Reacción de McFadyen-Stevens
La reacción de McFadyen–Stevens es una reacción química descrita como una descomposición térmica catalizada por una base de acilsulfonilhidrazidas a aldehídos.[1][2]

Dudman ha desarrollado una alternativa con un reactivo de hidrazida.[3]
Mecanismo de reacción
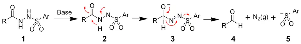
El mecanismo de la reacción de McFadyen–Stevens sigue investigándose. Dos grupos de investigadores han propuesto de manera independiente un mecanismo de fragmentación heterolítica[4][5] El mecanismo implica la desprotonación de la acilsulfonamida seguida de una migración 1,2 de un protón para dar el alcóxido (3). La fragmentación del alcóxido da como resultado el aldehído (4), nitrógeno gaseoso, y un ion arilsulfinato (5).

Martin y colaboradores han propuesto un mecanismo distinto, el cual implica la formación de un acilnitreno.[6]
Referencias
- ↑ McFadyen, J. S.; Stevens, T. S. J. Chem. Soc. 1936, 584.
- ↑ Mosettig, E. Org. React. 1954, 8, 232-240. (Review)
- ↑ Dudman, C. C. et al. Tetrahedron Lett. 1980, 4645.
- ↑ Brown, V. M.; Carter, P. H.; Tomlinson, M. J. Chem. Soc. 1958, 1843.
- ↑ Campaigne, E.; Thompson, R. L.; Van Werth, J. E. J. Med. Chem. 1959, 1, 577.
- ↑ Martin, S. B.; Craig, J. C.; Chan, R. P. K. J. Org. Chem. 1974, 39, 2285 - 2289. (doi 10.1021/jo00929a600)