cada uno de los dobles enlaces con su respectivo número localizador, se escribe la raíz del nombre del alqueno del cual proviene, seguido de un prefijo de cantidad: di, tri, tetra, etc. y utilizando el sufijo -eno. Ej:-dieno, -trieno y así sucesivamente.

7. De estar el alqueno fuera de la cadena principal, este se nombra como sustituyente con la terminación “-enilo", contando al carbono unido a la cadena principal como el carbono número 1.

Fórmula Recomendaciones IUPAC-1979 Recomendaciones IUPAC-1993[5][6]
localizador - prefijo de número átomos C (acabado en -eno) prefijo de número átomos C - localizador -eno
CH3-CH2-CH=CH2 1-buteno but-1-eno
Fórmula Recomendaciones IUPAC-1979 Recomendaciones IUPAC-1993
localizador - prefijo de número átomos C (acabado en -eno) prefijo de número átomos C - localizador -eno
1-penteno
1-penteno
pent-1-eno
ciclohex-1-eno numerado
1-ciclohexeno ciclohex-1-eno
but-2-eno
2-buteno but-2-eno
hept-3-eno
3-hepteno hept-3-eno
buta-1,3-dieno
1,3-butadieno buta-1,3-dieno
octa-1,3,6-trieno
1,3,6-octatrieno octa-1,3,6-trieno
cicloocta-1,3,5,7-tetraeno
1,3,5,7-ciclooctatetraeno cicloocta-1,3,5,7-tetraeno
3-metil -but-1-eno
3-metil-1-buteno 3-metil -but-1-eno

Isomería estructural

Los alquenos que tienen cuatro o más átomos de carbono pueden formar diversos isómeros estructurales. La mayoría de los alquenos son también isómeros de cicloalcanos. Los isómeros estructurales de alquenos acíclicos con un solo doble enlace son los siguientes:[7]

  • C
    2
    H
    4
    : Sólo etileno.
  • C
    3
    H
    6
    : propileno solamente
  • C
    4
    H
    8
    : 3 isómeros: 1-buteno, 2-buteno, e isobutileno.
  • C
    5
    H
    10
    : 5 isómeros: 1-penteno, 2-penteno, 2-metil-1-buteno, 3-metil-1-buteno, 2-metil-2-buteno.
  • C
    6
    H
    12
    : 13 isómeros: 1-hexeno, 2-hexeno, 3-hexeno, 2-metil-1-penteno, 3-metil-1-penteno, 4-metil-1-penteno, 2-metil-2-penteno, 3-metil-2-penteno, 4-metil-2-penteno, 2,3-dimetil-1-buteno, 3,3-dimetil-1-buteno, 2,3-dimetil-2-buteno, 2-etil-1-buteno.

Muchas de estas moléculas presentan cis-trans. También puede haber átomos de carbono chiral, especialmente en las moléculas más grandes (de C
5
). El número de isómeros potenciales aumenta rápidamente con átomos de carbono adicionales.

Estructura electrónica del enlace doble C=C

Utilizaremos el eteno como ejemplo de compuesto con doble enlace C=C. El doble enlace tiene dos componentes: el enlace tipo σ y el enlace tipo π. Los dos átomos de carbono que comparten el enlace tienen una hibridación sp2, hibridación resultante de la mezcla de un orbital 2s y dos orbitales 2p, lo cual conduce a la formación de tres orbitales sp2 de geometría trigonal plana. Al combinarse estos orbitales sp2 los electrones compartidos forman un enlace σ, situado entre ambos carbonos.

En la primera figura puede observarse el radical metilo, con un orbital sp2 que enlaza a un átomo de hidrógeno al carbono. En la segunda figura se aprecia la formación del enlace π (línea de puntos); que se forma mediante el solapamiento de los dos orbitales 2p perpendiculares al plano de la molécula. En este tipo de enlace los electrones están deslocalizados alrededor de los carbonos, por encima y por debajo del plano molecular.

