FIR (Finite Impulse Response)
FIR es un acrónimo en inglés para Finite Impulse Response o Respuesta finita al impulso. Se trata de un tipo de filtros digitales cuya respuesta a una señal impulso como entrada tendrá un número finito de términos no nulos.
Expresión matemática de los filtros FIR
Para obtener la salida solo se basan en entradas actuales y anteriores. Su expresión en el dominio es:
En la expresión anterior es el orden del filtro. es el número de términos no nulos y el número de coeficientes del filtro. Los coeficientes son .
La salida también puede expresarse como la convolución de la señal de entrada con la respuesta al impulso :
Aplicando la transformada Z a la expresión anterior:
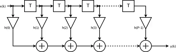
Estructura
La estructura básica de un FIR es:
En la figura los términos h(n) son los coeficientes y los T son retardos.
Pueden hacerse multitud de variaciones de esta estructura. Hacerlo como varios filtros en serie, en cascada, etc.
Polos y ceros
Estos filtros tienen todos los polos en el origen, por lo que son estables. Los ceros se presentan en pares de recíprocos si el filtro se diseña para tener fase lineal.
Diseño de filtros FIR
Hay cuatro métodos básicos para diseñar este tipo de filtros:
- Método de las ventanas, las más habituales son:
- Rectangular
- Barlett
- Hann
- Hamming
- Blackman
- Kaiser
- Muestreo en frecuencia.
- Rizado constante (Aproximación de Chebyshev y algoritmo de intercambio de Remez).
- Mínimos Cuadrados
Características
Los filtros FIR tienen la gran ventaja de que pueden diseñarse para ser de fase lineal, lo cual hace que presenten ciertas propiedades en la simetría de los coeficientes. Este tipo de filtros tiene especial interés en aplicaciones de audio. Además son siempre estables.
Por el contrario también tienen la desventaja de necesitar un orden mayor respecto a los filtros IIR para cumplir las mismas características. Esto se traduce en un mayor gasto computacional.
Véase también
- Filtro digital
- IIR
- Matlab
- LabVIEW Digital Filter Design Toolkit
- Procesamiento digital de señales
- Procesador digital de señal
- Wikibooks