Cloroquina
| Cloroquina | ||
|---|---|---|
![]() | ||
![]() | ||
| Nombre (IUPAC) sistemático | ||
| (RS)-N-(7-cloroquinolin-4-il)-N,N-dietil-pentano-1,4-diamina | ||
| Identificadores | ||
| Número CAS | 54-05-7 | |
| Código ATC | P01BA01 | |
| PubChem | 2719 | |
| DrugBank | APRD00468 | |
| ChemSpider | 2618 | |
| Datos químicos | ||
| Fórmula | C18H26N3Cl | |
| Peso mol. | 319.872 g/mol | |
|
CCN(CC)CCCC(C)Nc1ccnc2cc(Cl)ccc12
| ||
| Sinónimos | Aralen, Artrichin, Chlorochin | |
| Farmacocinética | ||
| Unión proteica | 46-74% | |
| Metabolismo | Hepático | |
| Vida media | 20-60 días | |
| Excreción | Renal, del 42-47% como cloroquina inalterada y del 7-12% como monodesetilcloroquina | |
| Datos clínicos | ||
| Nombre comercial | Plasmoquina, Resochin | |
| Estado legal | Venta bajo fórmula facultativa | |
| Vías de adm. | Oral | |
La cloroquina es un fármaco del grupo de las 4-Aminoquinolinas,[1] que se utiliza en el tratamiento y profilaxis de la malaria,[2] así como en el de determinadas enfermedades autoinmunitarias,[3] como la artritis reumatoide,[4][5] el lupus eritematoso sistémico [4] sarcoidosis, enfermedades cutáneas y porfiria cutánea tardía.[6]
La cloroquina y la hidroxicloroquina son inefectivas para el tratamiento del COVID-19, además de que su uso podría causar peligrosos efectos adversos. Por lo tanto, la OMS y otros organismos nacionales de salud como la NIH y la FDA no recomiendan usar la hidroxicloroquina ni la cloroquina para la prevención o el tratamiento de la COVID-19, sin importar la gravedad de la enfermedad[7][8][9]
Historia
La cloroquina fue sintetizada por primera vez en Alemania por Hans Andersag y su equipo de la Corporación Bayer de Eberfeld en 1934, como una alternativa más barata a la costosa quinina natural. Luego se consideró tóxico para cualquier uso biológico significativo. Sin embargo, a medida que la demanda de medicamentos antipalúdicos más baratos y fácilmente disponibles aumentó durante la Segunda Guerra Mundial, el gobierno de Estados Unidos patrocinó una serie de ensayos clínicos que demostraron el valor terapéutico del fármaco. La cloroquina se sustentó que era más efectiva que la quinina o quinidina contra los formas parasitarias eritrocíticas de la malaria . Durante las siguientes dos décadas (1946-1966), la cloroquina fue el fármaco de elección para el tratamiento y la profilaxis de la malaria en la mayoría de los países tropicales endémicos.
En la actualidad, la cloroquina figura en la Lista de Medicamentos Esenciales de la OMS. Suele encontrarse en forma de fosfato de cloroquina. El nombre comercial más conocido es Aralen.
Resistencia a la cloroquina
Aunque hay algunas áreas donde la cloroquina sigue siendo efectiva, la cloroquina parenteral ya no se recomienda para el tratamiento de la malaria grave debido a la resistencia generalizada.[10][11]
Colombia fue uno de los primeros países donde se documentó la existencia de resistencia. Se han realizado numerosos trabajos al respecto y recientemente se han evidenciado fallas en la respuesta terapéutica a la cloroquina en la Costa Pacífica. Esto plantea graves problemas para la administración del tratamiento adecuado[10]
Se ha documentado resistencia a los antimaláricos en P. falciparum, P. vivax y, recientemente, en P. malariae. En P. falciparum, se ha observado resistencia a casi todos los antimaláricos actualmente utilizados (amodiaquina, cloroquina, mefloquina, quinina y sulfadoxina-pirimetamina) excepto a la artemisinina y sus derivados. Las distribuciones geográficas y las tasas de propagación han variado considerablemente. P. vivax ha desarrollado resistencia rápidamente a la sulfadoxina-pirimetamina en muchas áreas. La resistencia a la cloroquina se limita en gran medida a Indonesia, Timor Oriental, Papúa Nueva Guinea y otras partes de Oceanía. También hay informes documentados de Perú. P. vivax sigue siendo sensible a la cloroquina en el sudeste asiático, el subcontinente indio, la península de Corea, el Medio Oriente, el noreste de África y la mayor parte de América del Sur y Central[10][11]
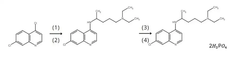
Descripción
La patente china CN111662229A[12] describe un proceso de preparación de fosfato de cloroquina. Un método sintético de fosfato de cloroquina de alta pureza, la ruta sintética es:

- Preparar cloroquina: 4, 7-dicloroquinolina y 2-amido-5-dietilamina pentano reaccionan bajo la condición de que existan fenol y dialquilamina para obtener un producto crudo de cloroquina
- Refinar cloroquina: recristalizar el producto crudo de cloroquina obtenido en el paso 1 usando un disolvente no polar
- Preparar fosfato de cloroquina: mezclar cloroquina y ácido fosfórico en un disolvente y agitar para obtener un producto bruto de fosfato de cloroquina
- Refinar fosfato de cloroquina: y recristalizar el producto de fosfato de cloroquina crudo usando un disolvente polar para obtener el fosfato de cloroquina refinado.
