Máximas digresiones de una estrella

En la imagen, E1 sería la máxima digresión occidental de un astro E; en esta posición el triángulo esférico PZE se convierte en rectángulo, reduciendo la complejidad de la fórmula de cálculo para el azimut y altura de la estrella.
En astronomía de posición, las máximas digresiones de una estrella son las dos posiciones que genera una estrella cualquiera, que culmina entre el cenit de un lugar y el polo norte celeste.
Descripción
Para que se produzcan las máximas digresiones deben darse unas condiciones determinadas: la declinación (δ) de la estrella debe ser mayor que latitud del lugar de observación (φ), y tanto la latitud del lugar como la declinación deben ser mayores que cero.
- δ > φ
- δ > 0
- φ > 0
Si estas condiciones se producen, la variación del azimut de la estrella se realiza entre un máximo y un mínimo comprendido entre 90° y 270° sexagesimales. Estas dos posiciones en el movimiento aparente o movimiento diurno del astro son las máximas digresiones.[1]
Cada máxima digresión recibe el nombre de occidental u oriental, según se encuentre comprendida al oeste o este del lugar de observación.
Frecuentemente las máximas digresiones de estrellas aparecen asociadas a estrellas circumpolares, que cumplen las condiciones antes descritas, pero no debe confundirse la máxima digresión con las estrellas siempre visibles sobre el horizonte.
Posiciones de los astros producidas por el movimiento aparente
Las máximas digresiones son uno de los tres problemas a los que da lugar el movimiento aparente o movimiento diurno de los astros por la rotación de la Tierra, que son orto, ocaso, máximas digresiones y primera vertical.[2]
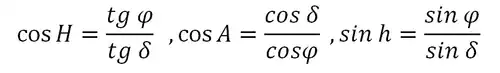
Cálculo de la altura y azimut de una estrella en máxima digresión
- PZ = 90° - φ, Z = 180° - A
- ZE = 90° - h, P = H
- PE = 90° - δ, E = 90°

En la fórmula se pueden ver las fórmulas simplificadas deducidas a partir de la conversión a triángulo rectángulo.[3]
Enlaces externos
- Anuario del Observatorio Astronómico Nacional de España, donde aparecen las máximas digresiones de varias estrellas circunpolares.
- Máxima digresión, posiciones particulares de una estrella.
- Problema sobre máxima digresión.
Referencias
- ↑ Fernando Martín Asín: Astronomía. Madrid: Paraninfo, 1989.
- ↑ Carlos A. Revol: Máxima digresión de estrellas y línea meridiana. Córdoba (Argentina): Academia Nacional de Ciencias, 1968.
- ↑ Antonio García Martín, Manuel F. Rosique Campoy, Francisco E. Segado Vázquez: Topografía básica para ingenieros. Editum, 1994.