Síntesis de aldehídos de Gattermann
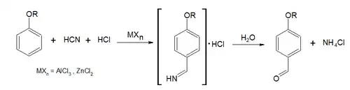
La Síntesis de aldehídos de Gattermann, llamada también Formilación de Gattermann, es una reacción de formilación de un anillo fenólico o un feniléter para dar como producto un para-hidroxibenzaldehído. Es una alternativa de formilación a las reacciones de Reimer-Tiemann y Vilsmeier-Haack.[1][2] Es homóloga a la reacción de Hoesch, ya que ésta utiliza nitrilos. El método consiste en dos reacciones:
- 1) Sustitución electrófila aromática del cianuro de hidrógeno para formar el clorhidrato de la benzaldimina.
- 2) Hidrólisis de la imina.

Véase también
- Reacción de Reimer-Tiemann
- Reacción de Vilsmeier-Haack
- Reacción de Rieche
- Reacción de Hoesch