Reacción de Perkow
La reacción de Perkow es una reacción orgánica en la que un fosfito de trialquilo reacciona con un halocetona para formar un fosfato de vinilo dialquílico y un halogenuro de alquilo.[1]

Está relacionada con la reacción de Michaelis-Arbuzov, en donde los mismos reactivos se utilizan para formar un β-cetofosfonato, el cual es un reactivo importante en la reacción de Horner–Wadsworth–Emmons en la síntesis de alquenos. La reacción de Perkow se considera una reacción secundaria de las reacciones mencionadas.
Es nombrada por el químico alemán Werner Perkow (1915–1994).
Mecanismo de reacción
La sal del éster de fosfito está sujeto a la tautomería ceto-enol, predominando el isómero enol. El mecanismo de reacción de la reacción de Perkow consiste en una adición nucleofílica del éster de fosfito al carbono carbonílico, formando un intermediario zwitteriónico. El intermediario zwitteriónico se reorganiza a una especie catiónica al tiempo que elimina el halogenuro. La especie catiónica luego se desalquila a través de un segundo desplazamiento nucleofílico en el que el anión haluro ataca a uno de los sustituyentes alcóxido del fosfito, produciendo fosfato de enol:[2]
Aplicaciones
La reacción de Perkow se ha aplicado en la síntesis de un nuevo repelente de insectos basado en hexacloroacetona y trietilfosfito, el cual es capaz de participar en una cicloadición secundaria [4 + 3] con furano a través de la acción de la base 2,2,2-trifluoroetóxido de sodio. Los autores reportaron un rendimiento regular.[3]
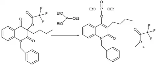
La reacción de Perkow también se usa en la síntesis de nuevas quinolinas.[4] Cuando el sustituyente es n-butilo, el producto de reacción es el aducto clásico de Perkow. En esta reacción, el grupo saliente es un grupo acilo deficiente en electrones (debido a la presencia de tres grupos flúor). Cuando el sustituyente, por otro lado, es fenilo (no mostrado), el fosfito tiene preferencia por la reacción con el grupo acilo que conduce a un etil enol éter. La clave para explicar la diferencia en la reactividad es la densidad de electrones en el átomo de carbono α-ceto.
Los fosfatos de aril enol formados con buenos rendimientos (aprox. 90%) en la reacción de Perkow pueden usarse como reactivos de fosforilación, pudiendo ser capaces de transformar el AMP en ATP.[5]
Véase también
Referencias
- ↑ Perkow, W. Chemische Berichte 1954, 87, 755–758
- ↑ Organophosphorus chemistry. XVII. Kinetics and mechanism of the Perkow reaction Irving J. Borowitz , Steven Firstenberg , Grace B. Borowitz , David Schuessler J. Am. Chem. Soc.; 1972; 94 pp 1623–28; doi 10.1021/ja00760a032
- ↑ Hexachloroacetone as a Precursor for a Tetrachloro-substituted Oxyallyl Intermediate: [4+3] Cycloaddition to Cyclic 1,3-Dienes Baldur Föhlisch and Stefan Reiner Molecules 2004, 9, 1-10 Online Article
- ↑ New Modification of the Perkow Reaction: Halocarboxylate Anions as Leaving Groups in 3-Acyloxyquinoline-2,4(1H,3H)-dione Compounds Oldrich Paleta, Karel Pomeisl, Stanislav Kafka, Antonin Klasek, Vladislav Kubelka Beilstein Journal of Organic Chemistry 2005 Online Article
- ↑ T. Moriguchi, K. Okada, K. Seio, and M. Sekine. "Synthesis and Stability of 1-Phenylethenyl Phosphate Derivatives and their Phosphoryl Transfer Activity", Letters in Organic Chemistry, 1 (2):140-144, 2004


