Pardeamiento
Pardeamiento, empardecimiento, amarroneamiento, oscurecimiento o dorado es el proceso por el cual los alimentos toman un color marrón debido a ciertas reacciones químicas especiales. El pardeamiento es una de las reacciones más notables de la química de los alimentos y constituye un importante campo de investigación por sus implicaciones en la salud, nutrición y su impacto económico en la industria alimentaria. Aunque, en general, el paso del tiempo puede alterar la composición química de los alimentos de muy distintas formas, el pardeamiento en particular puede ser de dos tipos: pardeamiento enzimático y pardeamiento no enzimático. Los resultados del pardeamiento pueden ser deseados o indeseados, dependiendo del tipo de alimento del que se trate.
El pardeamiento es extremadamente relevante para la industria alimentaria por su impacto en los valores nutricionales, tecnología y costes económicos.[1] Los investigadores tienen especial interés en el estudio del control (inhibición) del pardeamiento, así como de los distintos métodos que más inhiben este proceso, lo cual en última instancia supone disminuir la perecibilidad de los alimentos que aún no han sido vendidos en los comercios.[2]
Enzimático
El pardeamiento enzimático es una de las reacciones más notables que afectan a la mayoría de frutas, verduras y mariscos.[3] Estas reacciones modifican el sabor, color y valor económico de dichos alimentos. En general, se trata de una reacción química donde participan las enzimas polifenol oxidasa, catecol oxidasa y otras que catalizan la producción de melaninas y benzoquinona a partir de fenoles naturales. El pardeamiento enzimático (llamado también oxidación alimentaria) requiere la presencia de oxígeno. Se inicia con la oxidación de los fenoles por parte del oxígeno catalizada por la enzima polifenol oxidasa para dar quinonas,[4] cuyo pronunciado carácter electrófilo causa una elevada susceptibilidad a recibir el ataque nucleófilo de otras proteínas. Estas quinonas luego son polimerizadas en una serie de reacciones que finalmente dan como resultado la formación de pigmentos de color marrón, o melanosis, en la superficie de los alimentos.[5] El grado de pardeamiento depende de la cantidad de polifenol oxidasas activas presentes en determinado alimento. Por tanto, la mayoría de los métodos que se investigan para inhibir el pardeamiento se basan en entorpecer la acción de la enzima polifenol oxidasa. Sin embargo, no toda reacción de pardeamiento produce efectos indeseados.
.png)

Ejemplos de pardeamiento enzimático deseado:
- El que aporta el color y sabor característicos del café, el cacao y el té.[6]
- El que aporta el color y sabor característicos de algunos frutos secos como los higos y las uvas pasas.
Ejemplos de pardeamiento enzimático indeseado:
- Frutas y verduras frescas, incluidas manzanas, patatas, plátanos y aguacates.
- Las polifenol oxidasas son las principales responsables de la melanosis en crustáceos como gambas o camarones.[7]
Control
Existen diversos métodos para evitar o ralentizar el pardeamiento enzimático en los alimentos, cada uno de los cuales tiene como diana alguna etapa específica de la reacción química. El control del pardeamiento enzimático ha sido siempre un reto para la industria alimentaria. Además, el uso de productos químicos para inhibir el pardeamiento, como los sulfitos, un potente agente antipardeamiento, se han visto cuestionados debido a los posibles peligros que entrañan. Se han investigado mucho los mecanismos de control exactos que podrían tener lugar frente a estos procesos enzimáticos. Los distintos tipos de control del pardeamiento enzimático se pueden clasificar en distintos grupos.
- El jugo de limón y otros ácidos contribuyen a bajar el pH y eliminan el cobre como cofactor necesario para que entren en funcionamiento las enzimas responsables.
- El escaldado de los alimentos, que desnaturaliza las enzimas y destruye los reactivos responsable. Se usa en determinadas fases del procesado del té.
- Las bajas temperaturas también pueden evitar el pardeamiento enzimático al ralentizar la velocidad de la reacción.
- La utilización de ácido ascórbico en ciertos pH para controlar el pardeamiento de las manzanas bajo ciertas condiciones al cambiar su actividad fenolásica. Distintos valores de pH afectan a la actividad fenolásica en las manzanas de manera distinta.[8]
- Las proteínas pueden ejercer efectos inhibitorios de la actividad de la polifenol oxidasa al quelar el cobre esencial en el sitio activo de la enzima mediante inhibición competitiva, inhibiendo así su actividad.
