Organolantánido
Se denomina organolantánido a un compuesto químico que contiene un enlace entre un elemento lantánido y un átomo de carbono.[1] Los organoactínidos pueden definirse de igual manera como compuestos con un enlace entre un átomo de carbono y un átomo de un metal actínido como el uranio.
A causa de la baja electronegatividad de los elementos lantánidos, las propiedades de los compuestos organolantánidos son más similares a la de los compuestos organometálicos de los elementos de los grupos principales de fórmula ML3 o ML2, que a la de sus homólogos de los elementos del bloque ''d''. En particular, la estructura y la reactividad química de los organolantánidos está gobernada fundamentalmente por las interacciones electrostáticas y estéricas, como ocurre con los compuestos organometálicos de los elementos de los grupos principales, y no por las interacciones metal-ligando, que son las que dominan la reactividad química y la estructura de los compuestos organometálicos de los elementos de los elementos del bloque d. A causa del marcado carácter carboaniónico de los átomos de carbono unidos a los elementos lantánidos y al carácter oxofílico de éstos, los compuestos organolantánidos son muy sensibles al aire y a la humedad. Además, los compuestos de fórmula Ln(C5H5)3 (Ln = elemento lantánido), actúan como reactivos de transmetalación o transferencia del anión ciclopentadienuro, cuando reaccionan con haluros metálicos, al igual que lo hacen los compuestos iónicos Mg(C5H5)2 o Na(C5H5). Esta reactividad no se observa en los compuestos organometálicos de los elementos de transición. En los apartados que prosiguen entraremos en detalle de las causas de todas estas propiedades así como de la reactividad de los compuestos más representativos.
1. Introducción.
El descubrimiento del ferroceno [Fe(η5-C5H5)2] (1) en 1952 significó un importantísimo avance en la química, que provocó un creciente interés por conseguir compuestos análogos del bloque f. En 1956 se logró sintetizar el primer compuesto organometálico bien definido del bloque f, era el [U(η5-C5H5)3Cl]. Sin embargo, este compuesto este compuesto, al contener tres fragmentos ciclopentadienilo (Cp) y un cloruro, no podía considerarse esencialmente como “compuesto sándwich”. Por eso se siguió investigando hasta que en 1968 se sintetizó un verdadero análogo al ferroceno, el uranoceno [U(η8-C8H8)2] (2). Desde entonces, se han ido evidenciando las diferencias entre la química organometálica de ambos grupos.
Los iones lantánidos (y también los actínidos) son ácidos de Lewis duros, por lo que suelen coordinarse a bases de Lewis duras como F– y H2O. Siendo la carga más común entre estos iones, +3, estos actúan como gases nobles, dado que los electrones de valencia se sitúan en orbitales 4f, que son muy internos como para interaccionar con los orbitales de los ligandos, por lo tanto, los complejos lantánidos se basan en interacciones electroestáticas (enlaces iónicos). En el caso de los actínidos, los orbitales 5f, son más accesibles hacia los orbitales de los ligandos, consiguiéndose enlaces de carácter más covalente, aunque dicha propiedad decrece al aumentar el número atómico. El radio atómico de los lantánidos es bastante grande, por lo que la carga de sus iones se distribuye muy efectivamente, pero aun así, dado que el estado de oxidación más común es +3, estos iones tienen una densidad electrónica elevada. Al avanzar en el bloque, el radio atómico disminuye, otorgándose entonces, un carácter marcadamente iónico a los metales de gran número atómico. La química de coordinación del bloque f no puede resumirse a una regla de 18 electrones, que en tal caso sería de 32, sino que viene casi siempre determinada por los efectos estéricos que los ligandos causan en la esfera de coordinación. Asimismo, el gran número de electrones implicados en tales estructuras, suele complicar los cálculos mecanocuánticos y los análisis espectroscópicos que permiten la determinación de su geometría. los compuestos organometálicos del bloque f, se asemejan, en cuanto a estabilidad frente al oxígeno y al agua se refiere, a los compuestos de los metales de los grupos más cercanos del bloque d.
