Condensación aciloínica
La Condensación aciloínica es un acoplamiento (o copulación) reductivo de dos ésteres utilizando sodio metálico para dar como producto una α-hidroxicetona, (aciloína).[1][2][3]

La reacción es más viable cuando el grupo R es alifático. Para lograr la reacción, se debe llevar a cabo en un solvente aprótico con alto punto de ebullición, tales como benceno o tolueno. (El uso de solventes próticos conlleva a la reducción de Bouveault-Blanc.) Dependiendo del tamaño del anillo y las propiedades conformacionales y estéricas, la condensación aciloínica de diésteres favorece la reacción intramolecular, formando aciloínas endocíclicas.

Mecanismo
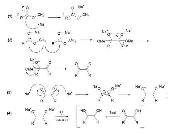
El mecanismo consiste en cuatro pasos:
- (1) Ionización oxidativa de dos átomos de sodio sobre la doble ligadura de dos moléculas de éster.
- (2) Condensación por radicales libres entre dos moléculas del derivado homolítico del éster (Una reacción tipo Würtz). Posteriormente se llevan a cabo ambas eliminaciones del grupo alcoxilo, produciendo una 1,2-dicetona.
- (3) Ionización oxidativa de dos átomos de sodio en ambos dobles enlaces de la dicetona. El resultado es el enodiolato disódico.
- (4) Neutralización con agua para formar el enodiol, el cual tautomeriza a la aciloína.

The acyloin condensation
Variaciones
Método de Rühlmann
El método de acuerdo a Rühlmann[4] utiliza trimetilclorosilano como trampa química; de este modo, las reacciones en competencia son fácilmente abatidas, por lo que el rendimiento aumenta. La ruptura hidrolítica del sililéter da como producto la aciloína. Para lograr una ruptura moderada se puede utilizar metanol.

Rühlmann-method
Usualmente se utilizan tolueno, dioxano, tetrahidrofurano o dialquil éteres acíclicos como solventes.
Referencias
- ↑ Bouveault, L., and R. Loquin (1905). «Action du sodium sur les éthers des acides monobasiques à fonction simple de la série grasse». Comptes. Rendus. 140: 1593-1595.
- ↑ Finley, K. T. (1963). «The Acyloin Condensation as a Cyclization Method» (abstract). Chemical Reviews 64 (64): 573. doi:10.1021/cr60231a004.
- ↑ Bloomfield, J. J.; Owsley, D. C.; Nelke, J. M. Org. React. 1976, 23.
- ↑ Rühlmann K. (1971). «Die Umsetzung von Carbonsäureestern mit Natrium in Gegenwart von Trimethylchlorsilan» (abstract). Synthesis 1971: 236-253. doi:10.1055/s-1971-21707. Archivado desde el original el 30 de septiembre de 2007.