Reacción de Nierenstein
La reacción de Nierenstein es una reacción orgánica que consiste en la conversión de un cloruro de acilo en una clorocetona utilizando diazometano.[1][2] La reacción de Nierenstein es una inserción en la que el metileno del diazometano es insertado al carbonilo del cloruro de ácido.

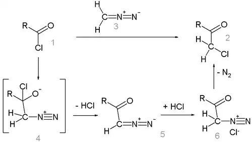
Mecanismo de reacción
Es similar al mecanismo de la Reacción de Arndt-Eistert, ya que procede con una diazocetona como intermediario (5). La pérdida de nitrógeno da la halocetona deseada (2).

La síntesis de la bencil clorometil cetona a partir de cloruro de fenilacetilo[3] requiere de hecho la adición de HCl gaseoso a la diazocetona intermedia para que ocurra.
Aplicaciones
La reacción original de 1924 de Nierenstein se muestra a continuación:[4]

La siguiente es una reacción que parte de bromuro de benzoilo con la formación de un dímero de dioxano:[5]

Referencias
- ↑ Clibbens, D.; Nierenstein, M. (1915). «The action of diazomethane on some aromatic acyl chlorides». J. Chem. Soc. 107: 1491. doi:10.1039/CT9150701491.
- ↑ Bachman, W. E.; Struve, W. S. (1942). Org. React. 1: 38. (Review)
- ↑ McPhee, W. D; Klingsberg, E. Organic Syntheses, Coll. Vol. 3, p.119 (1955); Vol. 26, p.13 (1946). (Article)
- ↑ M. Nierenstein, D. G. Wang, and J. C. Warr (1924). «The Action of Diazomethane on some Aromatic Acyl Chlorides II. Synthesis of Fisetol». J. Am. Chem. Soc. 46 (11): 2551-2555. doi:10.1021/ja01676a028.
- ↑ H. H. Lewis, M. Nierenstein, and Enid M. Rich (1925). «The Action of Diazomethane on some Aromatic Acyl Chlorides III. The Mechanism of the Reaction». J. Am. Chem. Soc. 47 (6): 1728-1732. doi:10.1021/ja01683a036.
Véase también
- Transposición de Curtius
- Transposición de Wolff