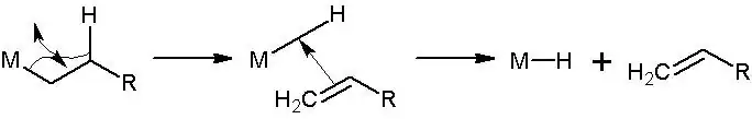
2. β-Eliminación e interacción agóstica.
Los alquil-lantánidos suelen determinar su estequiometria por efectos estéricos.[2] Los lantánidos no forman enlaces fuertes con ligandos π-donadores, por lo que el intermedio común en una β-eliminación (η2-alqueno) es casi imposible de aislar y descompone rápidamente al hidruro, que también descompone posteriormente. Recordando los requisitos para que la reacción se lleve a cabo: i) Existencia de un H en la posición β, respecto al átomo principal (M). ii) Los enlaces M–Cα–Cβ–Hβ deben ser coplanares. iii) M debe disponer de un orbital vacío de energía y orientación apropiadas como para enlazar con el Hβ. Así, considerando que los elementos del bloque f, tienen numerosos orbitales disponibles y orientados en diferentes direcciones, es de esperar que los alquil-lantánidos y alquil-actínidos sean en extremo susceptibles a la β-eliminación; una susceptibilidad que decrece al aumentar el número atómico, dado que disminuye la disposición de orbitales vacíos.
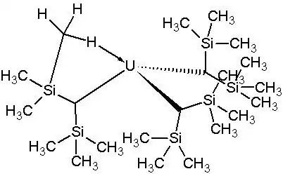
En compuestos con bajo número de coordinación, en los que no pueda ocurrir una β-eliminación y una α-eliminación sea poco plausible, pueden aumentar su número de coordinación mediante una interacción agóstica. Un enlace C–H se inclina hacia el metal, formándose pues un puente de hidrógeno intramolecular estabilizado por efecto quelato y también por el hecho de saturar coordinativamente al centro metálico.
En la figura se enseña la interacción γ-agóstica del compuesto U(CHTMS)3.
3. Ciclopentadienil-lantánidos.
Al igual que en los metales de transición, los compuestos con ligandos de tipo ciclopentadienilo son muy comunes, dada su alta versatilidad a nivel de reactividad y su estabilidad frente a la descomposición. La verdadera gracia de estos ligandos es que dada la anteriormente mencionada versatilidad reactiva, existe la posibilidad de introducir numerosos grupos de diferentes tamaños otorgando diferentes niveles de protección estérica al centro metálico.
3.1. Ciclopentadienilos simples.
Representaremos a los lantánidos con el símbolo genérico “Ln”. Hay tres tipos de compuestos Ciclopentadienil-Ln: [LnCpnX3-n] {1≤n≤3}. La manera de sintetizarlos es hacer reaccionar haluros de lantánidos anhidros con ciclopentadienuro sódico. Los disolventes más usados son éteres, aunque, dada la naturaleza de estos iones, comentada en el primer apartado, se forman enlaces Ln–O(R) tan fuertes, que a veces resulta dificultoso romperlos.
Como puede suponerse, dada la naturaleza iónica de los enlaces involucrados, la reacción de LnCp3 con FeCl2 da ferroceno (1). Sin embargo, los compuestos LnCp2Cl no reaccionan con tanta facilidad y pueden encontrarse en forma de dímeros o fuertemente ligados a moléculas de los éteres que los contienen.
En la imagen puede apreciarse a la izquierda la estructura dimérica de los compuestos de tipo LnCp2X con X = haluro. El puente haluro es especialmente estable, dada la direccionalidad de los orbitales híbridos implicados que al proceder de una naturaleza p, son direccionales. A la derecha, el monómero en solución etérea (THF) coordina fuertemente con el oxígeno etéreo.
