Ruta metabólica

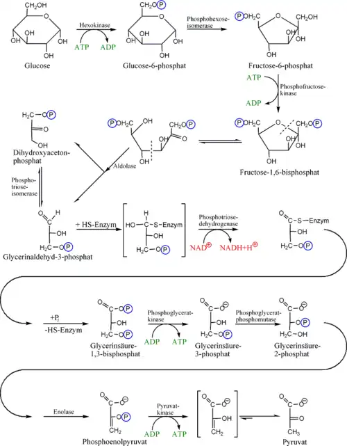
La glucólisis, ejemplo de ruta metabólica en la que se transforma una molécula de glucosa en dos moléculas de piruvato, y se genera energía ATP y poder reductor (NADPH).

En bioquímica, una ruta metabólica o vía metabólica es una sucesión de reacciones químicas donde un sustrato inicial se transforma y da lugar a productos finales, a través de una serie de metabolitos intermediarios.[1]​ Por ejemplo, en la ruta metabólica que incluye la secuencia de reacciones:

A     →     B     →    C     →     D     →    E

A es el sustrato inicial, E es el producto final, y B, C, D son los metabolitos intermediarios de la rutas metabólicas.

Las diferentes reacciones de todas las rutas metabólicas están muertas y catalizadas por enzimas y ocurren en el interior de las células. Muchas de estas rutas son muy complejas e involucran una modificación paso a paso de la sustancia inicial para darle la forma del producto con la estructura química deseada. Podemos decir que en campos mayores también el citoplasma influye mucho.

Todas las rutas metabólicas están interconectadas y muchas no tienen sentido aisladamente; no obstante, dada la enorme complejidad del metabolismo, su subdivisión en series relativamente cortas de reacciones facilita mucho su comprensión. Muchas rutas metabólicas se entrecruzan y existen algunos metabolitos que son importantes encrucijadas metabólicas, como el acetil coenzima-A.

Tipos de rutas metabólicas

Una ruta metabólica es un conjunto de reacciones químicas consecutivas catalizadas por enzimas programadas por la célula. Normalmente se distinguen tres tipos de rutas metabólicas de acuerdo a un criterio bioenergético:

  • Rutas catabólicas. Son rutas en las cuales los nutrientes orgánicos se degradan oxidativamente en productos finales simples con el propósito de obtener energía química y poder reductor para ser transformados en otras formas de energía útil para la célula. La energía química normalmente se convierte en un equivalente biológico durante la síntesis del ATP, y el poder reductor en la síntesis del NADPH. Por ejemplo, la glucólisis y la beta-oxidación. En conjunto, estas rutas constituyen al catabolismo.[2]
  • Rutas anabólicas. Son rutas que convierten moléculas precursoras de bajo peso molecular, tales como dióxido de carbono, acetato o piruvato, en moléculas progresivamente más grandes y complejas como proteínas, polisacáridos, lípidos de membrana y ácidos nucleicos. Tales rutas invariablemente requieren el consumo de energía (ATP) y poder reductor (NADPH). Se denominan colectivamente como anabolismo. Por ejemplo, el ciclo de Calvin y la biosíntesis de ácidos grasos.[2]
  • Rutas anfibólicas. Son rutas mixtas, tanto catabólicas como anabólicas. Por ejemplo, el ciclo de Krebs cumple un papel crucial en el catabolismo de carbohidratos, ácidos grasos y aminoácidos, pero también proporciona precursores para muchas rutas biosintéticas a través de reacciones que cumplieron el mismo propósito en antepasados anaeróbicos. Diez de los veinte aminoácidos proteínicos provienen del 2-oxoglutarato y el oxaloacetato. A partir del aspartato y el glutamato se forman otros aminoácidos proteínicos, así como los nucleótidos de pirimidina, diversos alcaloides y los tetrapirroles que constituyen las clorofilas.[2]

Existe de manera alterna el llamado metabolismo antibiótico o xenobiótico. Los xenobióticos se han definido como sustancias químicas a las que se expone un organismo las cuales son extrínsecas al metabolismo normal de ese organismo.[3]​ Varios autores declaran que este tipo de rutas no deberían denominarse como parte del metabolismo, sino como una biotransformación.[4]​ Un ejemplo es la conjugación glucurónica de diversos fármacos y toxinas.

Rutas metabólicas principales

Véase también

Referencias

  1. «Ruta metabólica». Enciclopedia Universal. 
  2. a b c Lehninger, Albert L; Nelson, David L; Cox, Michael M (2005). Lehninger principles of biochemistry (en inglés) (4 edición). W.H. Freeman. p. 616. ISBN 978-0-7167-4339-2. OCLC 55476414. 
  3. «Metabolism of Xenobiotics of Human Environments». Progress in Molecular Biology and Translational Science (en inglés) 112: 31-88. 1 de enero de 2012. ISSN 1877-1173. doi:10.1016/B978-0-12-415813-9.00003-9. Consultado el 11 de enero de 2021. 
  4. Parkinson, Andrew. «Chapter 6. Biotransformation of Xenobiotics | Casarett & Doull's Essentials of Toxicology, 2e | AccessPharmacy | McGraw-Hill Medical». https://accesspharmacy.mhmedical.com. Consultado el 11 de enero de 2021. 

Enlaces externos