Reacción de Dakin-West
La reacción de Dakin–West es una reacción química en la que se transforma un aminoácido a una ceto-amida utilizando un anhídrido carboxílico y una base, comúnmente piridina.[1][2][3][4][5] Fue nombrada en honor a los químicos Henry Drysdale Dakin (1880–1952) y Randolph West (1890–1949). En 2016 Schreiner y colaboradores informaron la primera variante asimétrica de esta reacción.[6]

Con piridina como base y disolvente, se requieren condiciones de reflujo.[7] Sin embargo, con la adición de 4-dimetilaminopiridina (DMAP) como catalizador, la reacción puede tener lugar a temperatura ambiente.[8]
Con algunos ácidos, esta reacción puede tener lugar incluso en la ausencia de un α-grupo amino.
Esta reacción no debe ser confundida con la oxidación de Dakin.
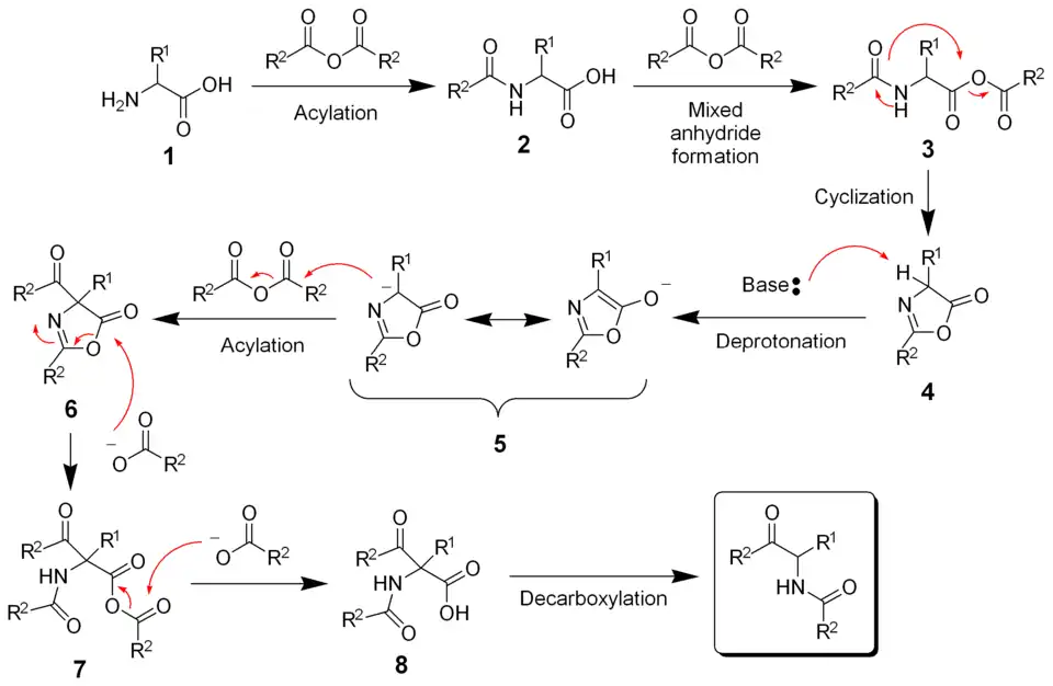
Mecanismo de reacción
El mecanismo de reacción implica la acilación y activación del ácido 1 al anhídrido mixto 3. La amida servirá como nucleófilo para la ciclización, formando la azlactona 4. La desprotonación y posterior acilación de la azlactona forma el enlace carbono-carbono. La apertura consecuente del anillo 6 y la descarboxilación forma la ceto-amida.[9][10]

Síntesis general de cetonas
Variaciones modernas en la reacción de Dakin-West han permitido que diversos ácidos carboxílicos enolizables – no necesariamente aminoácidos– se conviertan en sus metilcetonas correspondientes. Por ejemplo, los ácidos carboxílicos β-arílicos pueden ser convertidos eficientemente a acetocetonas por tratamiento de una disolución de anhídrido acético con su ácido y N-metilimidazol como base catalítica. Esta reactividad está atribuida a la formación de un acetilimidazolio intermediario, el cual es un potente agente acetilante in situ.[11]

Referencias
- ↑ Dakin, Henry Drysdale; West, Randolph (1928). «A General Reaction of Amino Acids». The Journal of Biological Chemistry 78 (1): 91-104.
- ↑ Dakin, Henry Drysdale; West, Randolph (1928). «A General Reaction of Amino Acids. II». The Journal of Biological Chemistry 78 (3): 745-756.
- ↑ Dakin, Henry Drysdale; West, Randolph (1928). «Some Aromatic Derivatives of Substituted Acetylaminoacetones». The Journal of Biological Chemistry 78 (3): 757-764.
- ↑ Wiley, Richard H. (1947). «The Conversion of Amino Acids to Oxazoles». The Journal of Organic Chemistry 12 (1): 43-46. doi:10.1021/jo01165a006.
- ↑ Buchanan, G. L. (1988). «The Dakin–West reaction». Chemical Society Reviews 17: 91-109. doi:10.1039/CS9881700091.
- ↑ Wende, Raffael C.; Seitz, Alexander; Niedek, Dominik; Schuler, Sören M. M.; Hofmann, Christine; Becker, Jonathan; Schreiner, Peter R. (2016). «The Enantioselective Dakin-West Reaction». Angewandte Chemie International Edition 55: 2719-2723. PMID 26804727. doi:10.1002/anie.201509863.
- ↑ Wiley, Richard H.; Borum, O. H. (1953). «3-Acetamido-2-butanone». Organic Syntheses 33: 1. doi:10.15227/orgsyn.033.0001.
- ↑ Höfle, Gerhard; Steglich, Wolfgang; Vorbrüggen, Helmut (1978). «4-Dialkylaminopyridines as Highly Active Acylation Catalysts. [New synthetic method (25)]». Angewandte Chemie International Edition in English 17 (8): 569-583. doi:10.1002/anie.197805691.
- ↑ Knorr, Rudolf; Huisgen, Rolf (1970). «Zum Mechanismus der Dakin-West-Reaktion, I Die Reaktion von N-Acyl-sek.-aminosäuren mit Acetanhydrid». Chemische Berichte 103 (8): 2598-2610. doi:10.1002/cber.19701030831.
- ↑ Allinger, Norman L.; Wang, Grace L.; Dewhurst, Brian B. (1974). «Kinetic and mechanistic studies of the Dakin-West reaction». The Journal of Organic Chemistry 39 (12): 1730-1735. doi:10.1021/jo00925a029.
- ↑ Tran, Khanh-Van; Bickar, David (2006). «Dakin−West Synthesis of β-Aryl Ketones». The Journal of Organic Chemistry 71 (17): 6640-6643. PMID 16901161. doi:10.1021/jo0607966.