Los LnCp3 subliman rápidamente cuando se calientan al vacío, un método eficaz para romper la coordinación con los disolventes. Dados los requerimientos estéricos mencionados, los Ln cercanos (con bajo número atómico y por ende, gran radio atómico) pueden poseer estructuras LnCpn con números de coordinación muy grandes en el estado sólido:
Los organoactínidos con ligandos Cp son muy similares a los organolantánidos correspondientes. Los compuestos de tipo AnCp3 (siendo “An” un actínido general) son muy conocidos, pero no se ha podido estudiar en detalle aquellos de tipo AnCpCl2, dado que de este modo el extremadamente reactivo centro actínido queda bastante desprotegido, hecho que se consigue solucionar con la introducción de ligandos voluminosos en el anillo Cp. Por sorpresa, la mayoría de los compuestos AnCpnZm, se basan en compuestos tetravalentes que se sintetizan homólogamente a los compuestos LnCpnX3-n, pero estos no reaccionan con FeCl2 para dar ferroceno, dado que los enlaces An–Cp tienen un carácter más covalente (por lo explicado en el primer apartado). En los compuestos AnCp3X, esta X puede removerse rápidamente como se enseña en el esquema que sigue:
3.2. Ciclopentadienilos sustituidos.
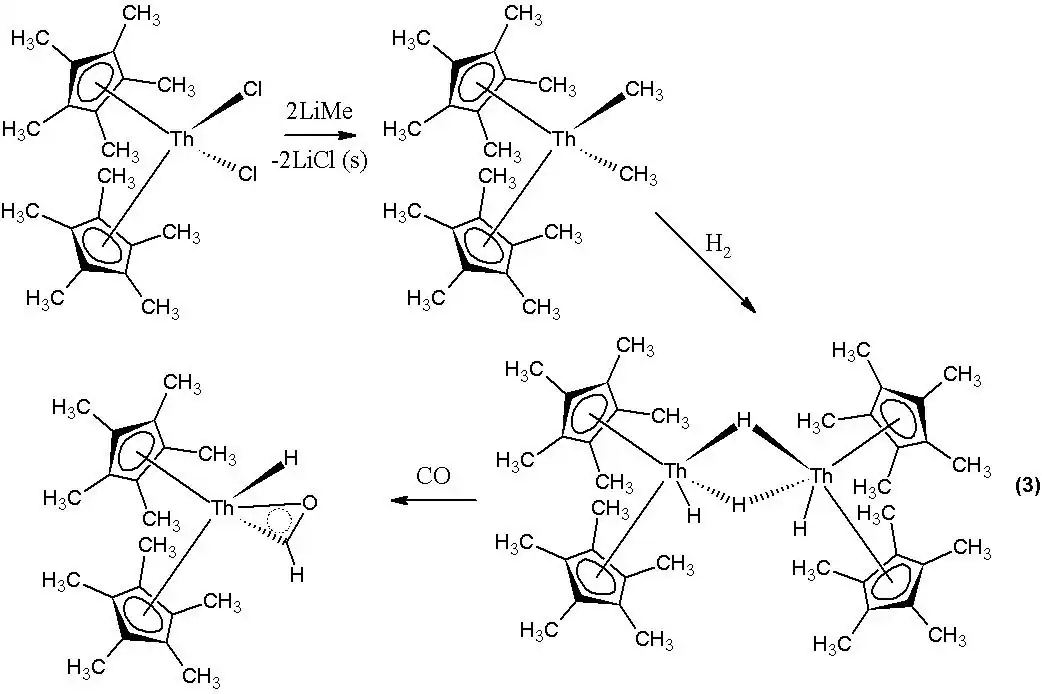
Como se avanzó en apartados anteriores, la sustitución de un ligando Cp por otro que contenga sustituyentes (Cp’) puede afectar por efectos estéricos la estabilidad y las propiedades de un determinado centro. Un ligando muy utilizado es el pentametilciclopentadienilo (C5(CH3)5 [Cp*]), que por ser tan voluminoso, impide la síntesis de compuestos [LnCp*3], pero sí la de los [LnCp*2X] y [AnCp*2X2], que en el torio suscita gran interés, ya que los compuestos tetravalentes de torio son diamagnéticos y pueden analizarse por NMR. En el esquema siguiente se muestra una ruta de síntesis para el hidruro (3) que sirve como catalizador en la polimerización de eteno y en la hidrogenación de α-alquenos.
