| Distribución zeta |
|---|
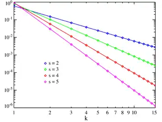
 Dibujo de la función de probabilidad de la distribución Zeta en una escala log-log. (Nótese que la función solo está definida para valores de k enteros.) Función de probabilidad |

Función de distribución de probabilidad |
| Parámetros |
 |
|---|
| Dominio |
 |
|---|
| Función de probabilidad (fp) |
 |
|---|
| Función de distribución (cdf) |
 |
|---|
| Media |
 |
|---|
| Moda |
 |
|---|
| Varianza |
 |
|---|
| Entropía |
 |
|---|
| Función generadora de momentos (mgf) |
 |
|---|
| Función característica |
 |
|---|
|
En teoría de la probabilidad, la distribución zeta es una distribución de probabilidad definida sobre los números naturales con función de probabilidad

donde
es un parámetro que mide la velocidad de decaimiento. Recibe su nombre de la función zeta de Riemann,

Se trata del equivalente discreto de la distribución Pareto.
La distribución zeta fue utilizada por el economista italiano Vilfredo Pareto
(1848-1923) para estudiar la distribución de los ingresos familiares de un país determinado.