Estructura y enlace

Unión

Etileno (ethene), mostrando el enlace pi en verde

Un doble enlace carbono-carbono está formado por un enlace sigma y un enlace pi. Este doble enlace es más fuerte que un enlace covalente sencillo (611 kJ/mol para C=C frente a 347 kJ/mol para C-C), pero no el doble de fuerte. Los dobles enlaces son más cortos que los enlaces simples, con una longitud de enlace media de 1,33 Å (133 pm) frente a 1,53 Å para un enlace simple C-C típico.[8]

Cada átomo de carbono del doble enlace utiliza sus tres sp2 orbitales híbridos para formar enlaces sigma con tres átomos (el otro átomo de carbono y dos átomos de hidrógeno). Los orbitales atómicos 2p no hibridados, que se encuentran perpendiculares al plano creado por los ejes de los tres orbitales híbridos sp², se combinan para formar el enlace pi. Este enlace se encuentra fuera del eje principal C-C, con la mitad del enlace en un lado de la molécula y la otra mitad en el otro. Con una fuerza de 65 kcal/mol, el enlace pi es significativamente más débil que el enlace sigma.

La rotación alrededor del doble enlace carbono-carbono está restringida porque romper la alineación de los orbitales ps de los dos átomos de carbono supone un coste energético. En consecuencia, los isómeros cis o trans se interconvierten tan lentamente que pueden manipularse libremente en condiciones ambientales sin isomerización. Los alquenos más complejos pueden nombrarse con la notación E-Z para moléculas con tres o cuatro sustituyentes (grupos laterales) diferentes. Por ejemplo, de los isómeros del buteno, los dos grupos metilo del (Z)-but-2-eno (también conocido como cis-2-buteno) aparecen en el mismo lado del doble enlace, y en el (E)-but-2-eno (también conocido como trans-2-buteno) los grupos metilo aparecen en lados opuestos. Estos dos isómeros del buteno tienen propiedades distintas.

Forma

Tal y como predice el modelo VSEPR de repulsión de pares de electrones, la geometría molecular de los alquenos incluye ángulos de enlace alrededor de cada átomo de carbono en un doble enlace de unos 120°. El ángulo puede variar debido a la tensión estérica introducida por interacciones no enlazantes entre grupos funcionaless unidos a los átomos de carbono del doble enlace. Por ejemplo, el ángulo de enlace C-C-C en el propileno es de 123,9°.

Para los alquenos puenteados, la regla de Bredt establece que un doble enlace no puede producirse en la cabeza de puente de un sistema de anillos puenteados a menos que los anillos sean lo suficientemente grandes.[9]​ Siguiendo a Fawcett y definiendo S como el número total de átomos sin cabeza de puente en los anillos,[10]​ los sistemas bicíclicos requieren S ≥ 7 para la estabilidad[9]​ y los sistemas tricíclicos requieren S ≥ 11.[11]

Energía de enlace

Energéticamente, el doble enlace se forma mediante la edición de dos tipos de enlace, el σ y el π. La energía de dichos enlaces se obtiene a partir del cálculo del solapamiento de los dos orbitales constituyentes, y en este caso el solapamiento de los orbitales sp2 es mucho mayor que los orbitales p (el primero crea el enlace σ y el segundo el π) y por tanto la componente σ es bastante más energética que la π. La razón de ello es que la densidad de los electrones en el enlace π están más alejados del núcleo del átomo. Sin embargo, a pesar de que el enlace π es más débil que el σ, la combinación de ambos hace que un doble enlace sea más fuerte que un enlace simple.

Síntesis

Los alquenos se producen por cracking de hidrocarburos. Las materias primas son principalmente componentes del condensado de gas natural (principalmente etano y propano) en EE. UU. y Oriente Medio y nafta en Europa y Asia. Los alcanos se rompen a altas temperaturas, a menudo en presencia de un catalizador de zeolita, para producir una mezcla de alquenos principalmente alifáticos y alcanos de menor peso molecular. La mezcla depende de la materia prima y de la temperatura, y se separa mediante destilación fraccionada. Esto se utiliza principalmente para la fabricación de pequeños alquenos (hasta seis carbonos).[12]

Cracking de n-octano para dar pentano y propeno
Cracking de n-octano para dar pentano y propeno

En relación con esto está la deshidrogenación catalítica, en la que un alcano pierde hidrógeno a altas temperaturas para producir un alqueno correspondiente. Es la inversa de la hidrogenación catalítica de alquenos.

