Síntesis de triazinas de Pinner

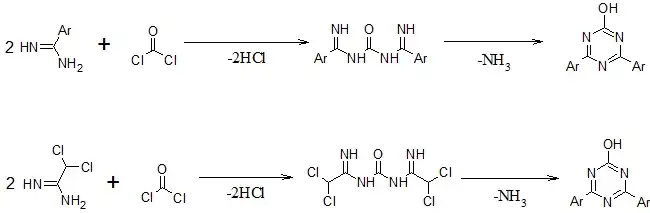
La síntesis de triazina de Pinner describe la preparación de 2-hidroxil-4,6-diaril-s-triazinas por reacción de aril amidinas y fosgeno. Esta reacción puede extenderse a amidinas alifáticas halogenadas.[1][2][3]

Esta reacción fue reportada por primera vez por Adolf Pinner en 1890[4]

Referencias

  1. H. Schröder, C. Grundmann, J. Am. Chem. Soc. 78, 2447 (1956)
  2. E. M. Smolin, L. Rapoport, The Chemistry of Heterocyclic Compounds, A. Weissberger, Ed., s-Triazines and Derivatives (Interscience, NY, 1959) p186
  3. Merck Index 14th Ed.
  4. A. Pinner, Chemische Berichte, 23, 2919 (1890)