Teorema de Buchdahl

En relatividad general, el teorema de Buchdahl, llamado así por Hans Adolf Buchdahl,[1] hace más precisa la idea de que existe una densidad máxima permitida para la materia gravitante ordinaria. Da una desigualdad entre la masa y el radio que debe cumplirse para configuraciones de materia estáticas y esféricamente simétricas bajo ciertas condiciones. En particular, para una "estrella" de radio , la masa debe satisfacer
dónde es la constante de gravitación universal y es la velocidad de la luz . Esta desigualdad a menudo se denomina límite de Buchdahl . Históricamente, el límite también se ha llamado límite de Schwarzschild, ya que Karl Schwarzschild señaló por primera vez que existe en el caso especial de un fluido de densidad constante.[2] Sin embargo, esta terminología no debe confundirse con el radio de Schwarzschild, que es notablemente más pequeño que el radio en el límite de Buchdahl.
Teorema
Dada una solución estática y esféricamente simétrica de las ecuaciones de Einstein (sin constante cosmológica ) con materia confinada en una esfera de radio que se comporta como un fluido perfecto con una densidad que no aumenta hacia el exterior (un radio corresponde a una esfera de superficie . En el espacio-tiempo curvo, el radio propio de tal esfera no es necesariamente ) Supone además que la densidad y la presión no pueden ser negativas. La masa de esta solución debe satisfacer
Para su prueba del teorema, Buchdahl usa la ecuación de Tolman-Oppenheimer-Volkoff (TOV) .
Significado
El teorema de Buchdahl es útil cuando se buscan alternativas a los agujeros negros. Tales intentos a menudo se inspiran en la paradoja de la pérdida de información ; una forma de explicar (parte de) la materia oscura; o para criticar que las observaciones de los agujeros negros se basan en la exclusión de alternativas astrofísicas conocidas (como las estrellas de neutrones ) y no en pruebas directas. Sin embargo, para proporcionar una alternativa viable, a veces se necesita que el objeto sea extremadamente compacto y, en particular, que viole la desigualdad de Buchdahl. Esto implica que uno de los supuestos del teorema de Buchdahl debe ser inválido. Se puede hacer un esquema de clasificación basado en qué supuestos se violan.[3]
Casos especiales
Fluido incompresible
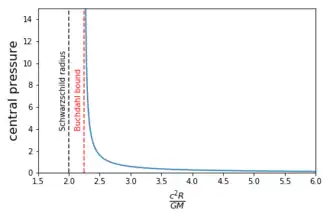
El caso especial del fluido incompresible o de densidad constante, por , es un ejemplo históricamente importante ya que, en 1916, Schwarzschild notó por primera vez que la masa no podía exceder el valor para un radio dado o la presión central se volvería infinita. También es un ejemplo particularmente tratable. Dentro de la estrella uno encuentra.[4]
y usando la ecuación TOV
tal que la presión central, , diverge cuando .
Extensiones
Las extensiones del teorema de Buchdahl generalmente relajan las suposiciones sobre el tema o sobre la simetría del problema. Por ejemplo, introduciendo materia anisotrópica[5][6] o rotación.[7] Además, también se pueden considerar análogos del teorema de Buchdahl en otras teorías de la gravedad[8][9]
Referencias
- ↑ Buchdahl, H.A. (15 de noviembre de 1959). «General relativisitc fluid spheres». Physical Review 116 (4): 1027-1034. doi:10.1103/PhysRev.116.1027.
- ↑ Grøn, Øyvind (2016). «Celebrating the centenary of the Schwarzschild solutions». American Journal of Physics 84 (537). doi:10.1119/1.4944031.
- ↑ Cardoso, Vitor; Pani, Paolo (2019). «Testing the nature of dark compact objects: a status report». Living Reviews in Relativity 22 (1). arXiv:1904.05363. doi:10.1007/s41114-019-0020-4.
- ↑ Carroll, Sean M. (2004). Spacetime and Geometry: An Introduction to General Relativity. San Francisco: Addison-Wesley. ISBN 978-0-8053-8732-2.
- ↑ Ivanov, Boiko (2002). «Maximum bounds on the surface redshift of anisotropic stars». Physical Review D 65 (10): 14011. arXiv:gr-qc/0201090. doi:10.1103/PhysRevD.65.104011.
- ↑ Barraco, Daniel; Hamity, Victor; Gleiser, Reinaldo (2003). «Anisotropic spheres in general relativity reexamined». Physical Review D 67 (6): 064003. doi:10.1103/PhysRevD.67.064003.
- ↑ Klenk, Jürgen (1998). «Geometric properties of rotating stars in general relativity». Classical and Quantum Gravity 15 (10): 3203. doi:10.1088/0264-9381/15/10/021.
- ↑ Rituparno, Goswami; Maharaj, Sunil; Nzioki, Anne Marie (2015). «Buchdahl-Bondi limit in modified gravity: packing extra effective mass in relativistic compact stars». Physical Review D 92 (6): 064002. doi:10.1103/10.1103/PhysRevD.92.064002.
- ↑ Feng, W.-X.; Geng, C.-Q.; Luo, L.-W. (2019). «The Buchdahl stability bound in Eddington-inspired Born-Infeld gravity». Chinese Physics C 43 (8): 083107. arXiv:1810.06753. doi:10.1088/1674-1137/43/8/083107.