Reacción de transposición

Una reacción de transposición o de rearreglo define a una clase muy amplia de reacciones orgánicas donde el esqueleto de carbono de una molécula sufre un reordenamiento para producir un isómero estructural de la molécula original.[1]​ A menudo un sustituyente se mueve de un átomo a otro dentro de la misma molécula. En el ejemplo bajo estas líneas el sustituyente R se desplaza del átomo de carbono 1 al átomo de carbono 2:

También se producen transposiciones o rearreglos intermoleculares.

Un rearreglo no se encuentra bien representado por transferencias simples y discretas de electrones (que en los textos de química orgánica se representan por medio de flechas curvas). El verdadero mecanismo por el cual se mueven grupos alquilo, como ocurre en el rearreglo de Wagner-Meerwein, probablemente implica la transferencia fluida a lo largo de un enlace del grupo alquilo móvil, sin que se produzcan formaciones o rupturas iónicas de enlaces. En las reacciones pericíclicas, la explicación por medio de la interacción de orbitales brinda una mejor imagen que la simple transferencia de electrones discretos. Sin embargo, es posible dibujar flechas curvas para una secuencia de transferencias de electrones discretos que llevan al mismo resultado que una reacción de rearreglo, aunque la representación no sea necesariamente realista. En los rearreglos alílicos, la reacción es, ciertamente, iónica.

Tres reacciones de rearreglo claves son los rearreglos 1,2, reacciones pericíclicas y la metatesis de olefinas.

Rearreglos 1,2

Un rearreglo 1,2 es una reacción orgánica donde un sustituyente se mueve de un átomo a otro átomo dentro de la misma molécula. En un desplazamiento 1,2 involucra a dos átomos adyacentes pero se pueden producir movimientos sobre distancias mayores. Algunos ejemplos son los rearreglos de Wagner-Meerwein:

Wagner-Meerwein

y los rearreglos de Beckmann:

rearreglo de Beckmann

Reacciones pericíclicas

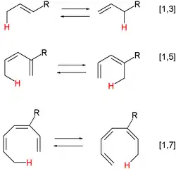
Una reacción pericíclica es un tipo de reacción con múltiples enlaces carbono-carbono rompiéndose y formándose mientras el estado de transición de la molécula posee una geometría cíclica, y la reacción procede de manera concertada. Un ejemplo son los desplazamientos de hidruros

Sigmatropic Hydride Shifts

y los rearreglo de Claisen:

Claisen rearrangement

Metatesis de olefinas

La metatesis de olefinas es el intercambio formal de fragmentos alquilideno entre dos alquenos. Se trata de una reacción catalítica con intermediarios carbeno, o más precisamente, intermediarios de tipo complejo carbeno-metal de transición.

General mechanism olefin metathesis

En este ejemplo, un compuesto vinílico se dimeriza con la expulsión de un eteno.

Véase también

Referencias

  1. March, Jerry (1985), Advanced Organic Chemistry: Reactions, Mechanisms, and Structure (3rd edición), New York: Wiley, ISBN 0-471-85472-7 .