Farmacocinética
Vía de administración
La vía de administración de la cloroquina es oral y su forma farmacéutica es en tabletas. Su venta es bajo fórmula facultativa [13]
Absorción
Tras su administración por vía oral es absorbida casi completamente en el tracto gastrointestinal, alcanza su concentración sérica máxima entre 1 y 2 horas [14]
Biodisponibilidad
La solución oral de cloroquina tiene una biodisponibilidad del 52-102% que aumenta al consumirse con alimentos. La cloroquina oral alcanza una Cmax de 65-128 µg/L con un Tmax de 0,5 h, de manera que las tabletas orales tienen una biodisponibilidad del 67-114% [15]
La cloroquina intravenosa alcanza una Cmax de 650-1300 µg/L. Después de la dosis intravenosa, se produce una disminución multiexponencial en las concentraciones plasmáticas, a medida que la cloroquina se distribuye lentamente fuera del compartimento central, produce concentraciones cardiotóxicas altas y transitorias de cloroquina si la tasa general de administración parenteral no se controla [15]
Distribución
La cloroquina se distribuye en los tejidos corporales con un volumen de distribución aparente, que oscila entre 200-800 L/Kg. Se acumula en altas concentraciones en órganos como los riñones, el hígado, los pulmones y el bazo, y presenta una alta afinidad por las células que contienen melanina, como las del ojo y la piel. Además, atraviesa la placenta[16][17] [18]
Se ha reportado que aproximadamente el 58% al 64% de la cloroquina se encuentra unida a proteínas plasmáticas. Además, se une a plaquetas y granulocitos, resultando en que la concentración plasmática representa solo el 10% al 15% de la concentración total en sangre completa. Las concentraciones de cloroquina en suero son más altas que las del plasma, probablemente por la liberación de cloroquina de las plaquetas durante la coagulación [16][17] [18]
Metabolismo y metabolitos
Aproximadamente, el 50% de una dosis de cloroquina se metaboliza en el hígado por reacciones de fase I, principalmente a través de las enzimas CYP2C8 y CYP3A4. También se ha descrito metabolismo por las enzimas CYP3A5, CYP2D6 y CYP1A1. El metabolito principal es N-desetilcloroquina, adicionalmente, se forman cantidades más pequeñas de N-bidesetilcloroquina, 7-cloro-4-aminoquinolina y productos de N-oxidación.[19][18]
Se ha reportado que el N-desetilcloroquina tiene cierta actividad contra Plasmodium falciparum. Algunos de estos metabolitos pueden contribuir a la cardiotoxicidad asociada con la cloroquina.[18][19]

Excreción
La cloroquina y sus metabolitos se excretan en la orina; del 42-47% de una dosis se excreta en la orina como cloroquina inalterada y del 7-12% como monodesetilcloroquina [16]
La vida media de la cloroquina es de 20 a 60 días. La vida media plasmática de la cloroquina en individuos sanos generalmente es de 72 a 120 horas. Sin embargo, la lenta liberación de los tejidos garantiza que aún se puedan detectar pequeñas cantidades después de un año después de suspender el tratamiento. La fracción de fármaco que no se absorbe se elimina en las heces.[16][20] La cloroquina tiene un aclaramiento plasmático total de 0,35-1 L/h/kg [21]
Farmacodinámica
La cloroquina se prescribe para prevenir y tratar la malaria causada por cepas susceptibles. Es activa contra los esquizontes sanguíneos y tiene cierta actividad gametocitocida contra P. ovale, P. vivax y P. malariae, así como contra gametocitos inmaduros de P. falciparum. Sin embargo, debido a que no afecta las formas del parásito exoeritrocíticas, no logra una cura radical de la malaria vivax u ovale. Históricamente, también ha sido efectiva contra cepas sensibles de P. falciparum, pero la resistencia a la cloroquina en P. falciparum es común en la mayoría de las regiones del mundo, por lo que no se recomienda su uso como tratamiento [11]
Mecanismo de Acción
El mecanismo de acción de la cloroquina contra los esquizontes sanguíneos aún no está claro, pero se han descrito dos mecanismos:
Inhibe la acción de la hemo polimerasa en los trofozoítos de la malaria
El parásito de la malaria debe degradar la hemoglobina para adquirir aminoácidos esenciales para su metabolismo energético dentro de los glóbulos rojos,. La digestión se lleva a cabo en una vacuola de la célula del parásito. Durante este proceso, el parásito produce la molécula hemo, tóxica y soluble. La fracción hemo consta de un anillo de porfirina llamado Fe (II) -protoporfirina IX (FP). Para evitar la destrucción por esta molécula, el parásito biocristaliza el hemo para formar hemozoína, una molécula no tóxica. La hemozoína se acumula en la vacuola digestiva en forma de cristales insolubles.[18]
La cloroquina inhibe la acción de la hemo polimerasa en los trofozoítos de la malaria, impidiendo la conversión de hemo en hemozoína. Esta difunde pasivamente a través de las membranas celulares y hacia los endosomas, lisosomas y vesículas de Golgi de los glóbulos rojos y , finalmente, ingresa al parásito, alcanzando su vacuola digestiva. Dado que el pH de la vacuola digestiva del parásito es ácido (pH 4,7), la cloroquina se protona a CQ2+, lo que impide su escape por difusión, acumulándose en este compartimiento y elevando el pH circundante. El pH elevado en los endosomas interfiere con las funciones de las vesículas y posiblemente inhibe el metabolismo de los fosfolípidos.[18]
Adicionalmente, la cloroquina se une al hemo Fe (II) -protoporfirina IX (FP) para formar lo que se conoce como complejo FP-Cloroquina; este complejo resulta tóxico para el parásito, ya que impide la formación de hemozoína y promueve la acumulación de más hemo tóxico causando la muerte del parásito por autodigestión. En esencia, la célula del parásito se ahoga en sus propios productos metabólicos.[18][11]
De manera que, al concentrarse en las vacuolas digestivas del parásito y aumentando el pH de las vacuolas, interfiere con la capacidad del parásito para metabolizar y utilizar la hemoglobina de los eritrocitos. Las formas plasmodiales que no tienen vacuolas digestivas y no utilizan hemoglobina, por lo que no se ven afectadas por la cloroquina.[18][11]
Inhibe la síntesis de nucleoproteínas en el parásito
Los derivados de 4-aminoquinolina parecen unirse a nucleoproteínas e interferir con la síntesis de proteínas en organismos susceptibles; los fármacos se intercalan fácilmente en el ADN bicatenario e inhiben tanto el ADN como la ARN polimerasa.[18][11]
En el tratamiento supresor, la cloroquina inhibe la etapa eritrocítica del desarrollo de los plasmodios. En los ataques agudos de malaria, la cloroquina interrumpe la esquizogonia eritrocítica del parásito. Su capacidad para concentrarse en eritrocitos parasitados puede explicar su toxicidad selectiva contra las etapas eritrocíticas de la infección plasmodial.[18][11]

Interacciones[11]
| Fármacos que interaccionan con Cloroquina | ||
|---|---|---|
| Fármaco | Resultados de la interacción | |
| Ciclosporina | La cloroquina aumenta las concentraciones plasmáticas de ciclosporina | |
| Fármacos gastrointestinales | Antiácidos | Puede reducir la absorción de cloroquina.
Cuando se utiliza con cloroquina, las dosis deben estar separadas por al menos 4 horas. |
| Cimetidine | Puede reducir significativamente el metabolismo y la eliminación de la cloroquina y aumentar su volumen de distribución | |
| Antimaláricos | La actividad de la cloroquina puede verse afectada cuando se administra con otros antipalúdicos ya que pueden tener un efecto antagónico.
