Lapachol
| Lapachol | ||
|---|---|---|
![]() | ||
| Nombre IUPAC | ||
| 2-Hydroxy-3-(3-methylbut-2-enyl)naphthalene-1,4-dione | ||
| General | ||
| Fórmula estructural |
![]() | |
| Fórmula molecular | C15H14O3 | |
| Identificadores | ||
| Número CAS | 84-79-7[1] | |
| ChEBI | 6377 | |
| ChEMBL | 15193 | |
| ChemSpider | 10770962 | |
| PubChem | 3884 | |
| UNII | B221938VB6 | |
|
CC(=CCC1=C(C2=CC=CC=C2C(=O)C1=O)O)C
| ||
| Propiedades físicas | ||
| Masa molar | 242,27 g/mol | |
| Punto de fusión | 140 K (−133 °C) | |
| Valores en el SI y en condiciones estándar (25 ℃ y 1 atm), salvo que se indique lo contrario. | ||
Lapachol[2][3] es un compuesto natural fenólico aislado de la corteza del árbol de lapacho.[4] Este árbol es conocido botánicamente como Handroanthus impetiginosus, pero era conocida anteriormente por varios otros nombres botánicos como Tabebuia avellanedae.[5] Lapachol también se encuentra en otros especies de Handroanthus.
Lapachol se encuentra generalmente como un polvo de color amarillo, irritante de la piel a partir de la madera. Químicamente, es un derivado de naftoquinona, relacionados con la vitamina K.[6]
Una vez estudiado como un posible tratamiento para algunos tipos de cáncer, el potencial de lapachol ahora se considera bajo, debido a sus efectos secundarios tóxicos.[7][8][9][10]
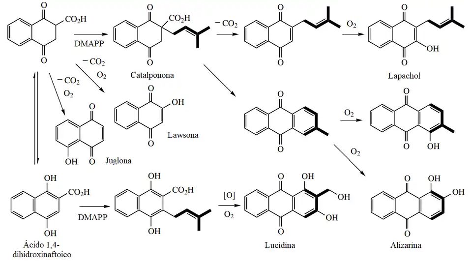
Su biosíntesis está vinculada a la ruta del 1,4-dihidronaftoato, en común con la biosíntesis de la vitamina K.[11]

Referencias
- ↑ Número CAS
- ↑ [1] Lapochol at R&D Chemicals.
- ↑ «Copia archivada». Archivado desde el original el 28 de septiembre de 2007. Consultado el 6 de julio de 2007. Lapochol at CromaDex.
- ↑ Record, Samuel J.. "Lapachol" pages 17-19. In: Tropical Woods (1925).
- ↑ Susan O. Grose and Richard G. Olmstead. 2007. "Evolution of a Charismatic Neotropical Clade: Molecular Phylogeny of Tabebuia s.l., Crescentieae, and Allied Genera (Bignoniaceae)". Systematic Botany 32(3):650-659.
- ↑ Louis F.Fieser. The Scientific Method pages 163-191. Reinhold Publishing Corporation, New York, 1964
- ↑ Felício AC, Chang CV, Brandão MA, Peters VM, Guerra Mde O (2002). «Fetal growth in rats treated with lapachol». Contraception 66 (4): 289-93. PMID 12413627. doi:10.1016/S0010-7824(02)00356-6.
- ↑ Oral toxicology studies with lapachol. Morrison, Robert K.; Brown, Donald Emerson; Oleson, Jerome J.; Cooney, David A. Toxicology and Applied Pharmacology (1970), 17(1), 1-11.
- ↑ Guerra Mde O, Mazoni AS, Brandão MA, Peters VM (2001). «Toxicology of Lapachol in rats: embryolethality». Brazilian journal of biology = Revista brasleira de biologia 61 (1): 171-4. PMID 11340475.
- ↑ de Cássia da Silveira E Sá R, de Oliveira Guerra M (2007). «Reproductive toxicity of lapachol in adult male Wistar rats submitted to short-term treatment». Phytotherapy research : PTR 21 (7): 658-62. PMID 17421057. doi:10.1002/ptr.2141.
- ↑ Dewick, P.M. (2009). Medicinal Natural Products. A biosynthetic approach. UK: John Wiley and Sons. ISBN 978-0-470-74168-9.
Enlaces externos
- Esta obra contiene una traducción derivada de «Lapachol» de Wikipedia en inglés, publicada por sus editores bajo la Licencia de documentación libre de GNU y la Licencia Creative Commons Atribución-CompartirIgual 4.0 Internacional.

