Reacción de Herz
La reacción de Herz, nombrada por el químico Richard Herz, es la conversión de un derivado de la anilina (1) a una sal de Herz (2) en donde se emplea dicloruro de azufre; posteriormente, esta sal se hidroliza al tiolato de sodio correspondiente (3):[1]

Aplicaciones
Benzotiazoles
El tiolato de sodio 3 puede ser convertido en un sulfuro orgánico de zinc con sulfato de zinc. Seguido de esto, el sulfuro reacciona con un cloruro de acilo, por ejemplo cloruro de benzoilo, formándose así el 1,3-benzotiazol 4.

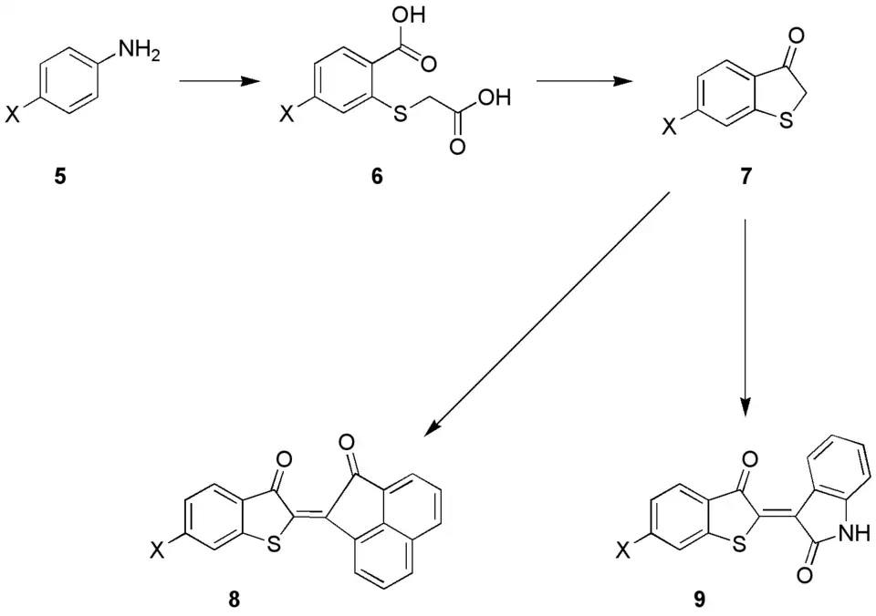
Colorantes
La anilina 5 se convierte en el ácido 2-[(carboximetil)tio]benzoico 6, en tres pasos;
- conversión a un orto-aminotiol a través de la reacción de Herz (la anilina 5 y cloruro de diazufre),
- conversión a un ácido orto-aminoariltioglicólico,
- conversión de la función amina aromática a l función nitrilo por medio de una reacción de Sandmeyer.
- En el último paso, el nitrilo es hidrolizado (6). Este compuesto es convertido en 7 por una reacción de cierre de anillo seguida de descarboxilación.
El compuesto formado (tioindoxilo, 7) es un intermediario importante en síntesis orgánica de algunos colorantes. La condensación con acenaftoquinona produce el compuesto 8, un pigmento de tipo Ciba-Scarlet, mientras que la condensación con isatina 7 da como resultado el colorante tioíndigo 9.

Referencias
- ↑ W. K. Warburton (1957). «Arylthiazathiolium Salts And o-Aminoaryl Thiols - The Herz Reaction». Chemical Reviews 57 (5): 1011-1020. doi:10.1021/cr50017a004.