La quinina y la cloroquina, cuando se usan juntas, pueden ser antagónicas. Las mezclas de cloroquina con quinina, mefloquina, amodiaquina, artemisinina o pirimetamina-sulfadoxina fueron antagonistas in vitro contra Plasmodium falciparum. | |
| Halofantrina | Prolonga el intervalo QT y por tanto existe un mayor riesgo de inducir arritmias ventriculares. | |
| Mefloquina | Aumenta el riesgo de convulsiones | |
| Proguanil | La cloroquina puede aumentar la incidencia de ulceraciones orales asociada al proguanil | |
| Antiepilépticos | Carbamazepina y Valproato | La cloroquina puede reducir el umbral convulsivo y antagoniza la acción de los antiepilépticos |
| Antimicrobianos | Ampicilina | La cloroquina reduce la absorción gastrointestinal de la ampicilina |
Uso clínico
Tratamiento contra la malaria
Desde hace más de 50 años, el tratamiento de la malaria por P. vivax no complicada se hace en Colombia con cloroquina y primaquina como primera opción. Aparte de ese tratamiento estándar, existen otras alternativas que modifican los mg/kg de peso, los días de uso de la primaquina o ambos. El tratamiento estándar de la malaria por P. vivax con cloroquina sirve para eliminar tanto las formas asexuales sanguíneas como los gametocitos, pero no los hipnozoítos, que requieren la primaquina. Hay sinergismo entre cloroquina o quinina con primaquina para prevenir recaídas de malaria por P. vivax (16,17). El protocolo para evaluar la respuesta terapéutica antimalárica en paludismo por P. vivax implica el suministro de CQ (25 mg/kg en tres días, o sea 48 horas), seguido de 28 días de observación con evaluaciones clínicas y parasitarias (18); esa evaluación de la eficacia de la cloroquina excluye el suministro de primaquina en esos 28 días[22]
Se trataron 228 pacientes y la respuesta terapéutica antimalárica se evaluó en 210. El cuadro clínico encontrado es similar al descrito por otros autores. En todos los tres grupos, la parasitemia se eliminó en 24 horas de tratamiento con cloroquina en 11% de los pacientes, en 48 horas en 66% y en 72 horas en 97%. Todos los 210 pacientes respondieron adecuadamente al tratamiento cloroquina-primaquina. La dosis variable de primaquina no afectó esta respuesta[22]
La cloroquina-primaquina debe conservarse como la primera opción terapéutica y debe evaluarse en otras áreas. Se propone la administración concomitante de cloroquina y primaquina[22]
Profilaxis de malaria
Se ha comprobado que la cloroquina es muy activa contra las formas eritrocíticas de Plasmodium vivax y Plasmodium malariae y la mayoría de cepas de Plasmodium falciparum (excepto gametocitos de P. falciparum). No previene las recaídas en pacientes con paludismo por P. vivax o P. malariae porque no es efectivo contra las formas extraeritrocíticas del parásito, ni tampoco previene la infección por P. vivax o P. malariae cuando se administra con carácter profiláctico [23]
Absceso hepático amebiano
La cloroquina se utiliza para la amebiasis intestinal. La dosis habitual es el equivalente a 600 mg de cloroquina base al día durante 2 días y luego 300 mg al día durante 2 o 3 semanas. En 1952, Basnuevo, Pulido y Marrero reportaron un caso de absceso hepático amebiano tratado con Clortetraciclina durante el tratamiento con este antibiótico el estado general del paciente fue peor; sin embargo el paciente se curó con la mezcla Cloroquina-Diyodohidroxiquinoleína por vía oral y Cloroquina al 5% en la cavidad del absceso[24]
Enfermedades inflamatorias
La cloroquina y la hidroxicloroquina poseen propiedades antiinflamatorias y se han probado o utilizado con cierto beneficio en una variedad de afecciones inflamatorias que a menudo tienen una base inmunológica, aunque rara vez constituyen una terapia de primera línea en estos trastornos. Tales afecciones incluyen artritis reumatoide y LES, colitis ulcerosa, neumonitis intersticial infantil, arteritis de células gigantes y diversos trastornos de la piel [25]
En un estudio prospectivo elaborado con 25 pacientes con Lupus eritematoso sistémico (24 mujeres y un hombre) tratados en el Departamento de Dermatología de la Universidad Médica de Lodz, y 25 controles voluntarios sanos emparejados por sexo y edad; se encontró que la cloroquina reduce significativamente los niveles de citocinas proinflamatorias en pacientes con (LES) [25]
El modo de acción en estas condiciones no está claro. Los resultados de los estudios han sido contradictorios, pero parece que la cloroquina y la hidroxicloroquina podrían tener algunos efectos inmunosupresores. Cuando la cloroquina se utiliza para el tratamiento a largo plazo en afecciones como la artritis reumatoide o el lupus eritematoso, la dosis en pacientes obesos debe calcularse sobre la base del peso corporal magro para evitar una dosis excesiva.[25]
Artritis reumatoide
La respuesta al tratamiento puede no ser evidente hasta dentro de 6 meses, pero si no hay mejoría entonces se debe suspender el tratamiento. La dosis habitual es el equivalente a cloroquina base ≥50 mg al día (máximo 2,5 mg/kg al día). En una revisión del 2010, se examinó un estudio donde seleccionaron 43 pacientes que habían sido tratados durante al menos dos años con antimaláricos, pero no habían recibido antimaláricos durante al menos un año posterior al estudio. Cada año de tratamiento con antipalúdicos se comparó con un año posterior sin antipalúdicos para cada paciente. El análisis de la prueba reveló que los síntomas generales fueron menos comunes durante los años con 500 mg de cloroquina al día que durante los años sin el medicamento [26]
Lupus eritematoso
En el lupus eritematoso discoide y sistémico la cloroquina se utiliza en una dosis equivalente a ≥50 mg (máximo 2,5 mg/kg) de base al día. Se realizó un estudio de cohorte prospectivo de 36.2 meses donde el uso de cloroquina y la hidroxicloroquina se asoció con una mejora en la supervivencia de los pacientes con lupus eritematoso sistémico (LES) [27]
Tumores malignos del cerebro
La cloroquina tiene potencial para aumentar la sensibilidad de las células neoplásicas a la radioterapia y quimioterapia, sobre todo en pacientes con glioblastoma multiforme (GBM). En un ensayo aleatorizado con enmascaramiento doble y un grupo control con placebo que incluyó a 30 pacientes con GBM, la adición de cloroquina prolongada al tratamiento estándar de cirugía, radioterapia y quimioterapia (carmustina) resultó en una supervivencia media de 24 meses, en comparación con los 11 meses observados en pacientes que no recibieron cloroquina. Un estudio retrospectivo posterior que analizó a 41 pacientes tratados con cloroquina como complemento opcional al tratamiento convencional también observó una mejora en la supervivencia a diferencia del grupo control[28]
Porfiria cutánea tardía
En dosis bajas se ha evidenciado que la cloroquina y la hidroxicloroquina pueden ser efectivas en el tratamiento de la porfiria cutánea tardía, especialmente con dosis de 125 mg de fosfato de cloroquina o 200 mg de sulfato de hidroxicloroquina administrados dos veces por semana, que son útiles para pacientes que no pueden someterse a flebotomías. Sin embargo, su riesgo de producir hepatotoxicidad en diferentes grados hace que otros profesionales prefieran usar desferroxamina [11]
En un ensayo llevado a cabo con 7 pacientes que padecían porfiria cutánea tardía recibieron un total de diez ciclos de administración oral en dosis bajas de 125 mg de fosfato de cloroquina dos veces por semana; Los pacientes fueron tratados por una media de 14 a 9 meses, tiempo durante el cual todos entraron en remisión clínica y bioquímica. Ocurrió una recaída en cuatro pacientes en un total de seis ocasiones después de una media de 17 meses. En cuatro pacientes no hubo recaída después de una media de 47-3 meses. No hubo efectos secundarios adversos del tratamiento dando como conclusión que la terapia con cloroquina oral en dosis bajas parece ser un tratamiento seguro, eficaz y conveniente para La porfiria cutánea tardía, aunque pueden producirse recaídas que requieren tratamiento adicional[29]
Enfermedades cutáneas
Además de tratar el lupus eritematoso, la hidroxicloroquina y la cloroquina también se han utilizado en otros problemas dermatológicos como las erupciones polimorfas inducidas por la luz, el liquen plano, los síntomas cutáneos de la dermatomiositis, el eritema nodoso y el eritema multiforme recurrente. También se ha probado en leproreacción de tipo 2.[30]
En la literatura se pueden encontrar diversos ensayos que notifican mejoras en enfermedades cutáneas mediante el uso de antipalúdicos. Un ejemplo es un ensayo controlado con placebo y método doble ciego sobre el tratamiento oral con hidroxicloroquina (HC) en pacientes con erupción polimorfa lumínica (PLE) realizado entre junio y agosto de 1982. En este estudio, participaron 13 pacientes que recibieron el tratamiento activo y 15 que recibieron placebo. La dosis de HC fue de 400 mg diarios durante el primer mes y de 200 mg diarios en los meses siguientes. Los pacientes tratados con hidroxicloroquina mostraron una mejoría clínica moderada, acompañada de una mejora estadísticamente significativa en la erupción cutánea[30]
Los efectos adversos de la cloroquina en dosis bajas suelen ser menos comunes y graves que los asociados a dosis altas como en el tratamiento de la artritis reumatoide. [33]
Los efectos adversos frecuentes de la cloroquina incluyen dolor de cabeza, diversas erupciones cutáneas, prurito y trastornos gastrointestinales como náuseas, vómitos y diarrea. Con menos frecuencia pueden producirse episodios psicóticos y alucinaciones, delirio, ansiedad y agitación, insomnio, depresión y cambios de personalidad. También se ha registrado polineuritis y convulsiones. Se han producido trastornos visuales como visión borrosa y dificultades para enfocar, pero estos son más comunes con dosis más altas, cuando pueden estar asociados con queratopatía o retinopatía.
