Diaminodinitroetileno
| Diaminodinitroetileno | ||
|---|---|---|
![]() | ||
| General | ||
| Otros nombres | FOX-7 | |
| Fórmula molecular | C2H4N4O4 | |
| Identificadores | ||
| Número CAS | 145250-81-3[1] | |
| Propiedades físicas | ||
| Densidad | 1885 kg/m³; 1,885 g/cm³ | |
| Masa molar | 148,08 g/mol | |
| Valores en el SI y en condiciones estándar (25 ℃ y 1 atm), salvo que se indique lo contrario. | ||
Para el diaminodinitroetileno, se formulan tres estructuras isoméricas. De los posibles isómeros de 1,1-diamino-2,2-dinitroetileno (1), trans-1,2-diamino-1,2-dinitroetileno (2) y cis-1,2-diamino-1,2-dinitroetileno (3) Solo se ha podido sintetizar el primero.[2] Según cálculos químicos cuánticos los dos isómeros 1,2-diamino-1,2-dinitroetileno pueden existir.[3] Pero la síntesis y caracterización ambos compuestos está aún pendiente.
El 1,1-diamino-2 ,2-dinitroetileno recibe también los nombres de: FOX-7 y DADE. Es un compuesto de alto poder explosivo muy insensible. Fue sintetizado por primera vez en 1998 por el Instituto de Investigación de Defensa de la FOA (Suecia).[4]
Historia
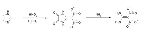
La síntesis de 1,1-diamino-2,2-dinitroetileno derivados ha sido descrita en 1992. A partir de 1,1-diyodo-2,2-dinitroetileno se puede obtener a través de la rotación con alquilaminas, las correspondientes conexiones 1,1-dialquilamino-2,2-dinitroetileno. La reacción con amoníaco como el producto de reacción dio la sal de amonio de cianodinitrometano y por lo tanto no el compuesto de base 1,1-diamino-2,2-dinitroetileno.[5] La sístesis del 1,1-diamino-2,2-dinitroethylene (FOX-7) se informó por primera vez en 1998 de Instituto de Investigación de Defensa de la FOA.[6] Con un rendimiento <10%, esta vía, a pesar del material barato a partir de 2-metil-imidazol, no es comercialmente viable.
Síntesis
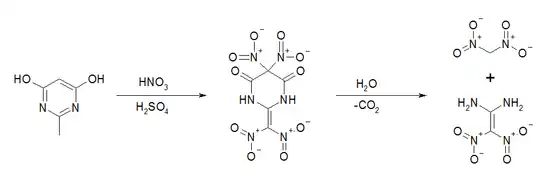
La preparación del diaminodinitroetileno se realiza solo en lotes pequeños, lo que repercute en un precio relativamente elevado. Una síntesis optimizado con un rendimiento> 90% va desde 2,6-dihidroxi-4-metilpirimidina partir de la cual a través de una nitración en ácido nitrante se convierte en un intermedio tetranitro. El producto intermedio es entonces hidrolíticamente para el compuesto diana, dinitromethane y dióxido de carbono dividido.[7] El compuesto de partida 2,6-dihidroxi-4-metilpirimidina es por la ciclación de hidrocloruro de acetamidina con malonato de dietilo en presencia de sodio y etanol.[8]
Una verificación de la conversión es una cromatografía líquida de la separación de las columnas especiales posibles de grafito.[9]
El FOX-7 se produce en Eureco Bofors AB en Suecia. Debido a su producción a pequeña escala, el costo de FOX-7 es relativamente alta. Sin embargo, la producción se basa en un material comercial de partida y la síntesis no es complicada. El precio, por lo tanto, es previsible un descenso a medida que aumenta a escala de producción.
Propiedades
Físicas
El 1,1-diamino-2,2-dinitroetileno forma cristales amarillos.[10] El compuesto muestra un comportamiento polimórfico. A temperatura ambiente existe la forma α, que se convierte al calentarla a más de 114 °C en la forma β. Esta transición de fase es reversible. Una conversión a la forma γ se observa en 173 °C. El γ-forma es metaestable y transforma al enfriarse lenta e incompleta en la α.[11] No tiene punto de fusión porque a partir de 180 °C se produce una reacción de descomposición exotérmica.[2] cristal único desde NMP / agua cristalizada α-forma reveló una estructura cristalina monoclínica.[12] La presencia de donantes de electrones y de grupos aceptores de electrones en la molécula da lugar a cambios en la longitud de enlace. La longitud del enlace carbono-carbono es 145,6 pm, las longitudes de enlace típicas de un enlace sencillo son 154 pm y un doble enlace 134 pm,[13] por lo tanto el compuesto tiene una estructura pura doble enlace. Puede haber dos estructuras de resonancia, en el que el polar, la estructura de imina está presente con anterioridad.[14] Esto también se confirma que las propiedades químicas observadas, como en las adiciones electrofílicos.

