Ecuaciones estructurales

Los modelos de ecuaciones estructurales (MES) es una técnica estadística multivariante para probar y estimar relaciones causales a partir de datos estadísticos y suposiciones cualitativas sobre la causalidad. Esta definición ha sido articulada por el genetista Sewall Wright (1921), el economista Trygve Haavelmo (1943) y el científico cognitivo Herbert Simon (1953), y formalmente definido por Judea Pearl (2000) utilizando el cálculo contrafactual.
Historia
La historia de las ecuaciones estructurales comienza con la unión de diferentes materias.
La primera de ellas, es la biométrica. Los trabajos más relevantes en esta área fueron los publicados por Sewall Green Wright en los años 30.
Otra corriente fue la psicometría, cuyo autor relevante fue Spearman (1904) con su aportación, el modelo factorial.
Y desde la econometría, el concepto de ecuaciones simultáneas también será relevante en la historia del MES.
En los años 70, Karl Gustav Jöreskog junto a Arthur Goldberger unen los conceptos de estas corrientes, y junto al programador Dag Sörbom, crean LISREL, el primer software para la modelización de ecuaciones estructurales.
Concepto
Esta técnica combina el análisis factorial con la regresión lineal para probar el grado de ajuste de unos datos observados a un modelo hipotetizado y expresado mediante un diagrama de senderos. Como resultado, los MES proporcionan los valores pertenecientes a cada relación, y más importante, un estadístico que expresa el grado en el que los datos se ajustan al modelo propuesto, confirmando su validez.
Entre los puntos fuertes de los MES se encuentra la habilidad de construir variables latentes: variables que no son medidas directamente, pero son estimadas en el modelo a partir de varias variables que covarían entre sí. Esto permite al modelador capturar explícitamente la fiabilidad del modelo. El análisis factorial, el análisis de caminos y la regresión lineal representan casos especiales del modelo de ecuaciones estructurales.
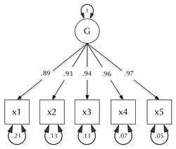
Diagrama de senderos o vías
El diagrama de senderos o también llamado diagrama de vías es un gráfico, parecido a un diagrama de flujo, que expresa las relaciones existentes entre las variables. Este gráfico es lo que se considera "el modelo", y se establece a priori. Es por ello que los MES están muy guiados por las hipótesis previas.
En un gráfico de senderos se utilizan rectángulos para expresar las variables observadas, que pueden ser endógenas (dependientes) o exógenas (independientes). Se utilizan elipses para expresar variables latentes, variables no observadas que se infieren a partir de los datos mediante análisis factorial. Ambos tipos de variables se interconectan entre sí mediante flechas, que pueden ser unidireccionales (regresión lineal) o bidireccionales (varianza común). Cuando dos variables no están relacionadas, se fuerza el modelo para que estas variables no tengan relación alguna, bloqueando su varianza común o asumiendo esta varianza como parte del error de medida.
Las variables exógenas deben ser consecuencia de una variable endógena o latente, pero además, se debe incluir la existencia del error de medida. Así pues, una variable dependiente siempre será el resultado de una variable independiente junto a un error de medida.
Tipos de MES
Los MES permiten tanto modelado confirmatorio como exploratorio, significando que esta técnica es útil tanto para poner a prueba teorías ya existentes (confirmatorio), como para el desarrollo de nuevas teorías (exploratorio).
Exploratorio
Cuando se habla de exploración, se hace referencia a que no se conoce la estructura de los datos a priori, y la técnica exploratoria que utilicemos nos permitirá descubrir esta estructura.
En ecuaciones estructurales se pueden diseñar dos tipos de modelos: el análisis factorial exploratorio (EFA) y el análisis de componentes principales (PCA). El PCA es un subtipo de EFA. En el modelado, el PCA quedaría representado por líneas que van de las variables observadas a los factores. En el EFA al contrario. El EFA se utiliza extendidamente en el ámbito psicométrico y su función es reducir el número de variables en un conjunto de factores que expliquen la varianza común entre esas variables.
Confirmatorio
En los MES lo interesante no es replicar un modelo exploratorio, sino el reproducir un modelo confirmatorio. A diferencia del exploratorio, las vías que salen de un factor a variables que no tienen que ver con dicho factor se podan.
El modelo confirmatorio generalmente comienza con una hipótesis previa que queda representada como un modelo causal. Los conceptos utilizados en el modelo deben entonces ser operacionalizados de forma que permitan probar las relaciones entre los conceptos del modelo. El modelo pone a prueba los datos obtenidos a partir de medidas empíricas para determinar el grado en el cual los datos se ajustan al modelo. Las asunciones causales dentro del modelo comúnmente son falsables y esto es comprobado mediante los datos. Bajo este tipo de modelo se encuentra el análisis factorial confirmatorio, considerado un subtipo especial de MES. Consiste en una variante del análisis factorial exploratorio en el que se bloquea la posible relación entre los factores y las variables que no pertenecen al factor.
