Oxidación de Pfitzner-Moffatt
La oxidación de Pfitzner-Moffatt, a veces denominada simplemente oxidación de Moffatt, es una reacción orgánica la cual describe la oxidación de alcoholes primarios o secundarios por el uso de dimetil sulfóxido (DMSO) activado con una carbodiimida, tal como la diciclohexilcarbodiimida (DCC). El iluro alcoxisulfonio resultante se transpone para general el compuesto carbonílicocorrespondiente.[1][2]
Esta reacción ha caído en desuso, siendo reemplazada por la oxidación de Swern, la cual produce rendimientos más elevados ya que produce menos compuestos secundarios. La oxidación de Moffatt produce ureas que son difíciles de separar.
También se han hecho diversas modificaciones a este método.[3][4]
Mecanismo
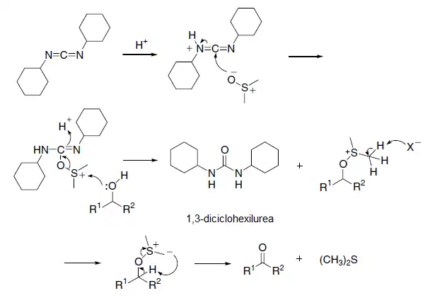
Cuando la DCC se protona, el DMSO en forma de iluro ataca a uno de los nitrógenos formándose así un catión {(ciclohexilamino)(ciclohexilimino)metil]oxi}(dimetil)sulfonio. Éste catión es atacado en el azufre por el alcohol, y así se forma 1,3-diciclohexilurea y un catión alcoxi(dimetil)sulfonio. Éste posteriormente se desprotona por la base conjugada del ácido empleado y forma un iluro +S-C:-, el cual se descompone en el ácido y sulfuro de dimetilo.[5]

Véase también
- Oxidación de Corey-Kim
- Oxidación de Swern
Referencias
- ↑ Pfitzner, K. E.; Moffatt, J. G. (1963). «A New and Selective Oxidation of Alcohols». J. Am. Chem. Soc. 85: 3027. doi:10.1021/ja00902a036.
- ↑ J. G. Moffatt, “Sulfoxide-Carbodiimide and Related Oxidations” in Oxidation vol. 2, R. L. Augustine, D. J. Trecker, Eds. (Dekker, New York, 1971) pp 1–64.
- ↑ Tidwell, T. T. Org. React. 1990, 39, 297–572. (Review)
- ↑ Lee, T. V. Comp. Org. Syn. 1991, 7, 291–303. (Review)
- ↑ Jie Jack Li (2009). Name Reactions. A Collection of Detailed Reaction Mechanisms 4th Edition. Springer. ISBN 978-3-642-01052-1.