En la imagen, el hidruro (3) sufre una inserción de enlaces polares (CO) y se oxida; el CO se reduce a η2-formilo.
Los compuestos trivalentes [LnCp*2X] son muy reactivos y con sustituyentes pequeños y adecuados como X = Me, H; son unos de los pocos sistemas capaces de intercambiar enlaces C–H, mediante un proceso conocido como metátesis de enlaces σ.
El compuesto actúa como una base fuerte que desprotona al alcano (en rojo).
La adición de cadenas funcionalizadas con heteroátomos donadores de electrones suele estabilizar los compuestos de tipo [LnCp2R] con R = alquilo corto, por coordinación.
4. Carbonilos y afines.
Los compuestos carbonílicos de metales de transición son muy comunes, dada la gran eficiencia del solapamiento σ entre el orbital HOMO del CO y el LUMO del metal, asó como del solapamiento π entre el orbital LUMO del CO y el HOMO del metal en la retrodonación. Este sinergismo es difícil de alcanzar en los metales del bloque f, dado que los electrones de valencia están el orbitales bastante internos, lo que dificulta la interacción de estos con los HOMO y/o LUMO del CO.
Aun así, la condensación de lantánidos y CO (g) a temperaturas menores a 40 K, da como resultado compuestos Ln(CO)n {1≤n≤6}, sabiéndose gracias a análisis espectrométricos de IR que los CO son terminales. Estos compuestos descomponen rápidamente al aumentar la temperatura. En los actínidos de bajo número atómico los electrones están más difusos, por lo que son más capaces de formar enlaces covalentes. Es por eso que en metales tales como uranio y ciclopentadienilos sustituidos como ligandos protectores se pueden sintetizar en condiciones estándar de laboratorio compuestos carbonílicos simples como el compuesto (4). Por ende, los lantánidos, de naturaleza iónica no han podido formar hasta ahora compuestos homólogos.
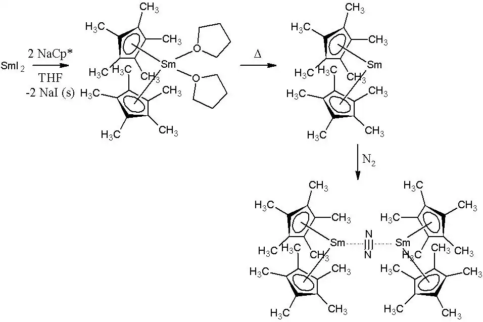
Este comportamiento se ve reforzado por estudios espectroscópicos realizados en compuestos del tipo [MCp3(CN–Et)], dado que CN–R es isoelectrónico a CO. Los complejos M = Ln, muestran ν(CN) superiores a las que corresponden a EtCN libre, lo que hace pensar que hay carencia de retrodonación, por el contrario, con M = An, ν(CN) es menor a la de EtCN libre. Otro ligando isoelectrónico es el N2, pero tanto para metales de transición, como para tierras raras (metales del bloque f), este es un pésimo ligando, que puede conseguirse por ejemplo por la adición normal a centros metálicos de bajo estado de oxidación. Complejos con ligandos alqueno y alquino son difíciles de sintetizar para las tierras raras. El complejo (5) es un ejemplo peculiar que debe su estabilidad a la presencia de un segundo centro metálico de Pt0 (d10) que al ser rico en electrones, tiene una excelente capacidad para la retrodonación, cediendo densidad electrónica a la olefina y confiriéndole así, un carácter de base de Lewis más marcado:
5. Complejos areno-lantánidos.
Los complejos areno (Ar–R) son π-donadores, σ-aceptores, contrariamente a los CO, por lo que puede esperarse un comportamiento más plausible hacia los centros lantánidos. Sin embargo, la retrodonación es poco probable, dado que el solapamiento entre los orbitales δ es difícil de conseguir por la gran diferencia energética que hay entre estos orbitales del sistema π-areno y los orbitales del metal. Es por esto que los complejos areno-lantánidos son muy ricos en electrones y suelen formarse con metales en estados de oxidación bajos. Así, dado que los orbitales de valencia de los metales del bloque f son muy internos y que los estados de oxidación más comunes son +3 y +4, estos ligandos no suelen ser idóneos para tales centros.