Deshidrogenación del butano para dar butadieno e isómeros del buteno
Deshidrogenación del butano para dar butadieno e isómeros del buteno

.

Este proceso también se conoce como reformado. Ambos procesos son endotérmicos y son impulsados hacia el alqueno a altas temperaturas por la entropía.

La síntesis catalítica de α-alquenos superiores (del tipo RCH=CH2) también puede lograrse mediante una reacción del etileno con el compuesto organometálico trietilaluminio. trietilaluminio en presencia de níquel, cobalto o platino.

Los alquenos se pueden sintetizar mediante las siguientes reacciones:

  • Por cambio de grupo funcional
Deshidrohalogenación
CH3CH2Br + KOHCH2=CH2 + H2O + KBr
Deshidratación
La eliminación de agua a partir de alcoholes, por ejemplo:
CH3CH2OH + H2SO4 → CH3CH2OSO3H + H2O → H2C=CH2 + H2SO4 + H2O
También por la reacción de Chugaev y la reacción de Grieco.
Deshalogenación
BrCH2CH2Br + Zn → CH2=CH2 + ZnBr2
Pirólisis (con calor)
CH3(CH2)4CH3 → CH2=CH2 + CH3CH2CH2CH3
Reacción de Bamford-Stevens
Reacción de Barton-Kellogg


  • Por formación de enlaces carbono-carbono
Reacción de Wittig
Olefinación de Julia
Olefinación de Horner-Waddsworth-Emmons
  • Por reacciones de acoplamiento con metales:
Reacción de Heck
Reacción de Suzuki
Acoplamiento de Hiyama
Acoplamiento de Stille

Propiedades físicas

La presencia del doble enlace modifica ligeramente las propiedades físicas de los alquenos frente a los alcanos. De ellas, la temperatura de ebullición es la que menos se modifica. La presencia del doble enlace se nota más en aspectos como la polaridad y la acidez.

Muchas de las propiedades físicas de los alquenos y alcanos son similares: son incoloros, no polares y combustibles. El estado físico depende de la masa molecular: al igual que los hidrocarburos saturados correspondientes, los alquenos más simples (etileno, propileno y buteno) son gases a temperatura ambiente. Los alquenos lineales de aproximadamente cinco a dieciséis átomos de carbono son líquidos, y los alquenos superiores son sólidos cerosos. El punto de fusión de los sólidos también aumenta con el incremento de la masa molecular.

Los alquenos suelen tener olores más fuertes que sus correspondientes alcanos. El etileno tiene un olor dulce y rancio. Los alquenos colados, en particular, como el norborneno y el trans-cicloocteno son conocidos por tener olores fuertes y desagradables, un hecho coherente con los complejos π más fuertes que forman con iones metálicos, incluido el cobre.[13]

Polaridad

Dependiendo de la estructura, puede aparecer un momento dipolar débil. El enlace alquilo-alquenilo está polarizado en la dirección del átomo con orbital sp2, ya que la componente s de un orbital sp2 es mayor que en un sp3 (esto podría interpretarse como la proporción de s a p en la molécula, siendo 1:2 en sp2 y 1:3 en sp3, aunque dicha idea es simplemente intuitiva). Esto se debe a que los electrones situados en orbitales híbridos con mayor componente s están más ligados al núcleo que los p, por tanto el orbital sp2 es ligeramente atrayente de electrones y aparece una polarización neta hacia él. Una vez que tenemos polaridad en el enlace neta, la geometría de la molécula debe permitir que aparezca un momento dipolar neto en la molécula, como se aprecia en la figura inferior.

La primera molécula es cis y tenemos un momento dipolar neto, pero la segunda trans, pese a tener dos enlaces ligeramente polarizados el momento dipolar neto es nulo al anularse ambos momentos dipolares.