En la molécula hay dos enlaces de hidrógeno fuertes intramolecular entre el NH y no funciona. Esto da como resultado una molécula Grundstrukturdes plana. Formado en la red cristalina de la vinculación por hidrógeno intermolekulerer una estructura de capa de cartón ondulado.[13] La estructura cristalina de la β-forma es ortorrómbica.,[13] la γ de forma que muestra una monoclínica red cristalina con grupo espacial P2 1 / n[15]
El compuesto es prácticamente insoluble en agua. En otros disolventes tales como acetona, acetato de etilo o acetonitrilo, la solubilidad es baja menor de 0,5 g/100 ml.[2] Tiene mejor solubilidad en N,N-Dimetilformamida con 21 g/100 ml, en N-metil-2-pirrolidona con 32 g/100 ml y en dimetilsulfóxido con 45 g por 100 ml.[2]
La entalpía molar de formación es Δ f H 0 = -130 kJ / mol.[2] Los espectros de RMN del compuesto son simplemente DAR. El espectro RMN el 1H muestra solo a 8,77 ppm, un pico ancho resultante de la protones NH.[6] En el espectro RMN de 13C muestra dos picos a 128,5 ppm para el grupo nitro sustituido átomo de carbono en 158,8 ppm y para el átomo de carbono que tiene los grupos amino.[6]
Estabilidad térmica y propiedades explosivas
El 1,1-diamino-2,2-dinitroethylene no tiene punto de fusión, en mediciones termoanalíticas desde 180 °C se observaba una descomposición en dos etapas con un calor de descomposición de -1427 J/g.[2] El mecanismo de descomposición con respecto a productos intermedios que se producen se han considerado teóricamente y conduce a los productos finales: monóxido de carbono, nitrógeno y agua.[16] El FOX-7 es similar de insensible que el TATB, que es un compuesto de anillo de benceno con tres grupos amino y tres nitro. El FOX-7 tiene una columna vertebral de dos carbonos en lugar del anillo de benceno, pero los grupos amino, y nitro tienen efectos similares en ambos casos de acuerdo a los informes publicados sobre los procesos de desintegración, de sensibilidad y químicas de FOX-7.
Indicadores importantes de explosión, como la energía de la explosión, la velocidad de detonación y la presión de detonación se estimó por diversos métodos de cálculo y el uso de diferentes métodos de medición experimentalmente.[2][17][18] Los valores calculados para la energía de la explosión varia entre 4442 J·g-1 y 4884 J·g-1 , para la velocidad de detonación entre 8.453 m·s-1 a 8.869 m·s-1[2][17][18][4] y la presión de detonación entre 29,3 GPa a 34,0 GPa.[2][18] Los valores determinados experimentalmente son para la explosión de energía 4860 J · g-1, la velocidad de detonación de entre 8.325 m·s -1 y 8.405 m·s-1, y la presión de detonación 28,4 GPa.[18] El compuesto que tiene una energía de impacto 11-40 Nm sensibles al impacto.[18][17] La sensibilidad al impacto depende de la distribución del tamaño de partícula del material ensayado.[18] no estaba a una fuerza de fricción de 353 N sensibilidad fricción se identifican.[2][18]
Sus propiedades explosivas aparecen extremadamente favorable; además de sus propiedades insensibles, la velocidad de detonación de mezclas de 80% FOX-7 más aglutinantes son tan altas como el compuesto B casi puros, y explosivo en polvo aglutinado basados en FOX-7 son ligeramente superiores al RDX.[19]
Propiedades químicas
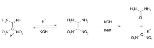
El compuesto tiene propiedades ácidas. En la presencia de bases puede perder algún protón. El valor del pK es de aproximadamente 10,6.[2] En una reacción con hidróxido de potasio a temperaturas bajas pueden aislar la sal de potasio como un sólido blanco, cristalino. Calentando a 70 °C con solución de hidróxido de potasio produce una hidrólisis básica, se forman la sal de potasio de dinitrometano y urea.[2]

