Eliminación de Hofmann

La eliminación de Hofmann se basa en que las sales de amonio cuaternarias son inestables frente a bases fuertes, las cuales provocan una eliminación bimolecular (E2) que conduce a alqueno, actuando la trialquilamina como grupo saliente.[1]

Eliminación de Hofmann general
Eliminación de Hofmann general

En el procedimiento habitual de la eliminación o degradación de Hofmann tiene lugar la metilación exhaustiva de una amina, los grupos metilo unidos al átomo de nitrógeno no podrán sufrir β-eliminación evitándose ambigüedades, mediante el empleo de un exceso de yodometano, llegando a la sal de amonio cuaternaria, que es tratada con Ag2O húmedo, fuente de OH-, y calor, teniendo lugar una E2 al ser la trimetilamina un buen grupo saliente.

Degradación o eliminación de Hofmann
Degradación o eliminación de Hofmann

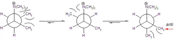
Por motivos estéricos en la eliminación de Hofmann se forma mayoritariamente la olefina menos sustituida, se puede deducir empleando proyecciones de Newman.

Regioselectividad de la eliminación de Hofmann
Regioselectividad de la eliminación de Hofmann

En el confórmero más abundante, a través del cual transcurre de forma mayoritaria la reacción, la E2 estereoespecífica anti sólo puede producirse por un sitio. En general, en la eliminación de Hofmann, la eliminación bimolecular se produce por la posición β menos sustituida, conduciendo por tanto al alqueno menos sustituido, aunque si es posible la formación de un sistema conjugado éste primará en la regioselectividad.

La eliminación de Hofmann dio origen, en su primera definición, a la regla de Hofmann.

Antes de la aparición de los métodos instrumentales de determinación estructural, la degradación de Hofmann se empleaba para elucidar la estructura de aminas.

En una prueba llamada determinación del grupo alquilimida (–NR–) de Herzig-Meyer, una amina terciaria con al menos un grupo metilo (por tanto R = metilo) y que no presente un protón en la posición β (no es posible β-eliminación) se la pone a reaccionar con yoduro de hidrógeno (HI) para dar una sal de amonio cuaternaria la cual se degrada a yodometano y una amina secundaria.[2]

La reacción debe su nombre a su descubridor, el químico alemán August Wilhelm von Hofmann (1818 – 1892).[3]

Véase también

Referencias

  1. K. Peter C. Vollhardt (1994). Química Orgánica. Barcelona: Ediciones Omega S.A. ISBN 84-282-0882-4. 
  2. Ueber den Nachweis und die Bestimmung des am Stickstoff gebundenen Alkyls (p 319-320) J. Herzig, H. Meyer Berichte der deutschen chemischen Gesellschaft Volume 27, Issue 1 , Pages 319 - 320 1894 doi 10.1002/cber.18940270163
  3. Aug. Wilh. von Hofmann (1851). «Beiträge zur Kenntniss der flüchtigen organischen Basen». Annalen der Chemie und Pharmacie 78 (3): 253-286. doi:10.1002/jlac.18510780302. 

Enlaces externos