Otros efectos relacionados al uso prolongado y poco frecuentes incluyen pérdida de cabello, decoloración del pigmento del cabello, pigmentación azulada-negra de las membranas mucosas y la piel, fotosensibilidad, tinnitus, reducción de la audición, sordera nerviosa, neuropatía y miopatía, incluida la cardiomiopatía.
Se han encontrado trastornos sanguíneos que incluyen pancitopenia, anemia aplásica, agranulocitosis reversible, trombocitopenia y neutropenia; sin embargo su aparición es muy rara. También se han notificado casos raros de cambios en la función hepática, incluida hepatitis y pruebas anormales de función hepática.
El tratamiento parenteral con cloroquina puede resultar muy peligroso, ya que una administración intravenosa rápida o el uso de dosis elevadas pueden llevar a toxicidad cardiovascular y otros signos de sobredosis aguda. Esta sobredosis es altamente peligrosa y puede causar la muerte en pocas horas. Los primeros síntomas incluyen dolor de cabeza, problemas gastrointestinales, somnolencia y mareos. Además, puede provocar hipopotasemia pocas horas después de la ingestión de cloroquina.
Los trastornos visuales pueden manifestarse de manera severa, incluyendo una pérdida repentina de la visión. No obstante, el efecto más significativo de la sobredosis de cloroquina es la toxicidad cardiovascular, que puede causar hipotensión y arritmias cardíacas, avanzando hacia colapso cardiovascular, convulsiones, paro cardíaco y respiratorio, coma y, en última instancia, la muerte.
Para la evaluación de las reacciones adversas (RAM) se tendrán en cuenta los criterios de la CIOSM.
| Reacciones adversas a cloroquina | ||
|---|---|---|
| Sistema implicado | Grupo CIOSM | Tipo de reacción |
| Cardiovascular | No reportado | Bloqueo auriculoventricular, bloqueo de rama, arritmia cardíaca, insuficiencia cardíaca, miocardiopatía, cambios en el ECG (incluyendo onda T aplanada en el ECG, hipotensión, torsades de pointes, fibrilación ventricular, taquicardia ventricular |
| Dermatológicas | Alopecia, decoloración del cabello, pigmentación de la piel de color gris azulado, eritema multiforme, exacerbación de la psoriasis, dermatitis exfoliativa, liquen plano, erupción pleomórfica, prurito, fotosensibilidad cutánea, síndrome de Stevens-Johnson, necrólisis epidérmica tóxica, urticaria. | |
| Endocrino y metabólico | Exacerbación de la porfiria, hipoglucemia grave | |
| Gastrointestinales | Calambres abdominales, anorexia, diarrea, náuseas, vómitos. | |
| Hematológicos y oncológicos | Agranulocitosis (reversible), anemia aplásica, anemia hemolítica (en pacientes con deficiencia de G6PD), neutropenia, pancitopenia, trombocitopenia | |
| Hepático | Hepatitis, aumento de enzimas hepáticas. | |
| Hipersensibilidad | Anafilaxia, angioedema. | |
| Inmunológico | Reacción a fármacos con eosinofilia y síntomas sistémicos | |
| Sistema nervioso | Agitación, ansiedad, confusión, disminución del reflejo tendinoso profundo, delirio, depresión,reacción extrapiramidal, alucinaciones, dolor de cabeza, insomnio, cambios de personalidad, polineuropatía, psicosis, convulsiones, neuropatía sensoriomotora, pérdida auditiva neurosensorial, tendencias suicidas. | |
| Neuromuscular y esquelético | Astenia, miopatía, enfermedad neuromuscular, miopatía proximal | |
| Alteraciones de la acomodación, visión borrosa, opacidad corneal (reversible), degeneración macular (puede ser irreversible), maculopatía (puede ser irreversible), ceguera nocturna, cambios en la pigmentación de la retina, retinopatía (incluidos cambios irreversibles en terapias a largo plazo o de dosis altas), escotomas transitorios, defecto del campo visual (escotomas paracentrales) | ||
| Oftálmico | Alteraciones de la acomodación, visión borrosa, opacidad corneal (reversible), degeneración macular (puede ser irreversible), maculopatía (puede ser irreversible), ceguera nocturna, cambios en la pigmentación de la retina, retinopatía (incluidos cambios irreversibles en terapias a largo plazo o de dosis altas), escotomas transitorios, defecto del campo visual (escotomas paracentrales) | |
| Ótica | Pérdida auditiva (riesgo aumentado en pacientes con daño auditivo preexistente), tinnitus | |
Contraindicaciones
La cloroquina se encuentra contraindicada en pacientes con deterioro de la función hepática y renal, trastornos sanguíneos, enfermedades gastrointestinales, deficiencia de glucosa-6-fosfato deshidrogenasa (G-6-PD), trastornos neurológicos graves, cambios en la retina o en el campo visual [35]
Sobredosis
La cloroquina, en caso de sobredosis, tiene un riesgo de muerte de alrededor del 20%. Se absorbe rápidamente en el intestino y los síntomas aparecen generalmente en una hora. Los síntomas de sobredosis pueden incluir somnolencia, cambios en la visión, convulsiones, interrupción de la respiración y problemas cardíacos como fibrilación ventricular y presión arterial baja . También puede producirse un nivel bajo de potasio en sangre. Si bien la dosis habitual de cloroquina utilizada en el tratamiento es de 10 mg/kg, la toxicidad comienza a producirse a partir de los 20 mg/kg y puede producir la muerte a partir de los 30 mg/kg. En los niños, una sola pastilla puede ser mortal. La dosis letal de cloroquina para un adulto se estima entre 30 y 50 mg/kg [36][37][38]
Cuando la dosis administrada es elevada, la cloroquinina es citotóxica, pudiendo provocar daños en el sistema nervioso, el corazón, el riñón o el hígado.[39] Tras su administración en dosis adecuadas para el tratamiento de un ataque agudo de paludismo o amebiasis extraintestinal, se han observado efectos ligeros y pasajeros, como: dolor de cabeza, prurito, molestias gastrointestinales, anorexia, náuseas, vómitos, diarrea, cólicos, estimulación psíquica y raramente episodios psicóticos y convulsiones.[39][40] Rara vez se han observado efectos cardiovasculares, como hipotensión o cambios electrocardiográficos (particularmente inversión o depresión de la onda T, ampliación del complejo QRS). Se han registrado algunos casos de sordera de tipo nervioso después de tratamientos prolongados, generalmente en dosis elevadas, y también neuromiopatías, discrasias sanguíneas, erupciones de tipo liquen plano y cambios de pigmentación en la piel y mucosas.[41]
Por otra parte, se han observado trastornos visuales y complicaciones oculares al usar cloroquina en tratamientos prolongados, con dosis diarias mayores de 250 mg de fosfato de cloroquina. Estos trastornos consisten en:
– Cambios reversibles de la córnea (edema transitorio o depósitos opacos del epitelio).
