Thujopseno
| Thujopseno | ||
|---|---|---|
![]() | ||
| Nombre IUPAC | ||
| (1aS,4aS,8aS)-2,4a,8,8-Tetramethyl-1,1a,4,4a,5,6,7,8-octahydrocyclopropa[d]naphthalene | ||
| General | ||
| Otros nombres | Sesquichamene; Thujopsen; Widdrene | |
| Fórmula estructural |
![]() | |
| Fórmula molecular |
C 15H 24 | |
| Identificadores | ||
| Número CAS | 470-40-6[1] | |
| ChEBI | 9578 | |
| ChemSpider | 390845 | |
| PubChem | 442402 | |
| UNII | E116U47P7N | |
| KEGG | C09740 | |
|
C\2=C(\[C@H]3[C@@]1([C@](CCCC1(C)C)(C)C/2)C3)C
| ||
| Propiedades físicas | ||
| Densidad | 0,936 kg/m³; 0,000936 g/cm³ | |
| Masa molar | 204,35 g/mol | |
| Punto de ebullición | 258 °C (531 K) | |
| Valores en el SI y en condiciones estándar (25 ℃ y 1 atm), salvo que se indique lo contrario. | ||
Thujopseno es un compuesto químico natural, clasificado como un sesquiterpeno, con la fórmula molecular C15H24.[2]
Thujopseno se encuentra en el aceite esencial de una variedad de coníferas,[3] en particular, Juniperus cedrus y Thujopsis dolabrata en el que comprende alrededor de 2,2% del peso del duramen.[4]
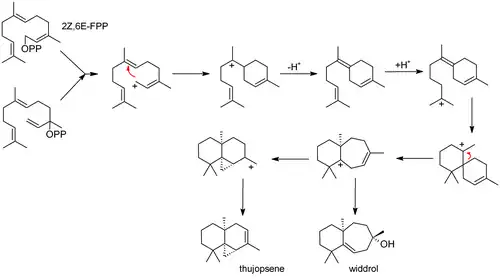
Biosíntesis
Thujopseno se biosintetiza de pirofosfato de farnesilo (FPP):[5]
Referencias
- ↑ Número CAS
- ↑ «(−)-Thujopsene». Sigma-Aldrich.
- ↑ Erdtman, H.; Norin, T. (1960). «Structure of thujopsene and hinokiic acid from coniferous wood». Chemistry and Industry (22): 622-623.
- ↑ Runeburg, Jarl; Gramstad, Thor; Larsson, Lennart; Dodson, R. M. (1960). «The Chemistry of the Natural Order Cupressales XXX. Constituents of Juniperus cedrus L.». Acta Chemica Scandinavica 14: 1991-1994. doi:10.3891/acta.chem.scand.14-1991.
- ↑ J. Mann et al. Natural Products: their chemistry and biological significance. ISBN 978-0582060098.
Enlaces externos
- Esta obra contiene una traducción derivada de «Thujopsene» de Wikipedia en inglés, publicada por sus editores bajo la Licencia de documentación libre de GNU y la Licencia Creative Commons Atribución-CompartirIgual 4.0 Internacional.
