Reacción de la formosa
La reacción de la formosa, descubierta por Aleksandr Bútlerov en 1861,[1][2] involucra la formación de azúcares a partir del formaldehído. Formosa es una contracción de formaldehído y aldosa.
Reacción y mecanismo
La reacción es catalizada por una base y un metal divalente tal como el calcio. Los pasos intermediarios que toman lugar son reacciones aldólicas, reacciones aldólicas inversas, e isomerizaciones aldosa-cetosa. Intermediarios son el glicolaldehído, gliceraldehído, dihidroxiacetona, y tetrosas. En 1959 Ronald Breslow propuso un mecanismo para la reacción, consistente en los siguientes pasos:[3]

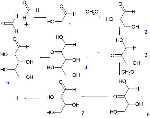
La reacción comienza con dos moléculas de formaldehído condensándose para formar glicolaldehído 1 el cual posteriormente reacciona en una reacción aldólica con otro equivalente de formaldehído para formar gliceraldehído 2. Una isomerización aldosa-cetosa de 2 forma dihidroxiacetona 3 que puede reaccionar con 1 para formar ribulosa 4, y a través de otra isomerización forma ribosa 5. La molécula 3 puede reaccionar también con formaldehído para producir tetrulosa 6 y después aldotetrosa 7. La molécula 7 puede dividirse para formar 2 en una reacción retro-aldólica.
Importancia
La reacción de la formosa es de gran importancia para la cuestión del origen de la vida ya que explica parte de la ruta del formaldehído simple hasta azúcares complejos como ribosa y desde ahí hasta el ARN. En un experimento que simula las condiciones primitivas de la Tierra, pentosas formadas a partir de mezclas de formaldehído, gliceraldehído, y minerales de borato tales como la colemanita (Ca2B6O115H2O) o la kernita (Na2B4O7).[4] Tanto el formaldehído como el glicolaldehído han sido observados espectroscópicamente en el espacio exterior, volviendo a la reacción de la formosa de particular interés al campo de la astrobiología.
Referencias
- ↑ (en francés) A. Boutlerow (1861) "Formation synthétique d'une substance sucrée" (Synthetic formation of a sugary substance), Comptes rendus ... 53: 145-147. Reimpreso en alemán como: Butlerow, A. (1861), "Bildung einer zuckerartigen Substanz durch Synthese" (Formación de una sustancia tipo azúcar por síntesis), Justus Liebigs Annalen der Chemie, 120: 295-298.
- ↑ Orgel, Leslie E. (2000). «Self-organizing biochemical cycles». PNAS 97 (23): 12503-12507. Bibcode:2000PNAS...9712503O. PMC 18793. PMID 11058157. doi:10.1073/pnas.220406697.
- ↑ Breslow, R. (1959). «On the Mechanism of the Formose Reaction». Tetrahedron Letters 1 (21): 22-26. doi:10.1016/S0040-4039(01)99487-0.
- ↑ Ricardo, A.; et al. (2004). «Borate Minerals Stabilize Ribose». Science 303 (5655): 196. PMID 14716004. doi:10.1126/science.1092464.
Bibliografía
- Shaw, Andrew M. (2006). John Wiley & Sons, ed. Astrochemistry: From Astronomy to Astrobiology (en inglés). Ilustrada, reimpresa. p. 242. ISBN 9780470091371. Consultado el 2 de septiembre de 2012.
Enlaces externos
- Esta obra contiene una traducción derivada de «Formose reaction» de Wikipedia en inglés, concretamente de esta versión, publicada por sus editores bajo la Licencia de documentación libre de GNU y la Licencia Creative Commons Atribución-CompartirIgual 4.0 Internacional.