Ácido torreyánico
| Ácido torreyánico | ||
|---|---|---|
![]() | ||
| Nombre IUPAC | ||
| Ácido (2E,2'E)-4,4'-[(1aR,5R,5aS,7aS,8aR,10aS,11aS)-2,7,9,11-tetraoxo-5 ,13-dipentil-1a,2,5a,6,7,8a,9,10-octahidro-10,6-(epoximetano)bis [1]benzoxireno[3,4-d:3',4'-g]isocromeno-7a,11a(5H,11H)-diil]bis(2-metilbut-2-enoico) | ||
| General | ||
| Fórmula semidesarrollada | C38H44O12 | |
| Fórmula molecular | ? | |
| Identificadores | ||
| Número CAS | 176260-42-7[1] | |
| ChEBI | 200984 | |
| PubChem | 139584200 | |
|
InChI=InChI=1S/C38H44O12/c1-5-7-9-11-21-23-24-25(28(40)32-36(49-32,29(24)41)15-13-18(3)33(42)43)30(48-21)38-20(17-47-22(26(23)38)12-10-8-6-2)27(39)31-37(50-31,35(38)46)16-14-19(4)34(44)45/h13-14,17,21-23,26,30-32H,5-12,15-16H2,1-4H3,(H,42,43)(H,44,45)/b18-13+,19-14+/t21-,22+,23-,26-,30?,31-,32-,36+,37-,38-/m0/s1
Key: DQBVXDMPCDAQGS-MBKAVXJQSA-N | ||
| Propiedades físicas | ||
| Masa molar | 692,7488 g/mol | |
| Valores en el SI y en condiciones estándar (25 ℃ y 1 atm), salvo que se indique lo contrario. | ||
El Ácido Torreyánico es una quinona dimérica, aislada por primera vez por Lee et al. en 1996 del hongo endófito Pestalotisopsis microspora. Este endófito es responsable de enfermedades en la torreya de Florida(Torreya taxifolia), una especie en peligro de extinción emparentada taxonómicamente con el tejo del Pacífico (Taxus brevifolia), del cual se aisló el compuesto utilizado en quimioterapia taxol.[2] Este producto natural es citotóxico en 25 líneas celulares de cáncer humano en un valor promedio de IC50=9.4µg/mL, que van desde 3.5 (NEC) a 45 (A549) µg/mL.[2][3] Se ha encontrado que el ácido torreyánico es de cinco a diez veces más potente en líneas celulares sensibles a los agonistas de la proteína quinasa C (PKC), 12-o-tetradecanoil forbol-13-acetato (TPA), y se ha visto que causa muerte celular vía apoptosis.[4] El ácido torreyánico también promueve el proceso de "G1 arrest" en células sincronizadas G0 a niveles de 1-5 µg/mL, dependiendo de la línea celular.[2] Se ha propuesto que el factor EIF-4a de iniciación de la traducción eucariótica es un blanco potencial para el compuesto natural.[4]
Biosíntesis
Se han descubierto 50 productos naturales que proceden a través de una cicloadición tipo [4+2] (Reacción de Diels-Alder)[5] Los productos naturales que son biosintetizados via Diels-Alder ocurren tanto en condiciones no enzimáticas como enzimáticas. Dichas enzimas se conocen como Diels-Alderasas y ARN Diels-Alderasas.[6]