– Cambios neurorretinianos tales como estrechamiento de las arteriolas, lesiones maculares, palidez papilar, atrofia óptica y pigmentación irregular. Estos cambios suelen ser irreversibles, algunos progresivos y otros, menos frecuentes, de aparición tardía. Los pacientes con alteraciones retinianas pueden permanecer asintomáticos, especialmente en los casos tempranos de la enfermedad o pueden quejarse de nictalopía y visión de escotomas con defectos del campo visual y escotomas típicos temporales. En otras ocasiones pueden percibirse escotomas sin cambios retinianos observables.[42]
Cuando se instaura un tratamiento prolongado con antipalúdicos deben realizarse periódicamente exámenes oftalmológicos. Si se encuentra alguna anormalidad, debe interrumpirse de inmediato la administración del medicamento y mantener al paciente en observación.[43]
También puede utilizarse para inducir el aborto.[39]
Precauciones
Es necesario tener cuidado al administrar cloroquina a pacientes con insuficiencia hepática o renal, o a aquellos con trastornos gastrointestinales severos, antecedentes de psoriasis o trastornos neurológicos, especialmente antecedentes de epilepsia. La cloroquina debe usarse con precaución en pacientes con miastenia gravis, ya que puede agravar la condición. Los pacientes con deficiencia de G6PD deben ser observados para detectar anemia hemolítica durante el tratamiento con cloroquina. Se deben realizar hemogramas completos a intervalos regulares durante el tratamiento prolongado con cloroquina [11]
Aunque se han reportado anomalías fetales asociadas con el uso de cloroquina durante el embarazo, se considera que los riesgos de la malaria son mayores y no parece haber justificación para suspender la cloroquina para el tratamiento o la profilaxis de la malaria.
Es importante que si se administra cloroquina por vía intravenosa, debe ser mediante infusión lenta (típicamente alrededor de 0.8 a 1.25 mg/kg por hora), de lo contrario, puede desarrollarse cardiotoxicidad severa.
- Lactancia. La cloroquina se distribuye en la leche materna, pero no en una cantidad adecuada para proporcionar quimioprofilaxis contra la malaria para el lactante, no se han observado efectos adversos en los lactantes amamantados cuyas madres recibían cloroquina, y la Academia Americana de Pediatría considera que, por lo tanto, generalmente es compatible con la lactancia.
- Epilepsia. Después de informes de convulsiones asociadas con el uso de cloroquina para la profilaxis de la malaria en pacientes previamente sanos y en pacientes con antecedentes de convulsiones, se ha sugerido que se advierta a los viajeros prospectivos con antecedentes de epilepsia sobre el riesgo. Aunque inicialmente se consideró que esto no debería restringir el uso de cloroquina, los expertos en malaria del Reino Unido han recomendado que se evite para la profilaxis de la malaria en pacientes con epilepsia.
- Porfiria. Aunque la cloroquina probablemente sea segura en pacientes con porfiria, algunas autoridades consideran que su uso es polémico. La pirimetamina también probablemente sea segura en pacientes con porfiria. Otros medicamentos utilizados para la profilaxis, como la dapsona y la sulfadoxina y las combinaciones que los contienen, están definitivamente contraindicados en pacientes con porfiria. La quinina es de seguridad probada en pacientes con porfiria y las pruebas de cultivo celular han sugerido que el proguanil y la mefloquina también pueden ser seguros. La cloroquina se ha probado en el tratamiento de la porfiria cutánea tarda, pero esto puede asociarse con hepatotoxicidad.
- Embarazo. Ha habido preocupación sobre los posibles efectos teratogénicos de la cloroquina debido a algunos informes de casos que incluyen defectos en la audición y la visión. Dos de 169 bebés nacidos de mujeres que recibieron 300 mg de cloroquina semanalmente durante todo el embarazo, presentaron defectos de nacimiento en comparación con 4 de 454 bebés de control cuyas madres no recibieron antimaláricos; la diferencia no fue significativa. Los datos sugieren que la cloroquina en las dosis profilácticas recomendadas no es un teratógeno fuerte y que sus beneficios comprobados contra la malaria superan cualquier posible riesgo de teratogenicidad de bajo grado. También se ha informado que la profilaxis con cloroquina durante el embarazo no afectó el peso al nacer de los neonatos, en comparación con un grupo de control.
- Artritis psoriásica. Se recomienda que la cloroquina y la hidroxicloroquina no se utilicen en el tratamiento de la artritis psoriásica, ya que pueden producirse exacerbaciones de las lesiones cutáneas. Algunos pacientes pueden desarrollar eritrodermia generalizada con posterior dermatitis exfoliativa. Sin embargo, ha habido controversia sobre la incidencia informada de este efecto adverso.
- Insuficiencia renal. Aunque la eliminación de la cloroquina se prolonga en la insuficiencia renal, no se requiere ajuste de la dosis en el tratamiento de la malaria. De manera similar, no se requiere reducción de la dosis para la profilaxis con cloroquina, excepto en aquellos con insuficiencia renal severa. Las dosis tienden a reducirse cuando se administra durante períodos más prolongados a pacientes con insuficiencia renal.
