Síntesis de quinolinas de Combes
La Síntesis de quinolinas de Combes es un método de síntesis orgánica que implica la condensación de una anilina primaria (1) con una β-dicetona (2) para formar una quinolina sustituidas (4).[1][2]

Mecanismo
El método consta de dos etapas:
- Formación de la base de Schiff de la anilina con la cetona.
- Ciclización debido a la activación del anillo aromático por el átomo de nitrógeno. El anillo ataca en la posición orto al carbonilo en un mecanismo de sustitución electrófila aromática.
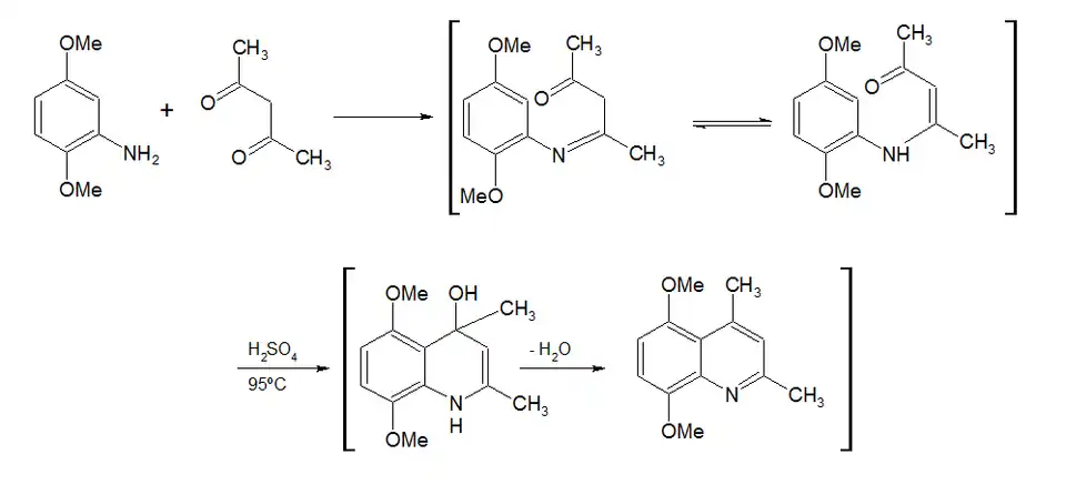
Se presenta el siguiente ejemplo:[3]

Referencias
- ↑ Combes, A. Bull. Chim. Soc. France 1888, 49, 89.
- ↑ Bergstrom, F. W. Chem. Rev. 1944, 35, 156. (Review)
- ↑ Long, R. and Schofield, K. (1953). J. Chem. Soc: 3161.
Véase también
- Síntesis de quinolinas de Doebner
- Síntesis de quinolinas de Gould-Jacobs
- Síntesis de quinolinas de Knorr
- Síntesis de quinolinas de Riehm
- Síntesis de quinolinas de Skraup
- Síntesis de quinolinas de Pfitzinger
- Síntesis de quinolinas de Friedländer
- Síntesis de quinolinas de Conrad-Limpach
- Síntesis de quinolinas de Niementowski
- Síntesis de quinolinas de Doebner-Miller