Carbodiimida
Una carbodiimida o metanodiimina es un compuesto orgánico caracterizado por el grupo funcional RN=C=NR. Las carbodiimidas se hidratan fácilmente formando ureas, lo que las hace raras en la naturaleza.
Síntesis
Las carbodiimidas pueden ser preparadas por deshidratación de ureas (usando pentóxido de fósforo) o a partir de tioureas. También se les puede preparar tratando isocianatos orgánicos con catalizadores apropiados (basados generalmente en óxidos de fosfoleno); en este proceso, evoluciona anhídrido carbónico del isocianato.
Usos de las carbodiimidas
En química orgánica sintética, los compuestos que contienen la funcionalidad carbodiimida son agentes de deshidratación y se usan frecuentemente para activar ácidos carboxílicos para la formación de amidas o ésteres. Frecuentemente también se agrega aditivos como el N-hidroxibenzotriazol o N-hidroxisuccinimida para aumentar los rendimientos y disminuir las reacciones laterales.

Las carbodiimidas también pueden reaccionar con aminas para formar guanidinas.
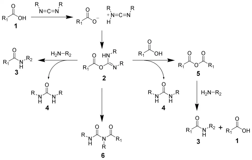
Mecanismo de formación de amidas
La formación de una amida usando una carbodiimida es directa, pero con varias reacciones laterales que la complican. El ácido 1 reaccionará con la carbodiimida para producir el intermediario clave: la O-acilisourea 2, que puede ser considera un éster carboxílico con un grupo saliente activado. La O-acilisourea reaccionará con aminas para producir la amida deseada 3 y una urea 4.
La reacción lateral de la O-acilisourea produce tanto sustancias deseadas y sustancias indeseadas. La O-acilisourea 2 puede reaccionar con un ácido carboxílico adicional 1 para producir un anhídrido de ácido 5, que puede reaccionar posteriormente para producir la amida deseada 3. La principal trayectoria de reacción indeseada involucra el rearreglo de la O-acilisourea a la N-acilurea estable. El uso de solventes con constantes dieléctricas bajas, tales como el diclorometano o cloroformo puede minimizar esta reacción lateral.

DCC

La DCC (acrónimo para N,N'-diciclohexilcarbodiimida) fue una de las primeras carbodiimidas desarrolladas. Se le usa ampliamente para la formación de amidas y ésteres, especialmente en síntesis de péptidos en fase sólida. La DCC ha alcanzado popularidad debido principalmente a su alto rendimiento en reacciones de formación de amidas, y al hecho de que es bastante barata.
Sin embargo, la DCC tiene algunas desventajas serias, y su uso es evitado frecuentemente, salvo que sea necesario, por algunas razones:
- El subproducto N,N'-diciclohexilurea es eliminado mayoritariamente por filtración, pero permanecen cantidades traza que frecuentemente son difíciles de eliminar.
- La DCC es incompatible con la síntesis de péptidos en fase sólida tradicional. La N,N'-diciclohexilurea formada es mayormente insoluble, y es difícil de separar de la resina de soporte que tiene al péptido.
- La DCC es un alérgeno potente, el contacto repetido con la piel incrementa la probabilidad de sensitización al compuesto. Hay reportes clínicos de individuos que no pueden entrar a cuartos donde se use agentes para acoplar péptidos.
DIC

La DIC (acrónimo para N,N'-diisopropilcarbodiimida) fue desarrollada como una alternativa a la DCC. La DIC es funcionalmente idéntica a la DCC en casi todas formas, excepto:
- Al ser un líquido, la DIC es más fácil de manipular que la DCC (que es un sólido ceroso).
- El producto N,N'-diisopropilurea es soluble en solventes orgánicos y se elimina fácilmente por extracción. De ahí que la DIC se use más frecuentemente en síntesis en fase sólida.
- La DIC tiende mucho menos a ocasionar reacciones alérgicas que la DCC.
EDC

La EDC (también EDAC o EDCI, acrónimos para 1-etil-3-(3-dimetilaminopropil)carbodiimida), obtenida comúnmente como su clorhidrato, es una carbodiimida soluble en agua, que se suele emplear en el rango de pH de 4.0-6.0. Puede ser usada como cross-linker químico para el colágeno, reaccionando con los grupos ácido carboxílico del polímero de colágeno, que luego puede unirse a los grupos amino en la mezcla reactante.