Presentaciones
El principio activo es cloroquina fosfato – 250 mg.Entre los excipientes habituales para este producto nos podemos encontrar: Lactosa, starch, cab-o-si, kollidon k30, croscarmelosa sódica, estearato de magnesio [44]
Por sus propiedades fisicoquímicas y requisitos de conservación, de acuerdo al Instituto Nacional de Vigilancia de Medicamentos y Alimentos (INVIMA) con registro aprobado INVIMA 2018M-0007951-R1 como cloroquina fosfato 250 mg (equivalente a cloroquina base 150 mg). Este se debe almacenar a temperatura inferior a 30 °C en su envase y empaque original [13]
Uso veterinario

En aves enjauladas y pingüinos, se administra cloroquina como un fármaco antipalúdico (10 mg/kg) y primaquina (0,3–1 mg/kg) por vía oral y luego se administra cloroquina (5 mg/kg) 6, 24 y 48 horas después. También se ha utilizado cloroquina en el agua potable (250 mg/120 ml) en pájaros cantores. El jugo de uva o naranja puede disimular el amargor de la cloroquina. Se recomienda un tratamiento que incluya primaquina y cloroquina en lugar de cloroquina sola, porque solo la primaquina es activa contra los esquizontes tisulares. La cloroquina tiene actividad contra los esquizontes y gametocitos eritrocíticos. La primaquina también tiene actividad contra los gametocitos eritrocíticos. Al dividir los medicamentos en alícuotas, tenga en cuenta que una tableta de 500 mg de cloroquina contiene 300 mg de base activa y una tableta de 26 mg de primaquina contiene 15 mg de base activa.[45]
En las aves rapaces, el control de la enfermedad se ha logrado mediante la administración oral de mefloquina (30 mg/kg) repetida 12, 24 y 48 horas después de la dosis inicial. Alternativamente, se puede administrar por vía oral una combinación de cloroquina (25 mg/kg) y primaquina (1,3 mg/kg) seguida de la administración de cloroquina (15 mg/kg) 12, 24 y 48 horas después. En áreas endémicas, se ha utilizado con éxito mefloquina una vez a la semana (30 mg/kg) para la quimioprofilaxis en halcones grandes.[45]
Otros usos
Usos no incluidos en el registro sanitario (Off Label)[45]
Lupus eritematoso discoide: En un metaanálisis del 2020 se revisaron 7 ensayos aleatorios controlados con un total de 49 participantes para comparar la eficacia y seguridad de la cloroquina y la hidroxicloroquina en el tratamiento del LED, se encontró que la cloroquina reduce la severidad de las lesiones eritematosas (enrojecimiento), disminuye el tamaño de las placas y mejora la textura de la piel afectada; también reduce la aparición de nuevas lesiones y al ejercer un efecto antiinflamatorio en el organismo, contribuye a aliviar el dolor y la inflamación asociados al LED.[46]
Calambres musculares: se ha demostrado que la cloroquina puede mejorar los calambres musculares debido a su efecto de bloqueo en la transmisión neuromuscular. En un ensayo clínico de 1990, se observó una reducción significativa en la frecuencia de los calambres musculares en pacientes durante la hemodiálisis. En este estudio, a 8 pacientes se les administró una dosis oral de 250 mg de cloroquina por día durante 10 días y 2 horas antes de cada diálisis después de esto. Se reportó que en 72 de las siguientes 160 hemodiálisis no hubo calambres, mientras que en las otras 88 los calambres fueron más leves en comparación con los experimentados antes del tratamiento.[47]
La quinina, quinidina y cloroquina antagonizan las respuestas evocadas por ACh en los nAChRs musculares. La potencia de la quinina en los nAChRs musculares estaba en el mismo rango que la encontrada para el receptor neuronal α9α10 de rata o los receptores 5-HT3A humanos (Ballestero et al., 2005; Thompson y Lummis, 2008). Sin embargo, la quinina fue ligeramente menos potente en el receptor neuronal α7 humano, en receptores nicotínicos.[48]
Anécdotas
En marzo de 2020, se difundió un rumor que afirmaba que Filipinas utilizó cloroquina en la sal de cocina como medida preventiva contra el COVID-19, lo que llevó a que muchas personas desarrollaran retinitis pigmentaria, un efecto adverso dosis-dependiente de la cloroquina. Sin embargo, la FDA emitió un comunicado oficial desmintiendo categóricamente estas afirmaciones.[49]
Controversias
A inicios de la pandemia por el nuevo coronavirus 2 del síndrome respiratorio agudo grave (SARS-CoV-2) se estableció que el tratamiento con cloroquina podía ser efectivo para contener la replicación viral in vitro, pero aún existe controversia sobre su efectividad en humanos para disminuir la mortalidad por enfermedad por coronavirus 2019 (COVID-19) en pacientes graves.[6]
Sin embargo, a pesar de las expectativas, tanto el estudio original de la OMS como estudios y metaanálisis más recientes han demostrado que el uso de la cloroquina o hidroxicloroquina en pacientes con COVID-19 no tiene un efecto positivo en la reducción de la mortalidad, la tasa de progresión a ventilación mecánica o la mejoría clínica, y que tampoco tienen un beneficio en la prevención de COVID-19 en personas expuestas al virus.[50][51][52][7]
En un estudio de cohorte retrospectiva, en un hospital de 2.º nivel. Se revisaron 171 expedientes de pacientes hospitalizados por COVID-19 grave, se analizó el riesgo de mortalidad por uso de cloroquina. Se analizaron datos sociodemográficos, patologías previas, días desde el inicio de los síntomas hasta la atención médica, días de estancia hospitalaria, parámetros respiratorios; gasometría, citometría hemática, deshidrogenasa láctica, proteína C reactiva (PCR), tratamiento antiviral, tromboprofilaxis, uso de esteroides y uso de antibióticos. Se utilizó estadística descriptiva, inferencial, modelos univariantes y multivariantes.[6]
Los resultados arrojaron que el uso de cloroquina, la edad avanzada, la obesidad y la PCR baja se asociaron con una mayor probabilidad de muerte en el análisis univariante, fueron factores de riesgo significativos asociados con la muerte en los casos con COVID-19 grave. En este estudio encontramos evidencia para recomendar evitar el uso de cloroquina en pacientes adultos con COVID-19 grave debido al aumento en el riesgo de mortalidad hasta dos veces más en comparación con los que no se les administró.[6]
Tras diversas publicaciones científicas, casos de estudio y ensayos clínicos, se concluyó que la cloroquina y la hidroxicloroquina son inefectivas para el tratamiento de la COVID-19, además de que su uso podría causar peligrosos efectos adversos. Y por lo tanto, la OMS y otros organismos nacionales de salud como la NIH y la FDA recomiendan en no usar la hidroxicloroquina ni la cloroquina para la prevención o el tratamiento de la COVID-19, sin importar la gravedad de la enfermedad.[7][8][9]
Véase también
- Hidroxicloroquina
- Aminoquinoleína
- Antipalúdico
- Malaria
- Covid-19
- Síndrome respiratorio agudo grave (SARS)
- Enfermedades autoinmunes
Referencias
- ↑ «Medicina Integral: antipalúdicos en el tratamiento de las enfermedades autoinmunes sistémicas y reumáticas». Elsevier (editorial de libros de medicina y literatura científica). enero de 2003.
- ↑ «Medicamentos para prevenir el paludismo (malaria) al viajar: Cloroquina». Departamento de Salud y Servicios Sociales de los Estados Unidos (en inglés: United States Department of Health and Human Services –HHS–) / Centros para el Control y la Prevención de Enfermedades (en inglés: Centers for Disease Control and Prevention –CDC–). 2017.
- ↑ «Hidroxicloroquina en el tratamiento de las enfermedades autoinmunes sistémicas». SciELO (revista médica de Chile). febrero de 2016.
- ↑ a b «Los Antimaláricos en Reumatología». Clínica Reumatológica Dr. Antonio Ponce Vargas (Málaga, España).
- ↑ «Hidroxicloroquina en el tratamiento de las enfermedades autoinmunes sistémicas». Sociedad Inversiones La Construcción S.A. (ILC) / Isapre Consalud (Chile). 25 de febrero de 2020.
- ↑ a b c d Camarillo-Nava, V. M., Rosas-Barrientos, J. V., Hernández-Pineda, N. A., Moreno-Rodríguez, F. J., Aguilar-Vargas, R. E., Quiroz-Cortés, G. D., ... & Zamudio-González, J. A. lo que hemos aprendido durante la pandemia: la cloroquina.
