Síntesis de quinolinas de Pfitzinger
La síntesis de quinolinas de Pfitzinger (también conocida como Reacción de Pfitzinger-Borsche) es un método de síntesis orgánica en la que se obtienen ácidos 4-quinolinacarboxílicos a partir de la reacción de la isatina con un compuesto carbonílico en presencia de base.[1][2]

Varios análisis han sido publicados.[3][4][5]
Mecanismo de reacción

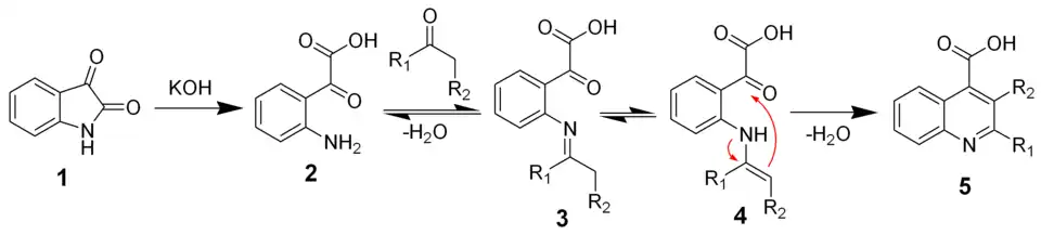
La base (Por ejemplo, hidróxido de potasio) hidroliza el enlace amida para dar como intermediario el cetoácido 2. Este intermediario puede ser aislado. Una cetona o aldehído reacciona con la anilina para formar su imina correspondiente (3), la cual tautomeriza a la enamina (4). La enamina cicliza y se deshidrata para obtener la quinolina esperada (5).
Variaciones
Variación de Halberkann

La reacción de N-acilisatinas en presencia de base da como productos ácidos 2-hidroxi-quinolina-4-carboxílicos.[6]
Referencias
- ↑ Pfitzinger, W. J. Prakt. Chem. 1886, 33, 100.
- ↑ Pfitzinger, W. J. Prakt. Chem. 1888, 38, 582.
- ↑ Manske, R. H. Chem. Rev. 1942, 30, 126. (Review)
- ↑ Bergstrom, F. W. Chem. Rev. 1944, 35, 152. (Review)
- ↑ Shvekhgeimer, M. G.-A. Chemistry of Heterocyclic Compounds 2004, 40, 257-294. (Review, doi 10.1023/B:COHC.0000028623.41308.e5)
- ↑ Halberkann, J. Ber. 1921, 54, 3090.
Véase también
- Síntesis de quinolinas de Combes
- Síntesis de quinolinas de Doebner
- Síntesis de quinolinas de Gould-Jacobs
- Síntesis de quinolinas de Knorr
- Síntesis de quinolinas de Riehm
- Síntesis de quinolinas de Skraup
- Síntesis de quinolinas de Friedländer
- Síntesis de quinolinas de Conrad-Limpach
- Síntesis de quinolinas de Camps
- Síntesis de quinolinas de Doebner-Miller