Pinoresinol
| Pinoresinol | ||
|---|---|---|
![]() | ||
| Nombre IUPAC | ||
| 4-[(3S,3aR,6S,6aR)-6-(4-hydroxy-3-methoxyphenyl)-1,3,3a,4,6,6a-hexahydrofuro[3,4-c]furan-3-yl]-2-methoxyphenol | ||
| General | ||
| Otros nombres |
(+)-Pinoresinol (-)-Pinoresinol | |
| Fórmula estructural |
| |
| Fórmula molecular | C20H22O6 | |
| Identificadores | ||
| Número CAS | 487-36-5[1] | |
| ChEBI | 40 | |
| ChEMBL | 487611 | |
| PubChem | 73399 | |
| UNII | V4N1UDY811 | |
| KEGG | C05366 | |
|
COC1=C(C=CC(=C1)C2C3COC(C3CO2)C4=CC(=C(C=C4)O)OC)O
| ||
| Propiedades físicas | ||
| Masa molar | 358,38 g/mol | |
| Valores en el SI y en condiciones estándar (25 ℃ y 1 atm), salvo que se indique lo contrario. | ||
El pinoresinol (con fórmula química C20H22O6) es un lignano que se encuentra en Styrax sp.[2] y en Forsythia suspensa.[3] También se encuentra en la oruga de la mariposa de la col, Pieris rapae donde le sirve como una defensa contra las hormigas.[4]
En los alimentos, se encuentra en semilla del sésamo, en las hortalizas Brassica hortalizas[5] y en el aceite de oliva.[6]
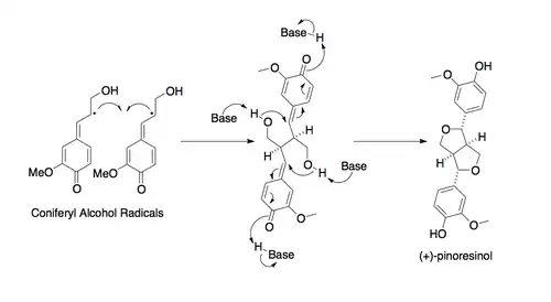
Biosíntesis
A primera proteína fue descubierta en Forsythia intermedia. Esta proteína se ha encontrado para dirigir la biosíntesis estereoselectiva de (+)-pinoresinol de monómeros del alcohol coniferílico.[7] Recientemente, una segunda proteína fue identificado en Arabidopsis thaliana, que dirige la síntesis enantioselectiva de (-). pinoresinol-.[8]
-Pinoresinol_Biosynthesis.png)

Farmacología
Pinoresinol inhibe la enzima α-glucosidasa in vitro y por lo tanto puede actuar como un agente hipoglucemiante.[9] Un estudio con aceite de oliva virgen extra mostró que pinoresinol posee in vitro propiedades de quimioprevención.[10]
Metabolismo en enterolignanos
Pinoresinol, junto con otros lignanos vegetales, se convierten en enterolignanos por la microflora intestinal en el cuerpo humano.[11]
Referencias
- ↑ Número CAS
- ↑ Pastrorova et al. (1997)
- ↑ Davin, Laurence B.; Bedgar, Diana L.; Katayama, Takeshi; Lewis, Norman G. (1992). «On the stereoselective synthesis of (+)-pinoresinol in Forsythia suspensa from its achiral precursor, coniferyl alcohol». Phytochemistry 31 (11): 3869-74. PMID 11536515. doi:10.1016/S0031-9422(00)97544-7.
- ↑ Schroeder, F. C.; Del Campo, M. L.; Grant, J. B.; Weibel, D. B.; Smedley, S. R.; Bolton, K. L.; Meinwald, J.; Eisner, T. (2006). «Pinoresinol: A lignol of plant origin serving for defense in a caterpillar». Proceedings of the National Academy of Sciences 103 (42): 15497-501. PMC 1622851. PMID 17030818. doi:10.1073/pnas.0605921103.
- ↑ Milder, Ivon E. J.; Arts, Ilja C. W.; Putte, Betty van de; Venema, Dini P.; Hollman, Peter C. H. (2007). «Lignan contents of Dutch plant foods: A database including lariciresinol, pinoresinol, secoisolariciresinol and matairesinol». British Journal of Nutrition 93 (3): 393-402. PMID 15877880. doi:10.1079/BJN20051371.
- ↑ Owen, R.W; Giacosa, A; Hull, W.E; Haubner, R; Spiegelhalder, B; Bartsch, H (2000). «The antioxidant/anticancer potential of phenolic compounds isolated from olive oil». European Journal of Cancer 36 (10): 1235-47. PMID 10882862. doi:10.1016/S0959-8049(00)00103-9.
- ↑ Davin LB, Wang HB, Crowell AL, et al. (1997). «Stereoselective bimolecular phenoxy radical coupling by an auxiliary (dirigent) protein without an active center». Science 275 (5298): 362-6. PMID 8994027. doi:10.1126/science.275.5298.362.
- ↑ Pickel B, Constantin M-A, Pfannsteil J, Conrad J, Beifuss U, Schaffer A (marzo de 2007). «An Enantiocomplementary Dirigent Protein for the Enantioselective Laccase-Catalyzed Oxidative Coupling of Phenols». Angewandte Chemistry 53 (4): 273-284. doi:10.1007/s10086-007-0892-x.
- ↑ Wikul, A; Damsud, T; Kataoka, K; Phuwapraisirisan, P (2012). «(+)-Pinoresinol is a putative hypoglycemic agent in defatted sesame (Sesamum indicum) seeds though inhibiting α-glucosidase». Bioorganic & Medicinal Chemistry Letters 22 (16): 5215-7. PMID 22818971. doi:10.1016/j.bmcl.2012.06.068.
- ↑ Fini, L; Hotchkiss, E; Fogliano, V; Graziani, G; Romano, M; De Vol, EB; Qin, H; Selgrad, M et al. (2008). «Chemopreventive properties of pinoresinol-rich olive oil involve a selective activation of the ATM-p53 cascade in colon cancer cell lines». Carcinogenesis 29 (1): 139-46. PMID 17999988. doi:10.1093/carcin/bgm255.
- ↑ Milder, IE; Arts, IC; Van De Putte, B; Venema, DP; Hollman, PC (2005). «Lignan contents of Dutch plant foods: A database including lariciresinol, pinoresinol, secoisolariciresinol and matairesinol». The British journal of nutrition 93 (3): 393-402. PMID 15877880. doi:10.1079/BJN20051371.
Enlaces externos
- Esta obra contiene una traducción derivada de «Pinoresinol» de Wikipedia en inglés, publicada por sus editores bajo la Licencia de documentación libre de GNU y la Licencia Creative Commons Atribución-CompartirIgual 4.0 Internacional.