- ↑ a b c Rochwerg, Bram; Agarwal, Arnav; Siemieniuk, Reed AC; Agoritsas, Thomas; Lamontagne, François; Askie, Lisa; Lytvyn, Lyubov; Leo, Yee-Sin et al. (4 de septiembre de 2020). «A living WHO guideline on drugs for covid-19». BMJ (en inglés): m3379. ISSN 1756-1833. doi:10.1136/bmj.m3379. Consultado el 2 de diciembre de 2021.
- ↑ a b «Chloroquine or Hydroxychloroquine». COVID-19 Treatment Guidelines (en inglés). Consultado el 2 de diciembre de 2021.
- ↑ a b Commissioner, Office of the (16 de junio de 2020). «Coronavirus (COVID-19) Update: FDA Revokes Emergency Use Authorization for Chloroquine and Hydroxychloroquine». FDA (en inglés). Consultado el 2 de diciembre de 2021.
- ↑ a b c Rodríguez, J. C. P. (1998). Tratamiento de la malaria en Colombia. Infectio, 2(1).
- ↑ a b c d e f g h i j Martindale: The Complete Drug Reference. London: Pharmaceutical Press <http://www.medicinescomplete.com/> (accessed on [09 July 2024]).
- ↑ 彭学东; 张梅 & 赵金召, "Synthetic method of high-purity chloroquine phosphate", {{{country-code}}} {{{patent-number}}}.
- ↑ a b https://consultaregistro.invima.gov.co/Consultas/consultas/consreg_encabcum.jsp. Falta el
|título=(ayuda) - ↑ Hellgren U, et al. on the question of interindividual variations in chloroquine concentrations. Eur J Clin Pharmacol 1993; 45: 383-5
- ↑ a b PubChem. «Chloroquine». pubchem.ncbi.nlm.nih.gov (en inglés). Consultado el 13 de julio de 2024.
- ↑ a b c d Gustafsson LL, et al. Disposition of chloroquine in man after single intravenous and oral doses. Br J Clin Pharmacol 1983; 15. 471-9
- ↑ a b Frisk-Holmberg M, et al. The single dose kinetics of cholorquine and its major metabolite desethylchloroquine. Br J Clin Pharmacol 1986; 26: 521-30
- ↑ a b c d e f g h i j https://inhrr.gob.ve/fichasfarma/archivos/20170425120110_6093.pdf. Falta el
|título=(ayuda) - ↑ a b Ette El, et al. Pharmacokinetics of chloroquine and some of its metabolites in healthy volunteers: a single dose study. J Clin Pharmacol 1989; 29: 457-62
- ↑ Gustafsson LL, et al. Chloroquine excretion following malaria prophylaxis. Br J Clin Pharmacol 1987; 24: 221-4
- ↑ https://www.iqb.es/cbasicas/farma/farma04/c26.htm. Falta el
|título=(ayuda) - ↑ a b c Carmona-Fonseca, J., Álvarez, G., & Blair, S. (2006). Malaria por Plasmodium vivax: curación del ataque agudo con tres dosis diferentes de primaquina y dosis fija de cloroquina. Antioquia, Colombia, 2003-2004. Biomédica, 26(3), 353-365.
- ↑ Savarino A, Boelaert JR, Cassone A, Majori G, Cauda R. Effects of chloroquine on viral infections: an old drug against today's diseases? Lancet Infect Dis. noviembre de 2003; 3(11):722-7.
- ↑ https://revmedicina.sld.cu/index.php/med/article/download/466/349. Falta el
|título=(ayuda) - ↑ a b c Wozniacka, A.; Lesiak, A.; Narbutt, J.; McCauliffe, D. P.; Sysa-Jedrzejowska, A. (2006). «Chloroquine treatment influences proinflammatory cytokine levels in systemic lupus erythematosus patients». Lupus 15 (5): 268-275. ISSN 0961-2033. PMID 16761500. doi:10.1191/0961203306lu2299oa. Consultado el 15 de julio de 2024.
- ↑ Suarez‐Almazor, Maria E; Belseck, Elaine; Shea, Beverley; Homik, Joanne; Wells, George A; Tugwell, Peter (23 de octubre de 2000). «Antimalarials for treating rheumatoid arthritis». The Cochrane Database of Systematic Reviews 2000 (4): CD000959. ISSN 1469-493X. PMC 8407035. PMID 10796401. doi:10.1002/14651858.CD000959. Consultado el 15 de julio de 2024.
- ↑ Ruiz-Irastorza, G.; Ramos-Casals, M.; Brito-Zeron, P.; Khamashta, M. A. (2010-01). «Clinical efficacy and side effects of antimalarials in systemic lupus erythematosus: a systematic review». Annals of the Rheumatic Diseases 69 (1): 20-28. ISSN 1468-2060. PMID 19103632. doi:10.1136/ard.2008.101766. Consultado el 15 de julio de 2024.
- ↑ Sotelo, Julio; Briceño, Eduardo; López-González, Miguel Angel (7 de marzo de 2006). «Adding chloroquine to conventional treatment for glioblastoma multiforme: a randomized, double-blind, placebo-controlled trial». Annals of Internal Medicine 144 (5): 337-343. ISSN 1539-3704. PMID 16520474. doi:10.7326/0003-4819-144-5-200603070-00008. Consultado el 15 de julio de 2024.
- ↑ Ashton, R. E.; Hawk, J. L.; Magnus, I. A. (1984-11). «Low-dose oral chloroquine in the treatment of porphyria cutanea tarda». The British Journal of Dermatology 111 (5): 609-613. ISSN 0007-0963. PMID 6498093. doi:10.1111/j.1365-2133.1984.tb06632.x. Consultado el 15 de julio de 2024.
- ↑ a b Murphy, G. M.; Hawk, J. L.; Magnus, I. A. (1987-03). «Hydroxychloroquine in polymorphic light eruption: a controlled trial with drug and visual sensitivity monitoring». The British Journal of Dermatology 116 (3): 379-386. ISSN 0007-0963. PMID 3552020. doi:10.1111/j.1365-2133.1987.tb05852.x. Consultado el 15 de julio de 2024.
- ↑ Marmor, Michael F.; Kellner, Ulrich; Lai, Timothy Y. Y.; Lyons, Jonathan S.; Mieler, William F.; American Academy of Ophthalmology (2011-02). «Revised recommendations on screening for chloroquine and hydroxychloroquine retinopathy». Ophthalmology 118 (2): 415-422. ISSN 1549-4713. PMID 21292109. doi:10.1016/j.ophtha.2010.11.017. Consultado el 15 de julio de 2024.
- ↑ Donovan, Jeff C.; Price, Vera H. (22 de julio de 2010). «Images in clinical medicine. Chloroquine-induced hair hypopigmentation». The New England Journal of Medicine 363 (4): 372. ISSN 1533-4406. PMID 20660405. doi:10.1056/NEJMicm0912609. Consultado el 15 de julio de 2024.
- ↑ a b Looareesuwan, S.; White, N. J.; Chanthavanich, P.; Edwards, G.; Nicholl, D. D.; Bunch, C.; Warrell, D. A. (1986-07). «Cardiovascular toxicity and distribution kinetics of intravenous chloroquine». British Journal of Clinical Pharmacology 22 (1): 31-36. ISSN 0306-5251. PMC 1401074. PMID 3741724. doi:10.1111/j.1365-2125.1986.tb02876.x. Consultado el 15 de julio de 2024.