Debido a las altas diferencias de polaridad en la molécula cuestiones interesantes surgen en las reacciones químicas. La sustancia puede, en presencia de anhídrido acético o anhídrido trifluoroacético con ácido nítrico sufrir más nitración.[20] El compuesto resultante el tetranitro es térmicamente inestable. La descomposición es relevante incluso a temperatura ambiente. A -20 °C, puede ser almacenado durante aproximadamente una semana.[20] Una descomposición amoniacal en acetonitrilo solución ofrece la sal de amonio de trinitrometano y nitroguanidina.[20]
La halogenación con N-bromosuccinimida o N-clorosuccinimida se lleva a cabo análogamente como en la nitración a la que el geminal átomo de carbono grupo nitro y un grupo amino.[20] La oxidación con 30% de peróxido de hidrógeno en ácido sulfúrico o con ácido trifluoroacético conduce a la liberación de ácido nitroso y trióxido de dinitrógeno ácido diaminoacetico.[14]
El 1,1-diamino-2,2-dinitroetileno es el material de partida para la producción de los tetrazoles. Se puede lograr mediante la reacción con azida de trimetilsililo en DMSO con la formación de 5-Amidinotetrazols la Tetrazol formación del anillo. Por hidrólisis básica puede ser la sal de potasio de amida de ácido tetrazol-5-carboxílico obtenido. Su reacción con yoduro de metilo se obtiene el isómeros dos 1-metiltetrazol-5-carboxamida y 2-metiltetrazol-5-carboxamida.[14]

Usos
Debido a sus propiedades ácidas, FOX-7 con los materiales de nucleófilos y básicos se hacen reaccionar para producir más alta energía. Así pues, la reacción con cloruro de guanidinio en presencia de hidróxido de potasio, la sal de guanidinio: G(FOX-7) [H2N=C(NH2)2]+(FOX-7)−.[[21]] El contenido de nitrógeno superior en la molécula causada por la descomposición térmica de un desarrollo de gas superior, que hecho posible es una aplicación en propelentes.[21]
No hay uso actual a gran escala del FOX-7, pero se está probando en varios centros de investigación militares. La necesidad de municiones menos sensibles es el motor más importante para utilizar el FOX-7.
Referencias
- ↑ Número CAS
- ↑ a b c d e f g h i j k l A.J. Bellamy: FOX-7 (1,1-Diamino-2,2-dinitroethene) in Struc. Bond. 125 (2007) 1-33. doi 10.1007/430_2006_054 (Structure & Bonding, Vol. 125: High energy density materials, Ed. T.M. Klapötke. Springer 2007, doi 10.1007/978-3-540-72202-1 ISBN 978-3-540-72201-4)
- ↑ P. Politzer, M.C. Concha, M.E. Grice, J.S. Murray, P. Lane, D. Habibollazadeh: Computational investigation of the structures and relative stabilities of amino/nitro derivatives of ethylene in J. Mol. Struct. 452 (1998) 75–83, doi 10.1016/S0166-1280(98)00136-5.
- ↑ a b Computational Studies of FOX-7, a New Insensitive Explosive, Dorsett, 2000, accessed Aug 25, 2005
- ↑ K. Baum, S.S. Bigelow, Nguyen Nghi Van, T.G. Archibald, R. Gilardi, J.L. Flippen-Anderson, C. George: Synthesis and reactions of 1,1-diiododinitroethylene in J. Org. Chem. 57 (1992) 235–241, doi 10.1021/jo00027a042.
- ↑ a b c N.V. Latypov, J. Bemm, A. Langlet, U. Wellmar, U. Bemm: Synthesis and reactions of 1,1-diamino-2,2-dinitroethylene in Tetrahedron 54 (1998) 11525–11536, doi 10.1016/S0040-4020(98)00673-5.
- ↑ N.V. Latypov, M. Johansson, E. Holmgren, E.V. Sizova, V.V. Sizov, A.J. Bellamy: On the Synthesis of 1,1-Diamino-2,2-dinitroethene (FOX-7) by Nitration of 4,6-Dihydroxy-2-methylpyrimidine in Org. Process Res. Dev. 11 (2007) 56–59, doi 10.1021/op068010t.
- ↑ M. Anniyappan, M.B. Talawar, G.M. Gore, S. Venugopalan, B.R. Gandhe: Synthesis, characterization and thermolysis of 1,1-diamino-2,2-dinitroethylene (FOX-7) and its salts in J. Hazard. Mat. B137 (2006) 812–819, doi 10.1016/j.jhazmat.2006.03.034.