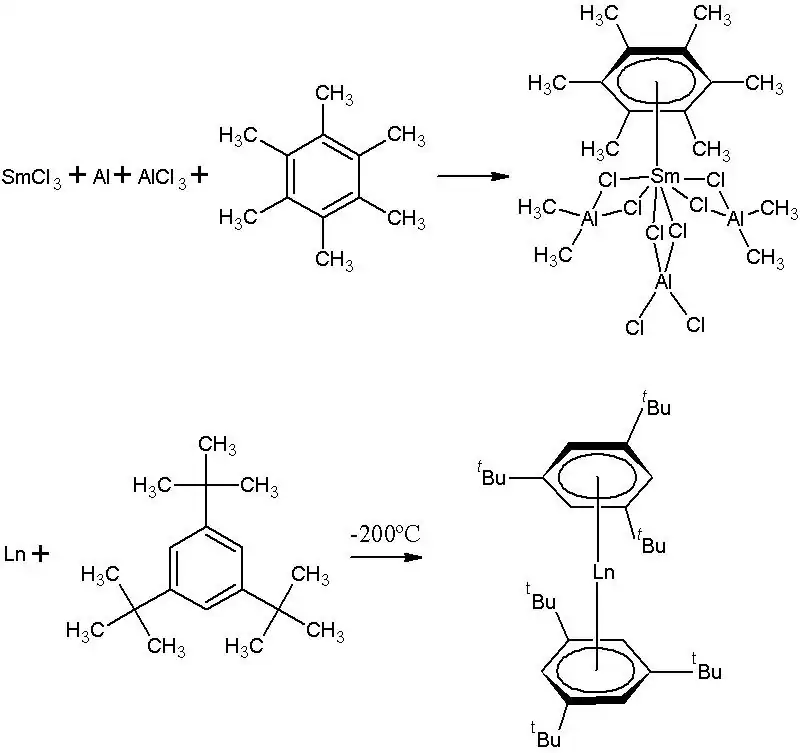
En la síntesis que se enseña en la parte inferior de la última ilustración que precede, la condensación en frío de vapor de un metal lantánido con [η6-1,3,5-(tBu)3C6H3], da lugar a un complejo en que la complejidad estérica del ligando arénico protege cinéticamente al centro metálico, de manera que algunos incluso pueden llegar a sublimar al vacío sin descomponer a los 100 °C. La estabilidad de complejos arénicos cerovalentes como [Cr(η6-C6H6)2] (d6) puede comprenderse mediante el análisis del siguiente esquema simplificado de OOMM en que, tanto los niveles σ como π están llenos (electrones procedentes de los ligandos) y también se llenan los niveles e2g (δ) y a1g (σ). Ahora bien, los lantánidos tienen una química si hacemos una analogía a los metales de transición, podría compararse a la del Sc, por lo que consideraremos un compuesto homólogo de escandio; [Sc{η6-1,3,5-(tBu)3C6H3}2] (d3). Los electrones de los ligandos llenan los niveles σ y π con 12 electrones, pero ahora sólo quedan 3 electrones del metal, que bastan solo para llenar incompletamente el nivel e2g. Esta situación da inestabilidad a la molécula, y de hecho, este compuesto es pirofórico. Ahora desplazándonos al campo de los lantánidos, de configuración electrónica general [Xe]4fn5d06s2 {1≤n≤14}, estos electrones f, como ya se mencionó no pueden interaccionar con los orbitales δ del sistema arénico, dado que son demasiado internos y por eso no hay retrodonación M L. Pero si consideramos la energía necesaria para la promoción de un electrón f a un orbital d: [Xe]4fn5d06s2 [Xe]4fn-15d16s2, encontraremos que es mínima en el Gd (f8) y La (f1), ya que dicha promoción causaría un aumento en la estabilidad por capa semi-llena y capa d llena respectivamente, al tiempo que da electrones a los orbitales d, que al ser más difusos, sí que comprenden un solapamiento efectivo. Recíprocamente esta energía es máxima, por los mismos motivos en Eu é Yb. La energía de enlace Ln–areno compensa esta energía de promoción, y por ello son posibles los sistemas areno-lantánidos.
