Terflavin B
| Terflavin B | ||
|---|---|---|
![]() | ||
| General | ||
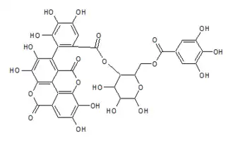
| Fórmula molecular | C34H24O22 | |
| Identificadores | ||
| Número CAS | 103744-86-1[1] | |
| ChEMBL | CHEMBL507965 | |
| ChemSpider | 24713417 | |
| PubChem | 44584734 | |
|
C1=C(C=C(C(=C1O)O)O)C(=O)OCC2C(C(C(C(O2)O)O)O)OC(=O)C3=CC(=C(C(=C3C4=C(C(=C5C6=C4C(=O)OC7=C6C(=CC(=C7O)O)C(=O)O5)O)O)O)O)O
| ||
| Propiedades físicas | ||
| Masa molar | 784.54 g/mol g/mol | |
| Valores en el SI y en condiciones estándar (25 ℃ y 1 atm), salvo que se indique lo contrario. | ||
Terflavin B es un elagitanino, un tipo de tanino hidrolizable. Se puede encontrar en Myrobalanus chebula ( Terminalia chebula ), el Chebulic negro, y en Terminalia catappa, el almendro de la india.[2]
Se forma a partir de un ácido nonahydroxytrifénico dilactona y un ácido gálico vinculado a una molécula de glucosa.
Referencias
Enlaces externos
- Esta obra contiene una traducción derivada de «Terflavin B» de Wikipedia en inglés, publicada por sus editores bajo la Licencia de documentación libre de GNU y la Licencia Creative Commons Atribución-CompartirIgual 4.0 Internacional.
