Reacción de Pauson-Khand
La reacción de Pauson-Khand (o PKR o reacción tipo PK) es una reacción orgánica se describe como una cicloadición [2 +2 +1] entre un alquino, un alqueno y monóxido de carbono para formar una α, β-ciclopentenona.[1][2] Esta reacción fue mediada originalmente por cantidades estequiométricas de octacarbonilo de dicobalto, pero esto ha sido sustituido por sistemas de catalizadores nuevos y más eficientes.[3][4]

Con alquenos o alquinos asimétricos la regioselectividad es siempre un problema, pero esta dificultad disminuye en reacciones intramoleculares.[5]

La reacción funciona con alquinos terminales e internos a pesar de que los alquinos internos tienden a dar rendimientos más bajos. El orden de reactividades para alquenos se muestran en orden descendente:
- alqueno cíclico> alqueno terminal> alquenos disustituidos > alquenos trisustituidos.
Los alquenos que son inadecuados para esta reacción son los tetrasustituidos y los que contengan grupos electroatractores.[6]
Mecanismo
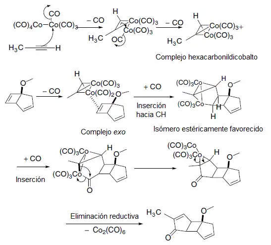
Como se puede observar a continuación, el octacarbonil dicolbalto se coordina con los enlaces π del alquino para desplazar una molécula de monóxido de carbono para formar un complejo organometálico de hexacarbonilo. Seguido de esto, se forma un enlace de coordinación π con el alqueno con una configuración exo. Una molécula de monóxido de carbono se inserta en el complejo formado, en donde los electrones sufren un reacomodo para así dar la ciclopentenona.[7]

Variaciones
El catalizador de Wilkinson puede catalizar una reacción PK pero requiere triflato de plata como cocatalizador.[8]

El hexacarbonil molibdeno es un donador de monóxido de carbono en reacciones tipo Pauson-Khand entre alenos y alquinos con dimetil sulfóxido en tolueno.[9]

El ciclobutadieno también puede participar en la cicloadición [2+2+1] aunque se prefiere generarlo in situ por descomplejación del tricarbonil ciclobutadienil hierro con nitrato cérico amónico (NH4)2Ce(NO3)6 (CAN)[10]

Véase también
Referencias
- ↑ P. L. Pauson and I. U. Khand. Ann. N.Y. Acad. Sci. 1977, 295, 2.
- ↑ Blanco-Urgoiti, J.; Añorbe, L.; Pérez-Serrano, L.; Domínguez, G.; Pérez-Castells, J. Chem. Soc. Rev. 2004, 33, 32. doi 10.1039/b300976a
- ↑ Schore, N. E. Org. React., 1991, 40, 1. (doi:10.1002/0471264180.or040.01)
- ↑ S. E. Gibson and A. Stevenazzi, Angew. Chem. Int. Ed., 2003, 42, 1800-1810. doi 10.1002/anie.200200547
- ↑ Jeong, Nakcheol; Hwang, Sung Hee; Lee, Youngshin; Chung, Young Keun (1994). «Catalytic version of the Intramolecular Pauson-Khand Reaction». Journal of the American Chemical Society 116 (7): 3159. doi:10.1021/ja00086a070.
- ↑ Strategic applications of named reactions in organic synthesis: background and details mechanisms 2007 László Kürti,Barbara Czakó
- ↑ Mukai, C.; Nomura, I.; Kitagaki, S. J. Org. Chem. 2003, 68, 1376.
- ↑ Pauson–Khand-type reaction mediated by Rh(I) catalysts Nakcheol Jeong, Byung Ki Sung, Jin Sung Kim, Soon Bong Park,Sung Deok Seo, Jin Young Shin, Kyu Yeol In, and Yoon Kyung Choi Pure Appl. Chem., Vol. 74, No. 1, pp. 85–91, 2002. (Online article)
- ↑ Kent, J (1995). «A new allenic Pauson-Khand cycloaddition for the preparation of α-methylene cyclopentenones». Tetrahedron Letters 36 (14): 2407. doi:10.1016/0040-4039(95)00315-4.
- ↑ Intramolecular [2+2+1] Cycloadditions with (Cyclobutadiene)tricarbonyliron Benjamin A. Seigal, Mi Hyun An, Marc L. Snapper Angewandte Chemie International Edition Volume 44, Issue 31 , Pages 4929 - 4932 2005. doi 10.1002/anie.200501100