- Durante la síntesis del vino, se utiliza tecnología de intercambio de iones para filtrar y eliminar los sedimentos de color marrón existentes en la solución.
- La variedad de manzanas llamada Arctic Apples ha sido modificada genéticamente para evitar que expresen la enzima polifenol oxidasa y, por tanto, no pardean.
No enzimático

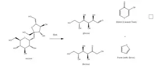
El segundo tipo de pardeamiento es de naturaleza no enzimática. Es un proceso que también produce la pigmentación marrón de los alimentos, pero sin la actividad de enzimas. Las dos formas de pardeamiento no enzimático son la caramelización y la reacción de Maillard. Ambos tienen velocidades de reacción variables que están en función de la actividad acuosa (en química de los alimentos, el estado normal de actividad acuosa se define principalmente como el cociente entre la presión de vapor de agua de la sustancia y la presión de vapor de agua pura a la misma temperatura).
La caramelización implica la pirólisis del azúcar. Se usa ampliamente en cocina para lograr un color marrón y un sabor característico. En este proceso se liberan sustancias químicas volátiles que producen un sabor acaramelado sui géneris.
.png)

La otra reacción no enzimática es la reacción de Maillard. Es la reacción que produce el sabor de los alimentos cocinados. Entre los productos que sufren la reacción de Maillard están los panes, las carnes y las patatas. Es una reacción química que se produce entre el grupo amino de un aminoácido libre y el grupo carbonilo de un azúcar reductor, normalmente con la intervención del calor. El azúcar interactúa con el aminoácido y produce todo tipo de olores y sabores. En la industria de los saborizantes, la reacción de Maillard es la base de los sabores artificiales para los alimentos procesados,[9] ya que el tipo de aminoácido utilizado determina el sabor resultante.
Las melanoidinas son polímeros heterogéneos de color marrón y peso molecular alto que se forman cuando azúcares y aminoácidos se combinan en la reacción de Maillard a altas temperaturas y con baja actividad acuosa. Las melanoidinas se encuentran normalmente en alimentos en los que se ha operado alguna forma de pardeamiento no enzimático, como las maltas de cebada (tipo Viena y Múnich), la corteza del pan, productos de panadería y pastelería, y café. También se encuentran en las aguas residuales de las refinerías azucareras, que necesitan tratamiento para evitar que contaminen el entorno de dichas refinerías
El dulce de leche, producido al calentar leche azucarada, debe su sabor y color a la combinación de varios procesos de pardeamiento no enzimático.[10]
Ejemplos
Uva en la producción de vino
Como gran parte de la fruta, las uvas varían en la cantidad de compuestos fenólicos que contienen. Esta característica se usa como parámetro a la hora de juzgar la calidad del vino. El principal proceso vinícola viene iniciado por la oxidación enzimática de los compuestos fenólicos por parte de las polifenol oxidasas. El contacto entre los compuestos fenólicos existentes en la vacuola de la célula de la uva y la enzima polifenol oxidasa (localizada en el citoplasma) activa la oxidación de la uva. De este modo, el pardeamiento inicial de las uvas tiene lugar como resultado de una «modificación de compartimentos» dentro de las células de la uva.

Consecuencias para la industria alimentaria y la tecnología de los alimentos
El pardeamiento enzimático afecta al color, sabor y valor nutricional de los alimentos, causando enorme quebranto económico cuando el producto no se vende a tiempo al consumidor. Se estima que el pardeamiento enzimático echa a perder más del 50% del producto. El incremento demográfico y el consiguiente acabamiento de los recursos naturales ha llevado a muchos bioquímicos e ingenieros de alimentos a buscar técnicas nuevas y mejoradas para la conservación de los alimentos durante más tiempo, llevando ello al empleo de métodos que inhiben el pardeamiento y alargan el tiempo de almacenaje de los productos. Una mejor comprensión de los mecanismos enzimáticos de pardeamiento —en especial, entender las propiedades de las enzimas y sustratos que intervienen en la reacción— puede ayudar a que los tecnólogos de alimentos controlen ciertas etapas del mecanismo e inhiban el pardeamiento.
