Reacción de Thorpe
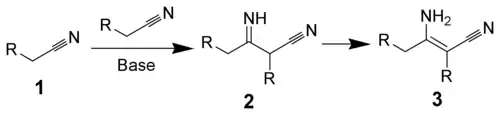
La reacción de Thorpe es una reacción orgánica descrita como una autocondensación de nitrilos alifáticos catalizada por una base para formar cianoenaminas. La reacción fue descrita por Jocelyn Field Thorpe.

Reacción de Thorpe–Ziegler
La reacción de Thorpe–Ziegler (llamada por Jocelyn Field Thorpe y Karl Ziegler), es la modificación intramolecular con un dinitrilo como reactivo y una cetona endocíclica como producto de la reacción final de hidrólisis ácida. La reacción está relacionada con la condensación de Dieckmann.[1][2][3]

Enlaces externos
- Thorpe-Ziegler reaction: 4-Phosphorinanone, 1-phenyl- Organic Syntheses, Coll. Vol. 6, p.932 (1988); Vol. 53, p.98 (1973) Link