Acidez

El carbono alquenílico tiene mayor acidez frente a los alcanos, debido también a la polaridad del enlace. Así, el etano (alcano) tiene un pKa de 50 (o un Ka de 10-50) frente al pKa = 44 del eteno. Este hecho se explica fácilmente considerando que, al desprenderse un protón de la molécula, queda una carga negativa remanente que en el caso del eteno se deslocaliza más fácilmente en el enlace π y σ que en el enlace σ simple que existe en un alcano. De todas formas, su acidez es menor que la de los alcoholes o los ácidos carboxílicos.

Reacciones

Los alquenos son más reactivos que los alcanos. Sus reacciones características son las de adición de otras moléculas, como haluros de hidrógeno, hidrógeno y halógenos. También sufren reacciones de polimerización, muy importantes industrialmente.

  1. Hidrohalogenación: se refiere a la reacción con haluros de hidrógeno formando alcanos halogenados del modo CH3-CH2=CH2 + HX → CH3CHXCH3. Por ejemplo, halogenación con el ácido HBr:

Estas reacciones deben seguir la Regla de Markovnikov de enlaces dobles.

  1. Hidrogenación: se refiere a la hidrogenación catalítica (usando Pt, Pd, o Ni) formando alcanos del modo CH2=CH2 + H2 → CH3CH3.
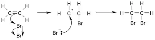
  2. Halogenación: se refiere a la reacción con halógenos (representados por la X) del modo CH2=CH2 + X2XCH2CH2X. Por ejemplo, halogenación con bromo:

  1. Polimerización: Forman polímeros del modo n CH2=CH2 → (-CH2-CH2-)n polímero, (polietileno en este caso).

Véase también

Referencias

  1. Unión Internacional de Química Pura y Aplicada. «alkenes». Compendium of Chemical Terminology. Versión en línea (en inglés).
  2. a b Unión Internacional de Química Pura y Aplicada. «olefins». Compendium of Chemical Terminology. Versión en línea (en inglés).
  3. Moss, G. P.; Smith, P. A. S.; Tavernier, D. (1995). «Glosario de nombres de clases de compuestos orgánicos e intermediarios reactivos basado en la estructura (Recomendaciones de la IUPAC 1995)». Pure and Applied Chemistry 67 (8-9): 1307-1375. S2CID 95004254. 
  4. «Producción: El crecimiento es la norma». Chemical and Engineering News 84 (28): 59-236. 10 de julio de 2006. 
  5. Apuntes de formulación orgánica Archivado el 17 de marzo de 2010 en Wayback Machine.. Grupo Lentiscal.
  6. Introducción a la nomenclatura IUPAC de compuestos orgánicos. Eugenio Alvarado. Universidad de Costa Rica.
  7. «Número de derivados del etileno con n átomos de carbono» (A000631). 
  8. Smith, Michael B.; March, Jerry (2007), Advanced Organic Chemistry: Reactions, Mechanisms, and Structure (6th ed.), New York: Wiley-Interscience, p. 23, ISBN 978-0-471-72091-1
  9. a b Bansal, Raj K. (1998). «Regla de Bredt». Mecanismos de Reacción Orgánica (3ª edición). McGraw-Hill Education. pp. 14-16. ISBN 978-0-07-462083-0. 
  10. Fawcett, Frank S. (1950). «Regla de Bredt de los dobles enlaces en estructuras de anillos con puentes atómicos». Chem. Rev. 47 (2): 219-274. PMID 24538877. doi:10.1021/cr60147a003. 
  11. «Regla de Bredt». Reacciones y reactivos orgánicos completos 116. 2010. pp. 525-528. ISBN 978-0-470-63885-9. doi:10.1002/9780470638859.conrr116. 
  12. Wade, L.G. (2006). Química Orgánica (6ª edición). Pearson Prentice Hall. pp. 309. ISBN 978-1-4058-5345-3. 
  13. Duan, Xufang; Block, Eric; Li, Zhen; Connelly, Timothy; Zhang, Jian; Huang, Zhimin; Su, Xubo; Pan, Yi et al. (2012- 02-28). «Función crucial del cobre en la detección de odorantes de coordinación metálica». Proceedings of the National Academy of Sciences of the United States of America 109 (9): 3492-3497. Bibcode:2012PNAS..109.3492D. ISSN 0027-8424. PMC 3295281. PMID 22328155. 

Enlaces externos