Las manzanas son frutas que los investigadores suelen estudiar debido a su alto contenido fenólico, que las hace altamente susceptibles de sufrir pardeamiento enzimático. Según otros descubrimientos sobre las manzanas y el pardeamiento, se ha encontrado que existe correlación entre un alto contenido fenólico y la actividad enzimática de las manzanas. Esto constituye una esperanza para la industria alimentaria que hace esfuerzos por modificar genéticamente los alimentos para reducir la actividad de la enzima polifenol oxidasa y reducir de esta forma el pardeamiento. Un ejemplo de ello se encuentra en la producción de la variedad de manzanas llamada Arctic Apples. Dichas manzanas, diseñadas por la empresa Okanagan Specialty Fruits Inc. son el resultado de la tecnología de recombinación de ADN, una técnica que ha permitido reducir el contenido de polifenol oxidasa.
Otro problema que se estudia muy de cerca es el oscurecimiento del marisco. El marisco, en particular las gambas o camarones, es una exquisitez que consume gente de todo el mundo. El oscurecimiento de estos crustáceos realmente se conoce como melanosis y preocupa tanto a manipuladores de alimentos como a consumidores. La melanosis tiene lugar durante la manipulación de los crustáceos muertos y su almacenamiento en condiciones de refrigeración. Hay estudios recientes que han identificado el extracto de una planta que actúa como inhibidor antimelanínico de la polifenol oxidasa y cumple la misma función que los sulfitos pero sin riesgos para la salud.
Véase también
Bibliografía
- ↑ Ph.D, Benjamin K. Simpson, ed. (1 de enero de 2012). Food Biochemistry and Food Processing (en inglés). Wiley-Blackwell. pp. 56-83. ISBN 9781118308035. doi:10.1002/9781118308035.ch4/summary.
|editor=y|apellido-editor=redundantes (ayuda) - ↑ «The Maillard reaction in foods». Progress in Clinical and Biological Research 304: 301-327. 1 de enero de 1989. ISSN 0361-7742. PMID 2675033.
- ↑ Holderbaum,, Daniel (2010). «Enzymatic Browning, Polyphenol Oxidase Activity, and Polyphenols in Four Apple Cultivars: Dynamics during Fruit Development». HortScience.
- ↑ «Phenolic compounds and polyphenoloxidase in relation to browning in grapes and wines». Critical Reviews in Food Science and Nutrition 30 (4): 441-486. 1 de enero de 1991. ISSN 1040-8398. PMID 1910524. doi:10.1080/10408399109527552.
- ↑ «Enzymatic browning reactions in apple and apple products». Critical Reviews in Food Science and Nutrition 34 (2): 109-157. 1 de enero de 1994. ISSN 1040-8398. PMID 8011143. doi:10.1080/10408399409527653.
- ↑ He, Quiang (2008). «Elucidation of the mechanism of enzymatic browning inhibition by sodium chlorite». El Sevier. Archivado desde el original el 12 de enero de 2017. Consultado el 1 de julio de 2018.
- ↑ «Undesirable Enzymatic Browning in Crustaceans: Causative Effects and Its Inhibition by Phenolic Compounds». Critical Reviews in Food Science and Nutrition 55 (14): 1992-2003. 1 de enero de 2015. ISSN 1549-7852. PMID 25584522. doi:10.1080/10408398.2012.755148.
- ↑ «Control of enzymatic browning in apple slices by using ascorbic acid under different conditions». Plant Foods for Human Nutrition (Dordrecht, Netherlands) 43 (1): 71-76. 1 de enero de 1993. ISSN 0921-9668. PMID 8464847.
- ↑ Tamanna, Nahid (2015). «Food Processing and Maillard Reaction Products: Effect on Human Health and Nutrition». Hindawa.
- ↑ Pauletti, M.S.; Castelao, E.; Sabbag, N.; Costa, Y S. (1 de agosto de 1995). «Nota: Velocidad de las reacciones responsables del color del dulce de leche». Food Science and Technology International 1 (2-3): 137-140. ISSN 1082-0132. doi:10.1177/108201329500100209. Consultado el 1 de enero de 2021.