- ↑ Ogola, E. S.; Muita, A. K.; Adala, H. (1992-01). «Chloroquine related complete heart block with blindness: case report». East African Medical Journal 69 (1): 50-52. ISSN 0012-835X. PMID 1628552. Consultado el 15 de julio de 2024.
- ↑ Centro Nacional de Información Biotecnológica (2024). Resumen de compuestos de PubChem para CID 2719, cloroquina. Recuperado el 12 de julio de 2024 de https://pubchem.ncbi.nlm.nih.gov/compound/Chloroquine
- ↑ Olson, KR (Ed.); Intoxicación y sobredosis de drogas. 4.ª ed. Lange Medical Books/McGraw-Hill. Nueva York, NY 2004., pág. 166.
- ↑ Ling Ngan Wong A, Tsz Fung Cheung I, Graham CA (febrero de 2008). "Sobredosis de hidroxicloroquina: informe de caso y recomendaciones para su tratamiento".Revista Europea de Medicina de Urgencias.15(1): 16–18.doi:10.1097/MEJ.0b013e3280adcb56.PMID18180661.S2CID41205035.
- ↑ Smith ER, Klein-Schwartz W (mayo de 2005). "¿Son peligrosos 1-2? Exposición a la cloroquina y la hidroxicloroquina en niños pequeños".The Journal of Emergency Medicine.28(4): 437–443.doi:10.1016/j.jemermed.2004.12.011.PMID15837026.
- ↑ a b c Calabrese, Alberto I.; Astolfi, Emilio A. (enero de 1969). Toxicología. Buenos Aires, Argentina: Kapelusz. p. 204. OCLC 14501248.
- ↑ Ajayi AAL Mechanisms of chloroquine induced pruritus. Clin Pharmacol Ther 2001, 68: 336.
- ↑ Cann HM, Verhulst HL (1 de enero de 1961). «Fatal acute chloroquine poisoning in children» (abstract). Pediatrics 27 (1): 95-102. PMID 13690445.
- ↑ «numericalexample.com - Determine the safe dose of medicins: Chloroquine and Hydroxychloroquine (Plaquenil)». Archivado desde el original el 26 de enero de 2008. Consultado el 21 de febrero de 2008.
- ↑ Davidson, R. J., I. Davis, et al. (2008). "Antimalarial therapy selection for quiniolone resistance among Escherichia coli in the absence of quinolone exposure, in tropical South America." PLoS One 3
- ↑ https://kronoslaboratorios.com/productos/cloroquina-fosfato/#:~:text=EXCIPIENTES%3A%20Lactosa%2C%20starch%2C%20cab,croscarmelosa%20s%C3%B3dica%2C%20estearato%20de%20magnesio. Falta el
|título=(ayuda) - ↑ a b c Aiello, SE, Moses, MA y Allen, DG (Eds.). (2016). Manual veterinario de Merck (p. 3325). White Station, NJ, EE. UU.: Merck & Company, Incorporated.
- ↑ PubChem. «Chloroquine». pubchem.ncbi.nlm.nih.gov (en inglés). Consultado el 15 de julio de 2024.
- ↑ Sever, M. S.; Koçak, N. (1990). «Chloroquine phosphate reduces the frequency of muscle cramps during maintenance hemodialysis». Nephron 56 (4): 443. ISSN 1660-8151. PMID 2080007. doi:10.1159/000186192. Consultado el 15 de julio de 2024.
- ↑ Gisselmann, Günter; Alisch, Desiree; Welbers-Joop, Brigitte; Hatt, Hanns (20 de noviembre de 2018). «Effects of Quinine, Quinidine and Chloroquine on Human Muscle Nicotinic Acetylcholine Receptors». Frontiers in Pharmacology (en inglés) 9. ISSN 1663-9812. doi:10.3389/fphar.2018.01339. Consultado el 15 de julio de 2024.
- ↑ «Home - Food and Drug Administration» (en inglés estadounidense). 28 de enero de 2021. Consultado el 15 de julio de 2024.
- ↑ Singh, Bhagteshwar; Ryan, Hannah; Kredo, Tamara; Chaplin, Marty; Fletcher, Tom (12 de febrero de 2021). «Chloroquine or hydroxychloroquine for prevention and treatment of COVID-19». En Cochrane Infectious Diseases Group, ed. Cochrane Database of Systematic Reviews (en inglés) 2021 (2). PMC 8094389. PMID 33624299. doi:10.1002/14651858.CD013587.pub2. Consultado el 2 de diciembre de 2021.
- ↑ Ebina-Shibuya, Risa; Namkoong, Ho; Horita, Nobuyuki; Kato, Hideaki; Hara, Yu; Kobayashi, Nobuaki; Kaneko, Takeshi (2021-01). «Hydroxychloroquine and chloroquine for treatment of coronavirus disease 19 (COVID-19): a systematic review and meta-analysis of randomized and non-randomized controlled trials». Journal of Thoracic Disease 13 (1): 202-212. PMC 7867802. PMID 33569200. doi:10.21037/jtd-20-2022. Consultado el 2 de diciembre de 2021.
- ↑ WHO Solidarity Trial Consortium (11 de febrero de 2021). «Repurposed Antiviral Drugs for Covid-19 — Interim WHO Solidarity Trial Results». New England Journal of Medicine (en inglés) 384 (6): 497-511. ISSN 0028-4793. PMC 7727327. PMID 33264556. doi:10.1056/NEJMoa2023184. Consultado el 2 de diciembre de 2021.
Enlaces externos
- Estado actual del conocimiento sobre la enfermedad por coronavirus, sitio digital 'Doctor Ponce'.
- Why President Trump is at odds with his medical experts over using malaria drugs against Covid-19, sitio digital 'Stat News' (22 de marzo de 2020).
- Trump touted hydroxychloroquine as a cure for Covid-19 / Don't believe the hype, sitio digital británico 'The Guardian' (28 de marzo de 2020).
- Coronavirus: qué es la hidroxicloroquina, el medicamento que Trump elogia y que los expertos advierten que requiere más investigación sobre su uso para covid-19, sitio digital 'Montevideo Portal' (29 de marzo de 2020).
- Coronavirus: qué es la hidroxicloroquina, el medicamento contra la malaria que en EE.UU. estudian como potencial tratamiento del covid-19, sitio digital 'BBC News' (30 de marzo de 2020).
- Hay 20 vacunas y 30 fármacos en desarrollo contra el coronavirus, sitio digital 'El País «El periódico global» (España)' (1 de abril de 2020).
- De Salto a Montevideo, relatos de los que se curaron del coronavirus, sitio digital 'Diario El País de Uruguay /Grupo de Diarios América –GDA–/' (5 de abril de 2020).
- Coronavirus and chloroquine: Is there evidence it works?, sitio digital 'BBC News' (6 de abril de 2020)
- ¿Cómo trabaja la ciencia por una cura contra el coronavirus?, sitio digital 'Teledoce Televisora Color / Programa Desayunos Informales' (8 de abril de 2020).
-Chloroquine_Enantiomers_Structural_Formulae_V.1.svg.png)