El análisis factorial confirmatorio (CFA) es un subtipo especial de SEM que representa de forma jerárquica los factores a contrastar.
Modelos
Modelo de regresión con error en las variables
Modelo de vías
Modelo MIMIC
Modelo Panel Data
Modelo de un factor (análisis factorial)
Evaluación del modelo
Una vez que hemos dibujado un modelo de ecuaciones estructurales y lo hemos relacionado con una muestra de datos empíricos, toca calcular si los datos se ajustan a dicho modelo hipotetizado. Los resultados de los análisis estadísticos que llevan a cabo deben ser significativos. Un resultado de "buen ajuste" nos informa de que el modelo es plausible. Los estadísticos comunes que se observan al calcular un modelo son los siguientes:
Ji-Cuadrado
Nos informa sobre el grado de diferencia entre la matriz de correlaciones esperada y la observada.
La matriz esperada puede ser generada automáticamente por el software, lo cual informaría del mero ajuste de los datos al modelo, o puede ser comparada con otra matriz derivada que un modelo alternativo construido por el experimentador.
El problema derivado de este estadístico son los presupuestos básicos y previos que debe cumplir los datos para que las conclusiones sean válidas. Este estadístico requiere, por un lado, que las muestras sean grandes (diez veces mayor que el número de parámetros a estimar) y que los datos sean multinormales (que todos los datos se distribuyan de forma normal y que cualquier combinación lineal entre los datos también siga una curva normal).
Para solventar este problema se ha propuesto un Ji-Cuadrado alternativo al tradicional, que corrige el posible sesgo de los datos. Este estadístico se le suele llamar (debido a que esta corrección la realizó Satorra y Bentler) o "chi cuadrado robusto". Consiste en corregir los datos mediante el índice de curtosis. Esta corrección ha mostrado permitir realizar SEM en muestras pequeñas y/o que violen el principio de normalidad. La mayoría de programas incorporan este tipo de corrección en sus análisis, aunque otros como Amos aún no lo han implementado.
Software
El software típico que permite el modelado de ecuaciones estructurales es el siguiente:
| Nombre | Licencia | Plataforma | Paquete complementario para | Enlace | Basado en covarianza | Basado en varianza |
|---|---|---|---|---|---|---|
| Mplus | Comercial | Windows, Mac, Linux | Independiente | statmodel.com | ✓ | |
| AMOS | Comercial | Windows | Independiente | ibm.com | ✓ | |
| lavaan | Código Abierto | Windows, Mac, Linux | Complemento para R | lavaan.org | ✓ | |
| lavaangui | Código Abierto | Windows, Mac, Linux | Complemento para R y Autónomo | lavaangui.org | ✓ (usa lavaan) | |
| LISREL | Comercial | Windows | Independiente | ssicentral.com | ✓ | |
| EQS | Comercial | Windows, Mac, Linux | Independiente | mvsoft.com | ✓ | |
| Stata | Comercial | Windows, Mac, Linux | Independiente | stata.com | ✓ | |
| SAS | Comercial | Windows, Mac, Linux | Independiente | sas.com | ✓ | |
| semopy | Código Abierto | Windows, Mac, Linux | Complemento para Python | semopy.com | ✓ | |
| sem | Código Abierto | Windows, Mac, Linux | Complemento para R | cran.r-project.org | ✓ | |
| OpenMX | Código Abierto | Windows, Mac, Linux | Complemento para R | openmx.ssri.psu.edu | ✓ | |
| Ωnyx | Código Abierto | Windows, Mac, Linux | Independiente | onyx.brandmaier.de | ✓ | |
| SmartPLS 4 | Comercial | Windows, Mac | Independiente | smartpls.com | ✓ | ✓ |
| PLSGraph | Comercial | Windows | Independiente | plsgraph.com | ✓ | |
| WarpPLS | Comercial | Windows | Independiente | warppls.com | ✓ | |
| ADANCO | Comercial | Windows, Mac | Independiente | composite-modeling.com | ✓ | |
| LVPLS | Freeware | MS-DOS | Independiente | www2.kuas.edu.tw | ✓ | |
| matrixpls | Código Abierto | Windows, Mac, Linux | Complemento para R | cran.r-project.org | ✓ | |
| SEMinR | Código Abierto | Windows, Mac, Linux | Complemento para R | https://github.com/sem-in-r/seminr | ✓ (usa lavaan) | ✓ |