Lee propuso en su estudio que la biosíntesis del ácido torreyánico procede a través de una cicloadición [4+2] endo-selectiva acompañada de una dimerización Diels-Alder de los monómeros del 2H-pirano (2a y 2b).[2] Las observaciones fundamentales que indican que un producto natural es biosintetizado por una reacción de Diels-Alder incluyen: (a) Aislamiento de un aducto con su precursor correspondiente, (b) Presencia de los regio- y diastereoisómeros permitidos en la cicloadición, (c) Un estudio de viabilidad no enzimática de una cicloadición probable (d) Quiralidad de los aductos.[5]

La ruta biosintética propuesta implica tres pasos: (a) Un cierre electrocíclico de anillo de 3, (b) Una oxidación enzimática para proporcionar los diasteroisómeros 2a and 2b, (c) Una ciclodimerización [4+2], para así generar el ácido torreyánico 1.[6]
La biosíntesis del ácido torreyánico fue estudiada por Porco et al. al tratar de establecer una síntesis total para el producto natural.[5] Dado que el monómero del ácido torreyánico, el Ácido Ambuico también fue aislado del mismo hongo, se toma como evidencia para establecer que durante la biosíntesis del ácido torreyánico se llevó a cabo una reacción de Diels-Alder.[7] La síntesis biomimética del ácido torreyánico incluye la conversión rápida del aldehído 3 a los piranos syn- y anti- (2a y 2b) a través de una oxaelectrociclización, en donde los piranos se encuentran como una mezcla en equilibrio. Posteriormente, una dimerización Diels-Alder espontánea de 2a y 2b procedió con la regio- and diastereoselectividad, dándose así la formación del aducto endo. Seguido de esto, se llevó a cabo una reacción retro Diels-Alder a 60 °C, lo cual probó que el ácido torreyánico provenía de los reactivos 2a y 2b, mientras que el espectro ¹H-NMR mostró que no se encontraba el aldehído 3. El estado de transición estable en la reacción de Diels-Alder tiene una energía de 9.4kcal/mol, y se acopló con la alta reactividad de los diasteroisómeros, por lo que este paso no se lleva a cabo de manera enzimática.[5]

Síntesis total
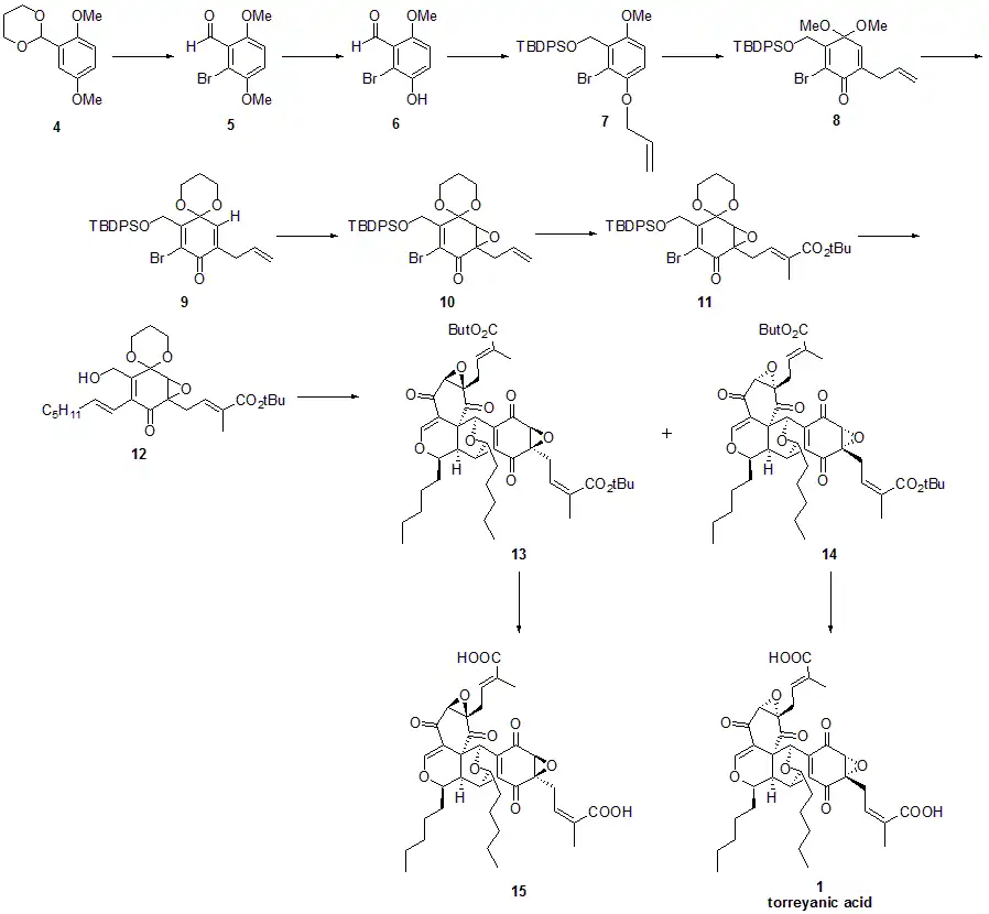
La primera síntesis total del ácido torreyánico fue reportada por Porco y colaboradores en el año 2000[4] Esta síntesis confirmó el argumento propuesto por Lee.