6. Complejos ciclooctatetraeno-lantánidos.
El ciclooctatetraeno (COT) necesita oxidarse con 2 electrones para poder llegar a ser aromático y poder actuar como ligando η8. Es voluminoso y otorga los mismos efectos estéricos que Cp*.
6.1. Uranoceno.
[U(η8-COT)2] y derivados pueden sintetizarse de manera análoga al ferroceno mediante metátesis:
La molécula se basa en dos planos paralelos que contienen los anillos de COT y un centro metálico de uranio en el centro, dando una simetría D8h. Las interacciones que más protagonismo obtienen son las interacciones del OM δ (e2g) del COT con los OOAA 6d del U y las del OM δ (e2u) del COT y los OOAA 5f del U, lo que lleva a entender que los compuestos de tipo [M(η8-COT)2] sean más estables cuando M dispone de orbitales atómicos de tipo f.
6.2. Complejos COT de lantánidos.
El cerio es el único lantánido capaz de formar complejos sándwich neutros con el COT y lo hace en el compuesto [Ce(η8-COT)2], el cual durante tiempo se creyó que a pesar de la naturaleza fuertemente oxidante del ion Ce+4, se constituía de él, pero estudios recientes demuestran que en realidad se compone de Ce trivalente (f1) ligado a dos COT-1,5. Este compuesto reacciona con reductores como sodio o potasio y se reduce al compuesto de Ce trivalente, que puede prepararse mediante otras vías. La naturaleza de estos enlaces es como ya se supone, iónica. Y reaccionan con UCl4 para dar uranoceno.[3]
Véase también
Enlaces químicos del carbono con el resto de átomos
| CH | He | |||||||||||||||||
| CLi | CBe | CB | CC | CN | CO | CF | Ne | |||||||||||
| CNa | CMg | CAl | CSi | CP | CS | CCl | CAr | |||||||||||
| CK | CCa | CSc | CTi | CV | CCr | CMn | CFe | CCo | CNi | CCu | CZn | CGa | CGe | CAs | CSe | CBr | CKr | |
| CRb | CSr | CY | CZr | CNb | CMo | CTc | CRu | CRh | CPd | CAg | CCd | CIn | CSn | CSb | CTe | CI | CXe | |
| CCs | CBa | CHf | CTa | CW | CRe | COs | CIr | CPt | CAu | CHg | CTl | CPb | CBi | CPo | CAt | Rn | ||
| Fr | CRa | Rf | Db | CSg | Bh | Hs | Mt | Ds | Rg | Cn | Nh | Fl | Mc | Lv | Ts | Og | ||
| ↓ | ||||||||||||||||||
| Ac | CTh | CPa | CU | CNp | CPu | CAm | CCm | CBk | CCf | CEs | Fm | Md | No | Lr | ||||
| Química orgánica básica. | Muchos usos en Química. |
| Investigación académica, pero no un amplio uso. |
Enlace desconocido / no evaluado. |
Referencias
- ↑ Química organometálica. Colección Grenoble Sciences. Didier Astruc, Frederic Astruc. Editorial Revertçe, 2004. ISBN 8429170073Pág. 355
- ↑ Advances in Organometallic Chemistry. Volume 24. F. G. A. Stone, Robert West. Academic Press, 1985. ISBN 0120311240 Pág. 131-173 (sección Organometallic lanthanide chemistry, William J. Evans) En inglés.
- ↑ Química organometálica. Colección Grenoble Sciences. Didier Astruc, Frederic Astruc. Editorial Revertçe, 2004. ISBN 8429170073Pág. 309

