2,4-dinitrofenilhidrazina

2,4-dinitrofenilhidrazina
Nombre IUPAC
2,4-dinitrofenilhidracina
General
Otros nombres 2,4-DNFH; Reactivo de Brady; 2,4-dinitrofenilhidracina
Fórmula semidesarrollada Fórmula desarrollada de la 2,4-dinitrofenilhidracina.
Fórmula estructural Imagen de la estructura
Fórmula molecular C6H6N4O4
Identificadores
Número CAS 119-26-6[1]
ChEBI 66932
ChEMBL CHEMBL352799
ChemSpider 3001507
PubChem 3772977
UNII 1N39KD7QPJ
KEGG C11283
Propiedades físicas
Masa molar 198,14 g/mol
Punto de fusión 467 K (194 °C)
Valores en el SI y en condiciones estándar
(25 y 1 atm), salvo que se indique lo contrario.

La 2,4-dinitrofenilhidracina (también conocido reactivo de Brady) es un compuesto orgánico relativamente sensible a golpes y fricción, por lo que debe tener especial cuidado con su uso y suele ser provisto mojado para disminuir el riesgo. Es una hidrazina substituida y es usada generalmente como prueba cualitativa para grupos carbonilos.

Síntesis

La 2,4-DNFH se encuentra comercialmente disponible como un polvo mojado. Puede sintetizarse a partir de la reacción de hidrazina con 2,4-dinitroclorobenceno.[2]

Reactivo de Brady

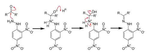
La 2,4-dinitrofenilhidrazina puede usarse para detectar cualitativamente los grupos carbonilo de cetonas y aldehídos. El resultado es positivo cuando hay un precipitado rojo o amarillo (dinitrofenilhidrazona):

RR'C=O + C6H3(NO2)2NHNH2 → C6H3(NO2)2NHNCRR' + H2O

Esta reacción puede describirse como una reacción de condensación: se unen dos moléculas y pierden agua. También es llamada reacción de adición-eliminación: una adición nucleofílica del grupo -NH2 al grupo carbonilo C=O, seguida de la remoción de una molécula de H2O.

A continuación se muestra el mecanismo de reacción entre la 2,4-DNFH y un aldehído o cetona:[3]
Mecanismo de reacción

Los cristales de las distintas hidrazonas tienen puntos de fusión y ebullición característicos. Gracias a ello la 2,4-DNFH puede usarse para distinguir entre diversos compuestos con grupos carbonilos. Este método es particularmente importante porque las determinaciones de punto de fusión requiere tan solo instrumental de bajo costo. Esta aplicación en química analítica fue desarrollada por Brady y Elsmie.[4]

Además, no reacciona con otros grupos funcionales que contengan carbonilos, como los ácidos carboxílicos, amidas y ésteres.

Véase también

Referencias

Notas

  1. Número CAS
  2. Allen, C. F. H. (1943). "2,4-Dinitrophenylhydrazine". Org. Synth.; Coll. Vol. 2: 228. 
  3. Adaptado de Chemistry in Context, 4ª edición, 2000, Graham Hill and John Holman
  4. Brady, O. L.; Elsmie, G. V. (1926). «The use of 2:4-dinitrophenylhydrazine as a reagent for aldehydes and ketones». Analyst 51: 77-78. doi:10.1039/AN9265100077.