Guanosín trifosfato
| Guanosín trifosfato | ||
|---|---|---|
![]() | ||
| Nombre IUPAC | ||
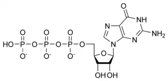
| [(2R,3S,4R,5R)-5-(2-amino-6-oxo-3H-purin-9-il)-3,4-dihidroxioxolan-2-il]metil (hidroxi-fosfonooxifosforil) hidrógeno fosfato | ||
| General | ||
| Otros nombres | GTP; Trifosfato de guanosina; Guanosina-5'-trifosfato; Guanosina 5'-(tetrahidrógeno trifosfato); 9-β-D-ribofuranosilguanina-5'-triphosfato; 9-β-D-ribofuranosil-2-amino-6-oxo-purina-5'-triphosfato | |
| Fórmula estructural | Imagen de la estructura | |
| Fórmula molecular | C10H16N5O14P3 | |
| Identificadores | ||
| Número CAS | 86-01-1[1] | |
| ChEBI | 15996 | |
| ChEMBL | CHEMBL1233147 | |
| ChemSpider | 6569 | |
| DrugBank | DB04137 | |
| PubChem | 6830 | |
| UNII | 01WV7J708X | |
| KEGG | C00044 | |
| Propiedades físicas | ||
| Masa molar | 523,18 g/mol | |
| Valores en el SI y en condiciones estándar (25 ℃ y 1 atm), salvo que se indique lo contrario. | ||
El guanosín trifosfato (GTP, del inglés «guanosine triphosphate»), también conocido como guanosina-5'-trifosfato, es uno de los nucleótidos trifosfato usados en el metabolismo celular junto al ATP, CTP, TTP y UTP.
Bioquímicamente, el GTP es 9-β-D-ribofuranosilguanina-5'-trifosfato, o también 9-β-D-ribofuranosil-2-amino-6-oxo-purina-5'-trifosfato.
El GTP es un nucleótido cuya base nitrogenada es la purina guanina. Su función es similar a la del ATP, dado que también es utilizado como moneda energética. Además el GTP es el precursor de la base guanina en la síntesis de ADN (replicación) y en la de ARN (transcripción).
Por otro lado el GTP es esencial en ciertas vías de señalización, en las que actúa como activador de sustratos en reacciones metabólicas, al igual que hace el ATP pero de una forma más específica. En estas reacciones, como por ejemplo cuando se asocia a proteínas G, el GTP actúa como segundo mensajero, activando a la proteína G al unirse a esta. Cuando la célula requiere cambiar el estado de activación de esa proteína, entra en acción una proteína GTPasa, que convierte el GTP delberando un sustrato GDP-proteína G inactivo.
Actividades metabólicas
Transferencia de energía
El GTP está implicado en la transferencia de energía en el interior de la célula. Por ejemplo, una molécula de GTP es generada en cada recorrido del ciclo de Krebs. Su energía es equivalente a la de generar una molécula de ATP, de hecho, es rápidamente convertida a este.[2]
Traducción genética
Durante la fase de elongación de la traducción, el GTP se utiliza como fuente de energía para la unión de un nuevo complejo aminoácido-ARNt al sitio A del ribosoma. Del mismo modo, el GTP es usado como fuente de energía para la translocación del ribosoma hacia el extremo 3' del ARNm.[3]
Inestabilidad dinámica de los microtúbulos
Durante la polimerización de los microtúbulos, cada heterodímero formado por una subunidad α y una β, porta dos moléculas de GTP. El GTP es hidrolizado posteriormente a GDP cuando el heterodímero es incorporado al extremo + del filamento en crecimiento. Parece que la hidrólisis del GTP no es obligatoria para la formación del microtúbulo, sin embargo, sólo las moléculas de GDP-tubulina son capaces de despolimerizar. Así, un extremo GTP-tubulina en el microtúbulo estabiliza este evitando su despolimerización. Una vez el GTP de este extremo es hidrolizado, el microtúbulo se despolimeriza rápidamente.[4]
cGTP
El guanosín trifosfato cíclico (cGTP) ayuda al adenosín monofosfato cíclico (cAMP) a activar los canales iónicos regulados por nucléotidos cíclicos en el sistema olfativo.[5]
Referencias
- ↑ Número CAS
- ↑ Berg, JM; JL Tymoczko, L Stryer (2002). Biochemistry (5th edición). WH Freeman and Company. pp. 476. ISBN 0-7167-4684-0.
- ↑ Solomon, EP; LR Berg, DW Martin (2005). Biology (7th edición). pp. 244–245.
- ↑ Microtubule structure© text copyright 1996 Gwen V. Childs, Ph.D.
- ↑ Medical Physiology, Boron & Boulpaep, ISBN 1-4160-2328-3, Elsevier Saunders 2005. Updated edition. Page 90.
