Reacción de Gomberg-Bachmann
La reacción de Gomberg-Bachmann (llamada por algunos autores reacción de Gomberg-Bachmann-Hey) es una reacción orgánica que consiste en un acoplamiento (O copulación) de dos anillos aromáticos, uno que contiene un activante (por lo general un hidroxilo o un alcóxido) y el otro, una sal de diazonio. El nombre de la reacción se estableció en honor al químico ucraniano-estadounidense Moses Gomberg y al químico estadounidense Werner Emmanuel Bachmann, que la establecieron en 1924.[1][2][3]

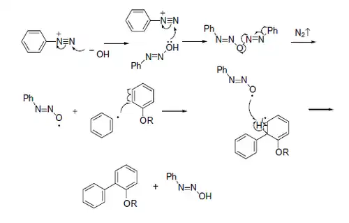
Mecanismo
El mecanismo se puede dividir en cinco pasos:

Aplicaciones
La reacción presenta un amplio espectro tanto en los derivados del arilo activado como en los de la sal de diazonio. Sin embargo, el procedimiento original presenta rendimientos bajos (menos del 40%) debido a las reacciones secundarias de la sal de diazonio. Se han reportado diversas modificaciones; una de ellas consiste en el uso de tetrafluoroboratos de diazonio en un areno como solvente y empleando catálisis de transferencia de fase.[6] Otra propuesta es el uso de 1-aril-3,3-dialquiltriazenos.[7]
Reacción de Pschorr
La Reacción de Pschorr es una variante intramolecular, en donde ambos anillos se encuentran vinculados por un sustituyente bivalente:[8][9][10]
El grupo Z puede ser CH2 (Metileno), CH2CH2 (Etileno), NH (Puente imino) o CO (Carbonilo).[11]
Véase también
- Síntesis de Graebe-Ullmann
- Arilación de Meerwein
- Reacción de Sandmeyer
Referencias
- ↑ M. Gomberg, W. E. Bachmann (1924). J. Am. Chem. Soc. 42 (10): 2339-2343. doi:10.1021/ja01675a026.
- ↑ W. Pötsch. Lexikon bedeutender Chemiker (VEB Bibliographisches Institut Leipzig, 1989) (ISBN 3817110553)
- ↑ M. B. Smith, J. March. March's Advanced Organic Chemistry (Wiley, 2001) (ISBN 0-471-58589-0)
- ↑ M. Gomberg and W. E. Bachmann (1941). "p-Bromobiphenyl". Org. Synth.; Coll. Vol. 1: 113.
- ↑ Jie Jack Li (2009). Name Reactions. A Collection of Detailed Reaction Mechanisms 4th Edition. Berlin, De: Springer. ISBN 978-3-642-01052-1.
- ↑ J.R. Beadle, S.H. Korzeniowski, D.E. Rosenberg, B.J. Garcia-Slanga, G.W. Gokel (1984). «Phase-transfer-catalyzed Gomberg-Bachmann synthesis of unsymmetrical biarenes: a survey of catalysts and substrates». J. Org. Chem. 49 (9): 1594-603. doi:10.1021/jo00183a021.
- ↑ T.B. Patrick, R.P. Willaredt, D.J. DeGonia (1985). «Synthesis of biaryls from aryltriazenes». J. Org. Chem. 50 (13): 2232-2235. doi:10.1021/jo00213a007.
- ↑ R. Pschorr (1896). «Neue Synthese des Phenanthrens und seiner Derivate». Chem. Ber. 29: 496. doi:10.1002/cber.18960290198.
- ↑ Jerry March (2007). Advanced Organic Chemistry: Reactions, Mechanisms And Structure 6th Edition. New Jersey, US: Wiley. ISBN 978-0-471-72091-1.
- ↑ Review Article, Kenneth K. Laali and Mohammadreza Shokouhimehr, The Pschorr Reaction, a Fresh Look at a Classical Transformation Current Organic Synthesis, 2009, 6, 193-202. DOI:10.2174/157017909788167275
- ↑ Stephen A. Chandler, Peter Hanson, Alec B. Taylor, Paul H. Walton and Allan W. Timms (2001). «Sandmeyer reactions. Part 5.1 Estimation of the rates of 1,5-aryl/aryl radical translocation and cyclisation during Pschorr fluorenone synthesis with a comparative analysis of reaction energetics». J. Chem. Soc., Perkin Trans. 2 (2): 214-228. doi:10.1039/b006184k.
