Espacio de estados

En ingeniería de control, el control clásico se analiza por conveniencia en el dominio de la frecuencia, y está limitado a sistemas lineales con una única entrada y una única salida. La representación de espacios de estado proporciona un modo compacto y conveniente de modelar y analizar sistemas con múltiples entradas y salidas, tanto para sistemas lineales como no lineales.

Una representación de espacios de estados es un modelo matemático de un sistema físico descrito mediante un conjunto de entradas, salidas y variables de estado relacionadas por ecuaciones diferenciales de cualquier orden en el dominio del tiempo, que se combinan en una ecuación diferencial matricial de primer orden. Las variables de entradas, salidas y estados son convenientemente expresadas como vectoresː un vector de entrada, un vector de salida y un vector de estados; y si el sistema dinámico es lineal e invariante en el tiempo, las ecuaciones algebraicas se escriben en forma matricial.

Las variables de estado conforman un vector de estado, que da lugar al denominado de dimensiones.

Variables de estado

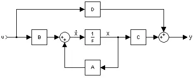
Modelo de espacio de estado típico

Las variables de estado son el subconjunto más pequeño de variables de un sistema que pueden representar su estado dinámico completo en un determinado instante. Las variables de estado deben ser independientes entre sí. En el caso de la representación lineal de un sistema, las variables de estado deben ser linealmente independientes entre síː una variable de estado no puede ser una combinación lineal de otras variables de estado.

El número mínimo de variables de estado necesarias para representar un sistema dado es usualmente igual al orden de la ecuación diferencial que define al sistema.

En circuitos eléctricos, el número de variables de estado es a menudo, pero no siempre, igual al número de elementos almacenadores de energía, como bobinas y condensadores.

Sistemas lineales

Una forma general de representación de espacios de estado de un sistema lineal con entradas, salidas y variables de estado se escribe de la siguiente forma:

donde

es el vector de estados
es el vector de salidas
es el vector de entradas
es la matriz de estados
es la matriz de entrada
es la matriz de salida
es la matriz de transmisión directa

Nótese que en esta formulación general se supone que todas las matrices son variantes en el tiempo, p. ej.: algunos o todos sus elementos pueden depender del tiempo. En los sistemas invariantes en el tiempo las matrices A, B, C y D son constantes, no son función de t.

La variable temporal puede ser una "continua" (p. ej.: ) o una discreta (p. ej.:): en este último caso la variable temporal es generalmente indicada como . Dependiendo de las consideraciones tomadas, la representación del modelo de espacios de estado puede tomar las siguientes formas:

Tipo de sistema Modelo de espacio de estados
Continuo e invariante en el tiempo
Continuo y variante en el tiempo
Discreto e invariante en el tiempo
Discreto y variante en el tiempo
Transformada de Laplace del sistema
continuo e invariante en el tiempo

Transformada Z del sistema
discreto e invariante en el tiempo

Nótese que los sistemas variantes se expresan solamente en el dominio del tiempo; sólo los invariantes se expresan también en el dominio de la frecuencia (con la transformada de Laplace o Z).

La estabilidad y la respuesta natural característica de un sistema puede ser estudiado mediante los autovalores (o valores propios) de la matriz . La estabilidad de un modelo de espacio de estados invariante en el tiempo puede ser fácilmente determinado observando la función transferencia del sistema en forma factorizada. Tendría una forma parecida a la siguiente:

El denominador de la función transferencia es igual al polinomio característico encontrado tomando el determinante de ,

.

Las raíces de este polinomio (los autovalores) proporcionan los polos en la función transferencia del sistema. Dichos polos pueden ser utilizados para analizar si el sistema es asintótica o marginalmente estable. Otra alternativa para determinar la estabilidad, en la cual no involucra los cálculos de los autovalores, es analizar la estabilidad de Liapunov del sistema. Los ceros encontrados en el numerador de puede usarse de manera similar para determinar si el sistema posee una fase mínima.

El sistema podría ser estable con respecto a sus entradas y salidas aun si es internamente inestable. Este podría ser el caso si polos inestables son cancelados por ceros.

