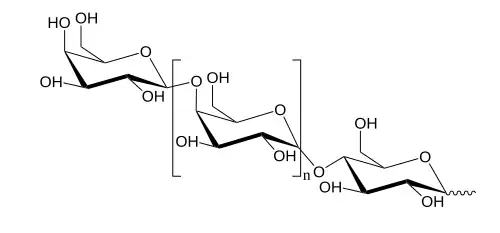
Galactooligosacárido

Los galactooligosacáridos (GOS) son oligosacáridos compuestos por una unidad terminal de glucosa y dos o más unidades de galactosa. Estas substancias son consideradas prebióticos porque promueven la proliferación de bacterias intestinales beneficiosas para la salud humana, como varias especies de Bifidobacterium y Lactobacillus.[1] Junto a los fructooligosacáridos (FOS), los GOS son los prebióticos más estudiados, y en la actualidad se comercializan como ingredientes funcionales en diversos productos, como por ejemplo fórmulas lácteas infantiles.[2]
Los GOS se pueden obtener por síntesis química clásica, aunque el método de preferencia es la síntesis enzimática. Enzimáticamente se convierte la lactosa en GOS. Se utilizan β-galactosidasas, enzimas capaces de transferir grupos galactosilo del substrato donador al aceptor mediante un mecanismo conocido como transglicosidación.[3]
En general, los GOS son substancias estables.[4] Resisten acidez cercana a pH 2 y no sufren cambios cuando son tratados a altas temperaturas por cortos períodos de tiempo. Además, no presentan olor y se disuelven en agua. Estas propiedades los hacen aptos para el uso como ingredientes funcionales en la elaboración de diferentes productos alimenticios, como lácteos, preparados de zumos de frutas y otros.[5]
Los GOS son resistentes a los ácidos gástricos y también a las enzimas presentes en la saliva y pancreáticas. Esto permite que, al ser ingeridos por la boca, puedan llegar al intestino, donde ejercen sus efectos prebióticos, modulando la microbiota intestinal.[6] Varios potenciales efectos beneficiosos para la salud fueron reportados, por ejemplo, mejora de parámetros relacionados con la constipación, absorción de minerales, disminución en los niveles de colesterol en la sangre, inmunomodulación y otros.[7]
Referencias
- ↑ Thongaram, Taksawan; Hoeflinger, Jennifer L.; Chow, JoMay; Miller, Michael J. (24 de mayo de 2017). «Prebiotic Galactooligosaccharide Metabolism by Probiotic Lactobacilli and Bifidobacteria». Journal of Agricultural and Food Chemistry (en inglés) 65 (20): 4184-4192. ISSN 0021-8561. doi:10.1021/acs.jafc.7b00851. Consultado el 21 de noviembre de 2020.
- ↑ Fanaro, Silvia; Boehm, Günther; Garssen, Johan; Knol, Jan; Mosca, Fabio; Stahl, Bernd; Vigi, Vittorio (2 de enero de 2007). «Galacto-oligosaccharides and long-chain fructo-oligosaccharides as prebiotics in infant formulas: A review: GOS and FOS in infant formulas». Acta Paediatrica (en inglés) 94: 22-26. doi:10.1111/j.1651-2227.2005.tb02150.x. Consultado el 21 de noviembre de 2020.
- ↑ Gänzle, Michael G. (2012-02). «Enzymatic synthesis of galacto-oligosaccharides and other lactose derivatives (hetero-oligosaccharides) from lactose». International Dairy Journal (en inglés) 22 (2): 116-122. doi:10.1016/j.idairyj.2011.06.010. Consultado el 21 de noviembre de 2020.
- ↑ Tzortzis, George; Vulevic, Jelena (2009). Charalampopoulos, Dimitris, ed. Prebiotics and Probiotics Science and Technology (en inglés). Springer New York. pp. 207-244. ISBN 978-0-387-79057-2. doi:10.1007/978-0-387-79058-9_7. Consultado el 21 de noviembre de 2020.
- ↑ Torres, Duarte P. M.; Gonçalves, Maria do Pilar F.; Teixeira, José A.; Rodrigues, Lígia R. (2010). «Galacto-Oligosaccharides: Production, Properties, Applications, and Significance as Prebiotics». Comprehensive Reviews in Food Science and Food Safety (en inglés) 9 (5): 438-454. ISSN 1541-4337. doi:10.1111/j.1541-4337.2010.00119.x. Consultado el 21 de noviembre de 2020.
- ↑ Lamsal, Buddhi P (15 de agosto de 2012). «Production, health aspects and potential food uses of dairy prebiotic galactooligosaccharides: Dairy prebiotic galactooligosaccharides». Journal of the Science of Food and Agriculture (en inglés) 92 (10): 2020-2028. doi:10.1002/jsfa.5712. Consultado el 21 de noviembre de 2020.
- ↑ Macfarlane, G.T.; Steed, H.; Macfarlane, S. (4 de septiembre de 2007). «Bacterial metabolism and health-related effects of galacto-oligosaccharides and other prebiotics». Journal of Applied Microbiology (en inglés) 0 (0): 070907095856003-???. ISSN 1364-5072. doi:10.1111/j.1365-2672.2007.03520.x. Consultado el 21 de noviembre de 2020.