[2] Los monómeros fueron preparados por litiación con n-butil litio del intermediario del 1,3-dioxano (4). Posteriormente se sometió el producto a bromación con BrCF2CF2Br y a hidrólisis para obtener el benzaldehído 5. La metilación selectiva de 5 con ácido sulfúrico produce el compuesto aromático 6 con 52% de rendimiento. Al compuesto 6 se le añadió un grupo alilo con bromuro de alilo, se redujo con borhidruro de sodio y se protegió con un grupo sililo para obtener el compuesto 7. El dimetoxiacetal 8 se obtuvo con una transposición de Claisen de 7. El fenol alílico fue sometido a una oxidación con yodo hipervalente, utilizando PhI(OAc)2 en metanol. El producto 8 fue sometido a un intercambio acetálico con 1,3-propanodiol para obtenerse el 1,3-dioxano 9, el cual fue monoepoxidado en condiciones suaves con Ph3COOH, KHMDS, -78 °C a -20 °C por 6 horas para dar el producto 10. Un fragmento de ácido 2-metil-2-butenoico se añadió para dar el compuesto 11, el cual se le agregó un grupo vinilo con una reacción de Stille, utilizándose estannato de (E)-tributil-1-heptenil; subsecuentemente se removió el grupo sililo con TBAF/AcOH y el acetal por hidrólisis para obtenerse el epóxido de la quinona 12. El tratamiento de 12 con el reactivo de Dess-Martin promovió la dimerización y electrociclización para obtenerse 13 and 14. Por tratamiento de 13 y 14 con TFA para remover el ester de ter-butilo se obtuvieron el ácido isotorreyánico 15 y el ácido torreyánico 1 respectivamente.[4]
Referencias
- ↑ Número CAS
- ↑ a b c d e Lee, J.C., et al. (1996). «Torreyanic Acid: A Selectively Cytotoxic Quinone Dimer from the Endophytic Fungus Pestalotiopsis microspora.». The Journal of Organic Chemistry 61: 3232-3233. doi:10.1021/jo960471x.
- ↑ Mehta, G. and S.C. Pan (2004). «Total Synthesis of the Novel, Biologically Active Epoxyquinone Dimer (±)-Torreyanic Acid: A Biomimetic Approach.». Organic Letters 6 (22): 3985-3988. PMID 15496080. doi:10.1021/ol0483551.
- ↑ a b c d Li, C., R.P. Johnson, and J.A. Porco (2003). «Total Synthesis of the Quinone Epoxide Dimer Torreyanic Acid: Application of a Biomimetic Oxidation/Electrocyclization/Diels-Alder Dimerization Cascade». Journal of the American Chemical Society 125 (17): 5095-5106. PMID 12708860. doi:10.1021/ja021396c.
- ↑ a b c d Oikawa, H. and T. Tokiwano (2004). «Enzymatic catalysis of the Diels-Alder reaction in the biosynthesis of natural products.». Natural Products Reports 21 (3): 321-352. PMID 15162222. doi:10.1039/b305068h.
- ↑ a b Stocking, E.M. and R.M. Williams (2003). «Chemistry and Biology of Biosynthetic Diels-Alder Reactions.». Angewandte Chemie International Edition 42 (27): 3078-3115. PMID 12866094. doi:10.1002/anie.200200534.
- ↑ Li, J.Y., et al. (2001). «Ambuic acid, a highly functionalized cyclohexenone with antifungal activity from Pestalotiopsis spp. and Monochaetia sp.». Phytochemistry 56 (5): 463-468. PMID 11261579. doi:10.1016/S0031-9422(00)00408-8.
