Sinalbina
| Sinalbina | ||
|---|---|---|
![]() | ||
| Nombre IUPAC | ||
|
[(2S,3R,4S,5S,6R)-3,4,5-trihydroxy-6-(hydroxymethyl)oxan-2-yl] 2-(4-hydroxyphenyl)-N-sulfooxyethanimidothioate | ||
| General | ||
| Otros nombres | Glucosinalbina; 4-Hydroxybenzyl glucosinolate; Glucosinalbate | |
| Fórmula estructural |
![]() | |
| Fórmula molecular |
C 14H 19N 1O 10S 2 | |
| Identificadores | ||
| Número CAS | 19253-84-0[1] | |
| ChEBI | 9151 | |
| ChemSpider | 2298805 | |
| PubChem | 656568 | |
| KEGG | C08426 | |
|
O[C@H]1[C@H](O)[C@@H](CO)O[C@@H](S/C(CC2=CC=C(O)C=C2)=N\OS(O)(=O)=O)[C@@H]1O
| ||
| Propiedades físicas | ||
| Masa molar | 425,43 g/mol | |
| Valores en el SI y en condiciones estándar (25 ℃ y 1 atm), salvo que se indique lo contrario. | ||
Sinalbina es un glucosinolato encontrado en las semillas de la mostaza blanca, Sinapis alba, y en muchas especies de plantas silvestres. En contraste a la mostaza negra ( Brassica nigra ) semillas que contienen sinigrina, las semillas de mostaza blanca tiene sólo un débil sabor acre.[2]
La sinalbina se metaboliza por la enzima mirosinasa para formar el isotiocianato de p-hidroxifenilmetilo. Tiene un sabor menos fuerte porque el isotiocianato de 4-hidroxibencilo es inestable, con una vida media de una o unas pocas horas. Se degrada a alcohol 4-hidroxibencil y el anión tiocianato, que no es acre. El glucobrassicina es un glucosinolato estructuralmente relacionado que produce igualmente un isotiocianato no penetrante debido a la reacción con agua.
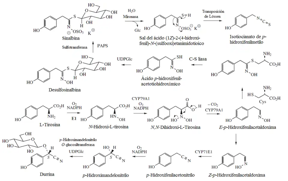
Biosíntesis
Al igual que el resto de los glucosinolatos, la sinalbina es un derivado de una aldoxima intermediaria correspondiente al aminoácido precursor. En el caso de la sinalbina, el precursor es la tirosina:[3]

Referencias
- ↑ Número CAS
- ↑ (en francés) RICHARD H. Arômes alimentaires Document de cours
- ↑ Dewick. Medicinal Natural Products. 3th Ed. Wiley and Sons
Enlaces externos
- Esta obra contiene una traducción derivada de «Sinalbin» de Wikipedia en inglés, publicada por sus editores bajo la Licencia de documentación libre de GNU y la Licencia Creative Commons Atribución-CompartirIgual 4.0 Internacional.