- ↑ B. Buszewski, M. Michel, S. Cudzilo, Z. Chylek: High performance liquid chromatography of 1,1-diamino-2,2-dinitroethene and some intermediate products of its synthesis in J. Hazard. Mat. 164 (2009) 1051–1058, doi 10.1016/j.jhazmat.2008.09.018.
- ↑ H. Cai, Y. Shu, H. Huang, B. Cheng, J. Li: Study on Reactions of 2-(Dinitromethylene)-4,5-imidazolidinedione in J. Org. Chem. 69 (2004) 4369–4374, doi 10.1021/jo030395f.
- ↑ P.B. Kampa, M. Herrmann: Temperature resolved X-ray diffraction for the investigation of the phase transitions of FOX-7 in Part. Part. Syst. Char. 22 (2005) 418–422, doi 10.1002/ppsc.200501006.
- ↑ U. Bemm, H. Östmark: 1,1-Diamino-2,2-dinitroethylene. A novel energetic material with infinite layers in two dimensions in Acta Cryst. C 54 (1998) 1997–1999, doi 10.1107/S0108270198007987.
- ↑ a b c J. Evers, T. M. Klapötke, P. Mayer, G. Oehlinger, J. Welch: α- and β-FOX-7, Polymorphs of a High Energy Density Material, Studied by X-ray Single Crystal and Powder Investigations in the Temperature Range from 200 to 423 K in Inorg. Chem. 45 (2006) 4996–5007, doi 10.1021/ic052150m.
- ↑ a b c G. Herve; G. Jacob: Novel illustrations of the specific reactivity of 1,1-diamono-2,2-dinitroethene (DADNE) leading to new unexpected compounds in Tetrahedron 63 (2007) 953-959, doi 10.1016/j.tet.2006.11.031.
- ↑ M.-J. Crawford, J. Evers, M. Göbel, T.M. Klapötke, M. Mayer, G. Oehlinger, J.M. Welch: γ–FOX-7: Structure of a high energy density material immediately prior to decomposition in Propellants, Explosives, Pyrotechnics 32 (2007) 478–495, doi 10.1002/prep.200700240.
- ↑ A. Gindulyte, L. Massa, L. Huang, J. Karle: Proposed Mechanism of 1,1-Diamino-Dinitroethylene Decomposition: A Density Functional Theory Study in J. Phys. Chem. A 103 (1999) 11045-11051, doi 10.1021/jp991794a.
- ↑ a b c Köhler, J.; Meyer, R.; Homburg, A.: Explosivstoffe, zehnte, vollständig überarbeitete Auflage,, Wiley-VCH, Weinheim 2008, ISBN 978-3-527-32009-7.
- ↑ a b c d e f g W.A. Trzcinski, S. Cudzilo, Z. Chylek, L. Szymanczyk: Detonation properties of 1,1-diamino-2,2-dinitroethene (DADNE) in J. Hazard. Mat. 157 (2008) 605–612, doi 10.1016/j.jhazmat.2008.01.026.
- ↑ DETONATION AND SENSITIVITY PROPERTIES OF FOX-7 AND FORMULATIONS CONTAINING FOX-7 Archivado el 22 de mayo de 2005 en Wayback Machine., Karlsson et al., 2002, accessed Aug 25, 2005
- ↑ a b c d G. Herve; G. Jacob; N. Latypov: The reactivity of 1,1-diamino-2,2-dinitroethylene (FOX-7) in Tetrahedron 61(2005) 6743–6748, doi 10.1026/j.tet.2005.05.010.
- ↑ a b Kangzhen Xu, Jirong Songa, Fengqi Zhao, Haixia Ma, Hongxu Gao, Chunran Changa Yinghui, Rena Rongzu Hu: Thermal behaviour, specific heat capacity and adiabatic time-to-explosion of G(FOX-7) in J. Hazard. Mat. 158 (2008) 333–339, doi 10.1016/j.jhazmat.2008.01.077.
Bibliografía
- Helena Bergman, Anna Pettersson and Henrik Östmark: FOX - 7 , an IM Ingredient Candidate – Where Are We Today?
- Nikolai V. Latypovb, Jan Bergmanb, Abraham Langlet, Ulf Wellmar and Ulf Bemm: Synthesis and reactions of 1,1-diamino-2,2-dinitroethylene
- Taming of the Silver FOX
