Conjunto conexo
Un conjunto conexo es un subconjunto de un espacio topológico (donde es la colección de conjuntos abiertos del espacio topológico) que no puede ser expresado como unión disjunta de dos conjuntos abiertos no vacíos de la topología relativa.
Intuitivamente, un conjunto conexo es el que aparece como una sola pieza, que no se puede 'dividir' o 'partir'. En el caso de que un conjunto no sea conexo, se dice que es disconexo.
- Formalmente
es un conjunto conexo si y sólo si
implica
Nótese que si y cumple lo anterior, entonces se dice que es un espacio topológico conexo.
Bajo estas definiciones, se tiene que es conexo si y solamente si es un espacio topológico conexo para la topología traza.
Se va a definir la conexividad en forma negativa: Un conjunto S se llama conexo, si no existe una partición del mismo en dos conjuntos no vacíos y disjuntos S 1 y S 2, ninguno de los cuales contiene puntos de acumulación del otro. Una hoja de papel es un conjunto conexo, al cortarla en dos partes se ve que ningún punto de una parte es punto de acumulación de la otra.
Ejemplos

El espacio B no lo es.
Conjuntos conexos
- Las esferas son conexas
- Un punto en es conexo
- Un nudo es un conjunto conexo en
- Un toro es un conjunto conexo en
- En , un intervalo cerrado por la derecha o por la izquierda es un conjunto conexo; de igual modo un punto de la recta.
- El complementario de un punto en es conexo
- En el plano, un polígono simple con su interior es un conjunto conexo, considerando la topología usual.
Conjuntos disconexos
- Cualquier conjunto finito que contiene más de un punto, sea en la recta, el plano o el espacio geométrico usual.
- El conjunto formado por todos los puntos de un número finito de conjuntos cerrados sin puntos comunes dos a dos. Simplificando, todos los puntos de cuatro círculos, ubicados en sendos cuarteles de una región cuadrada.[1]
Subconjunto conexo en la recta
Sea provisto de la topología usual , además un intervalo de y subconjuntos abiertos de tales que es parte de la unión de y . Entonces . En este caso es un subconjunto conexo de la recta real.
- Un subconjunto de la recta es un subconjunto conexo de la recta real cuando, y sólo cuando se trata de un único intervalo. De cualquier intervalo basta retirar un punto, lo que queda ya no es conexo, tampoco lo es el conjunto [2]
Conjuntos disconexos
- El complementario de un punto en
- El conjunto formado por la unión de dos esferas disjuntas en
- Un enlace de componentes (nudos),
- El conjunto Q de los números racionales no es un conjunto conexo en la topología usual de ℝ. En efecto sea m = raíz cuadrada de tres. Los conjuntos U = (-∞, m) y V = (m, +∞) . Se tiene que Q es parte de la unión de U y V. Además la intersección de Q con U, de Q con V no es vacío; pero la intersección de U con V es = ∅, lo mismo que Q inter U inter V es vacío. Q está contenido en la unión de dos abiertos disjuntos.
- El conjunto de los irracionales Qc no es un conjunto conexo en el espacio (R, Tu). Tomar el punto 5 y formar dos abiertos, semirrectas a la izquierda y la derecha. Y proseguir como en el caso de Q.
Propiedades de los conjuntos conexos
Se cumple que si es un espacio topológico conexo, cualquier espacio homeomorfo a él también lo será. Esta propiedad nos da una caracterización muy útil de los conjuntos conexos: es un conjunto conexo si y solamente si para toda función continua, se cumple que es una función constante, donde a se le dota de la topología discreta.
Otra propiedad interesante de los conjuntos conexos es la siguiente: Si es una familia de espacios topólogicos conexos (con un conjunto de índices de cualquier cardinalidad), entonces también es conexo, donde es la topología producto.
Por último, si no es conexo, es decir, si existen abiertos disjuntos no vacíos tales que su unión es , es fácil ver que cada abierto será el complemento del otro, luego serán complementos de un abierto, y por ende, serán cerrados. Es decir, serán conjuntos clopen. Por esto, otra manera de caracterizar la conexidad es decir: será conexo si y sólo si los únicos clopen son y el vacío (donde ambos conjuntos son siempre clopen).
Conexión por caminos
Diremos que un conjunto es conexo por arcos o arco conexo si dados existe una función continua llamada arco tal que y .

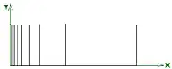
La conexidad por arcos implica conexidad, pero el recíproco no es cierto en general. Un contraejemplo muy típico es el llamado peine del topólogo, , donde y . es conexo, pero no conexo por arcos.
Ser conexo por arcos no es una propiedad hereditaria (esto es, si un conjunto es conexo por arcos, cualquier subconjunto de este no es necesariamente conexo por arcos). Sin embargo, ser conexo por arcos es una propiedad topológica (es decir, la imagen mediante una aplicación continua de un conjunto conexo por arcos es conexa por arcos).
Componentes conexas
Dado un espacio topológico se llama componente conexa, a cada uno de los conjuntos maximales conexos. Es decir un subconjunto es un componente conexo si se cumplen estas dos condiciones:
- es conexo.
- Cualquier conjunto que contiene propiamente a es disconexo.
Se cumple que las componentes conexas de forman una partición de . Si es conexo, se tiene que es su única componente conexa.
De manera similar se define componente arco conexa. Una componente arco conexa siempre está contenida en una componente conexa.
Espacios totalmente desconectados
Un espacio topológico se dice totalmente desconectado, si sus únicas componentes conexas son los conjuntos unitarios. Cada espacio discreto es totalmente desconectado, pero también hay espacios no discretos con la propiedad, por ejemplo como subespacio de con su topología usual. Asimismo hay espacios totalmente desconectados que no son numerables, por ejemplo (irracionales, como subespacio de ) o el conjunto ternario de Cantor .[3]
Conexidad local
Dado un espacio topológico , se dice que es localmente conexo si para todo punto de existe una base de entornos conexos. Similarmente, se dice que es localmente arco conexo si todo punto de tiene una base de entornos arco conexos.
La importancia de estas propiedades es que se heredan a subespacios abiertos de : si es abierto y es localmente arco conexo, entonces también lo es. Además, en un espacio localmente arco conexo las componentes conexas siempre son abiertas -en un espacio general son cerradas- y coinciden con las arco componentes.
Referencias
- ↑ Adaptación de A. Markushevich Teoría de las funciones analíticas tomo I Editorial Mir Moscú (1970) traducido del ruso por Emiliano APARICIO BERNARDO
- ↑ Mansfiel: Introducción a la topología
- ↑ Rubiano O.,, Gustavo. Topología general [un primer curso]. p. 246.
Enlaces externos
Wikilibros alberga un libro o manual sobre Espacios Métricos. incluyendo espacios conexos (capítulo 10).