Controlabilidad

La condición de controlabilidad de estados implica que es posible, mediante entradas admisibles, dirigir los estados desde cualquier valor inicial a cualquier valor final dentro de un intervalo de tiempo. Un modelo de espacio de estados continuo e invariante en el tiempo es controlable si y solo si

Observabilidad

La observabilidad es la medida de cuán correctamente los estados internos de un sistema pueden ser inferidos conociendo las salidas externas. La observabilidad y la controlabilidad son matemáticamente duales.

Un modelo de espacio de estados continuo e invariante en el tiempo es observable si y solo si:

(el rango de una matriz es el número de filas linealmente independientes.)

Función de transferencia

La función de transferencia de un modelo de espacio de estados continuo e invariante en el tiempo puede ser obtenida de la siguiente manera:

Tomando la transformada de Laplace de

tenemos que

Luego, agrupamos y despejamos , dando

esto es sustituido por en la ecuación de salida

, nos queda

Como la función de transferencia está definida como la tasa de salida sobre la entrada de un sistema, tomamos

y sustituimos las expresiones previas por con respecto a , quedando

Claramente debe tener por dimensiones, así como un total de elementos. Entonces para cada entrada hay funciones de transferencias con uno por cada salida. Esta es la razón por la cual la representación de espacios de estados puede fácilmente ser la elección preferida para sistemas de múltiples entradas, múltiples salidas (MIMO, por sus siglas en inglés: Multiple-Input, Multiple-Output).

Formas canónicas

Cualquier función transferencia que es estrictamente propia puede ser escrita como un espacio de estados con la siguiente aproximación:

Dada una función transferencia, expandirla para revelar todos los coeficientes en el numerador y en el denominador. Resultando en la siguiente forma:

.

Los coeficientes pueden ser ahora insertados directamente en el modelo de espacio de estados mediante la siguiente aproximación:

.

Esta realización del espacio de estado se denomina forma canónica controlable porque garantiza que el modelo resultante es controlable (es decir, dado que el control entra en una cadena de integradores, puede modificar todos y cada uno de los estados). Si un sistema no es controlable, entonces no es posible expresarlo en esta forma canónica.

Los coeficientes de la función transferencia pueden ser usados también para construir otro tipo de forma canónica

.

Esta disposición se denomina forma canónica observable y, análogamente al caso anterior, el modelo resultante es necesariamente observable (esto es, al proceder la salida de una cadena de integradores, su valor se ve afectado por todos y cada uno de los estados). Un sistema no observable no puede ponerse en esta forma.

Funciones transferencia propias

Las funciones transferencia que son solo propias (y no estrictamente propias) pueden también transformadas a las formas canónicas. El artificio utilizado es el de separar la función transferencia en dos partes, una estrictamente propia y una constante.

La función transferencia estrictamente propia puede ser ahora transformada a las representaciones de espacio de estados canónicas utilizando las técnicas mostradas anteriormente. La representación de espacio de estados de la constante es trivial.

Juntando ambos términos obtenemos las representaciones de espacio de estados con las matrices A, B y C determinadas por la parte estrictamente propia y la matriz D determinada por la constante.

Aquí un ejemplo para aclarar:

lo que conduce a la siguiente representación controlable

Nótese como la salida depende directamente de la entrada. Esto se debe a la constante en la función transferencia.

Realimentación

Un método utilizado para realimentar es el de multiplicar la salida por una matriz K y colocar el resultado como la entrada del sistema: . Como los valores de K no están restringidos y pueden cambiarse de signo para la realimentación negativa. La presencia de un signo negativo (la notación común) es únicamente con fines de notación y su ausencia no afecta los resultados.

resulta en

resolviendo la ecuación de salida para y sustituyendo en la ecuación de estados resulta en

La ventaja de esto es que los valores propios de A pueden ser controlados eligiendo K apropiadamente mediante la descomposición en sus valores propios de . Esto asume que el sistema de lazo abierto es controlable o que los valores propios inestables de A pueden estabilizarse mediante la elección apropiada de K.

Una simplificación común de este sistema es eliminar D y elegir C igual a la unidad, lo que reduce las ecuaciones a

Esto reduce la descomposición de los valores propios a solo .

Véase también