Diterpeno

Los diterpenos son los terpenos de 20 carbonos. Se encuentran en las plantas superiores, hongos, insectos y organismos marinos. Entre ellos se incluye el fitol, que es el lado hidrofóbico de la clorofila, las hormonas giberelinas, los ácidos de las resinas de las coníferas y las especies de legumbres, las fitoalexinas, y una serie de metabolitos farmacológicamente importantes, incluyendo el taxol, un agente anticáncer encontrado en muy bajas concentraciones (0,01% de peso seco) en la madera del tejo ("yew"), y forskolina, un compuesto usado para tratar el glaucoma. Algunas giberelinas tienen 19 átomos de carbono por lo que no son consideradas diterpenoides porque perdieron un átomo de carbono durante una reacción de escisión.[1]

Biosíntesis

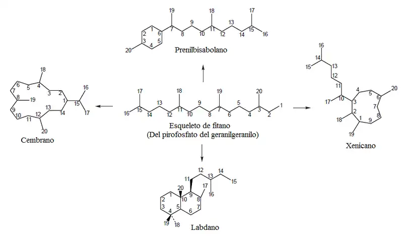
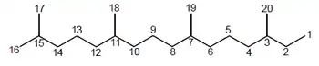
Todos los diterpenos se generan a partir de un tetraprenol denominado pirofosfato de geranilgeranilo, el cual se produce a partir de la prenilación del pirofosfato de farnesilo.[2]

Biosintesís del geranilgeranilo.

[3]

Este esqueleto de cadena abierta puede evolucionar a los siguientes estructuras monocíclicas. El esqueleto de labdano se genera por una diciclización concertada.

Mapa de diterpenos

Estructuras base

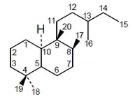
Fitano

Fitano

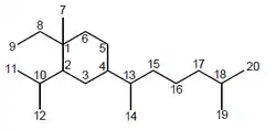
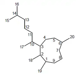
Prenilbisabolano

Prenilbisabolano

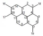
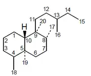
Labdano

Labdano

Halimano

Halimano

Gnafalano

Gnafalano

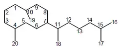
Colensano

Colensano

ent-Clerodano

Clerodano

Abietano

Abietano 3,16-Cicloabietano 19(4→3)-Abeo-13,16-cicloabietano 17(15→16)-Abeoabietano 17(15→16),19(4→3)-Bisabeoabietano

Icetexano

Icetexano

Totarano

Totarano

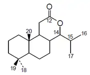
Nagilactona

5-etil-1,1,4a-trimetil-6-(2-metilpropil)-decahidronaftaleno Nagilactona

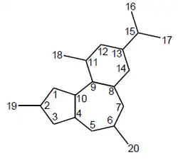
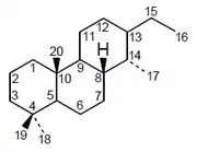
Pimarano

Pimarano Isopimarano

Rosano

Rosano

Eritroxilano

Eritroxilano

Parguarano

Parguarano

Devadarano

Devardarano

Cassano

Cassano Vouacapano

Cleistantano

Cleistantano

Isocleistantano

Isocleistantano

Isocopalano

Isocopalano Espongiano

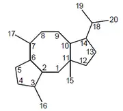
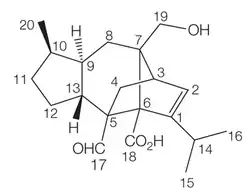
Podocarpanos

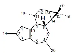
Kaurano y filocladano

Kaurano Filocladano

Ginkgólidos y bilobálidos

Bilobálido Ginkgólidos

Beyerano

Beyerano

Villanovano

Villanovano (Diterpeno)

Atisano

Atisano

Traquilobano

Traquilobano

Helvifulvano

Helvifulvano

Aconitano

Aconitano

Heteratisano

Heteratisano

Afidicolano

Afidicolano

Giberelano

Giberelano

Gibano

Gibano

Leucotol

Leucotol

Grayanotoxano

Grayanotoxano

Cembrano

Cembrano

Basmano

Basmano

Eunicelano

Eunicelano

Abestinano

Abestinano

Esferano

Esferano

Briarano

Briarano

Dolabelano

Dolabelano

Neodolabelano

Neodolabelano

Dolastano

Dolastano

Ciatano

Ciatano

Esferoano

Esferoano

Verrucosano

Verrucosano

Neoverrucosano

Neoverrucosano

Homoverrucosano

Homoverrucosano

Neohomoverrucosano

Neohomoverrucosano

Casbano

Casbano

Latirano

Latirano

Ramnofolano

Ramnofolano

Dafnano

Dafnano

Tigliano

Tigliano

Ingenano

Ingenano

Jatrofano

Jatrofano

Jatrofolano

Jatrofolano

Crotofolano

Crotofolano

Fusicocano

Fusicocano

Valparano

Valparano

Mulinano

Mulinano

Espatano

Espatano

Verticilano

Verticilano

Taxano

Taxano 11(15→1)-Abeotaxano

Trinervitano

Trinervitano

Kempano

Kempano

Anfilectano

Anfilectano

Cicloanfilectano

Cicloanfilectano

Adociano

Adociano

Neoanfilectano

Neoanfilectano

Xenicano

Xenicano

Xeniafilano

Xeniafilano

Viscidano

Viscidano

Eremano

Eremano

Prenileudesmano

Prenileudesmano

Prenilgermacrano y prenilciclogermacrano

Prenilgermacrano Prenilciclogermacrano

Lobano

Lobano

Paquidictiano

Paquidictiano

Prenilaromadendrano

Prenilaromadendrano

Serrulatano

Serrulatano

Biflorano

Biflorano

Decipiano

Decipiano

Saculatano

Saculatano

Obtusano

Obtusano

Esfenolobano

Esfenolobano


Sordaricinas

Sordaricina

Referencias

  1. West, C.A. (1981) in Biosynthesis of Isoprenoid Compounds, (eds J. W. Porter et al.) Wiley, New York, Vol. 1, p. 375.
  2. Paul M. Dewick (2009). Medicinal natural products: a biosynthetic approach. John Wiley and Sons. ISBN 9780470741689. 
  3. J. D. Connolly, Robert Alfred Hill (1991). Chapman & Hall, ed. Dictionary of Terpenoids, Volumen 1. ISBN 9780412257704.